吸烟对COPD患者氧化还原稳态和8-OHdG水平的影响:一项横断面比较研究

IF 2.8 3区 医学 Q2 RESPIRATORY SYSTEM
Osman El Jundi, Pelin Uysal, Seyma Dumur, Aysen Kutan Fenercioglu, Hafize Uzun
{"title":"吸烟对COPD患者氧化还原稳态和8-OHdG水平的影响:一项横断面比较研究","authors":"Osman El Jundi, Pelin Uysal, Seyma Dumur, Aysen Kutan Fenercioglu, Hafize Uzun","doi":"10.1186/s12890-025-03907-3","DOIUrl":null,"url":null,"abstract":"<p><strong>Background: </strong>Chronic obstructive pulmonary disease (COPD) is a chronic and progressive condition that develops due to a genetic predisposition, with the dysfunction of antioxidants and anti-protease systems triggered by factors such as smoking. In this study, we aimed to determine the effects of smoking on serum 8-hydroxy-2' deoxyguanosine (8-OHdG) as a marker of oxidative DNA damage, malondialdehyde (MDA) to indicate lipid peroxidation, protein carbonyl (PCO) as a marker of protein damage, and paraoxonase (PON)1 levels as a measure of antioxidant activity involved in maintaining cellular redox balance in COPD patients.</p><p><strong>Methods: </strong>We conducted a cross-sectional study involving 141 patients with COPD (70 smokers, 71 non-smokers) and 140 healthy controls (70 smokers, 70 non-smokers) recruited from the Acibadem Mehmet Ali Aydinlar University outpatient clinic.</p><p><strong>Results: </strong>In the COPD-smokers group, significantly higher serum levels of 8-OHdG, MDA, and PCO, and a lower PON1 activity were found. A strong negative correlation was observed between 8-OHdG levels and both FEV1 and FEV1/FVC, as well as between 8-OHdG and PON1 activity in this group. ROC analysis demonstrated strong predictive power for 8-OHdG in the COPD-smokers group. However, given the study's cross-sectional design and limited adjustment for confounders, these findings should be interpreted cautiously.</p><p><strong>Conclusions: </strong>These findings emphasize the critical importance of smoking cessation and antioxidant-targeted strategies in the clinical management of COPD. A systemic oxidant-antioxidant imbalance leads to impairment in the cellular redox homeostasis in patients with COPD and smokers. This study revealed that increased oxidative damage and reduced antioxidant defense in smoking COPD patients are associated with disease severity.</p>","PeriodicalId":9148,"journal":{"name":"BMC Pulmonary Medicine","volume":"25 1","pages":"423"},"PeriodicalIF":2.8000,"publicationDate":"2025-09-02","publicationTypes":"Journal Article","fieldsOfStudy":null,"isOpenAccess":false,"openAccessPdf":"https://www.ncbi.nlm.nih.gov/pmc/articles/PMC12406465/pdf/","citationCount":"0","resultStr":"{\"title\":\"Impact of smoking on redox homeostasis and 8-OHdG levels in COPD patients: a cross-sectional comparative study.\",\"authors\":\"Osman El Jundi, Pelin Uysal, Seyma Dumur, Aysen Kutan Fenercioglu, Hafize Uzun\",\"doi\":\"10.1186/s12890-025-03907-3\",\"DOIUrl\":null,\"url\":null,\"abstract\":\"<p><strong>Background: </strong>Chronic obstructive pulmonary disease (COPD) is a chronic and progressive condition that develops due to a genetic predisposition, with the dysfunction of antioxidants and anti-protease systems triggered by factors such as smoking. In this study, we aimed to determine the effects of smoking on serum 8-hydroxy-2' deoxyguanosine (8-OHdG) as a marker of oxidative DNA damage, malondialdehyde (MDA) to indicate lipid peroxidation, protein carbonyl (PCO) as a marker of protein damage, and paraoxonase (PON)1 levels as a measure of antioxidant activity involved in maintaining cellular redox balance in COPD patients.</p><p><strong>Methods: </strong>We conducted a cross-sectional study involving 141 patients with COPD (70 smokers, 71 non-smokers) and 140 healthy controls (70 smokers, 70 non-smokers) recruited from the Acibadem Mehmet Ali Aydinlar University outpatient clinic.</p><p><strong>Results: </strong>In the COPD-smokers group, significantly higher serum levels of 8-OHdG, MDA, and PCO, and a lower PON1 activity were found. A strong negative correlation was observed between 8-OHdG levels and both FEV1 and FEV1/FVC, as well as between 8-OHdG and PON1 activity in this group. ROC analysis demonstrated strong predictive power for 8-OHdG in the COPD-smokers group. However, given the study's cross-sectional design and limited adjustment for confounders, these findings should be interpreted cautiously.</p><p><strong>Conclusions: </strong>These findings emphasize the critical importance of smoking cessation and antioxidant-targeted strategies in the clinical management of COPD. A systemic oxidant-antioxidant imbalance leads to impairment in the cellular redox homeostasis in patients with COPD and smokers. This study revealed that increased oxidative damage and reduced antioxidant defense in smoking COPD patients are associated with disease severity.</p>\",\"PeriodicalId\":9148,\"journal\":{\"name\":\"BMC Pulmonary Medicine\",\"volume\":\"25 1\",\"pages\":\"423\"},\"PeriodicalIF\":2.8000,\"publicationDate\":\"2025-09-02\",\"publicationTypes\":\"Journal Article\",\"fieldsOfStudy\":null,\"isOpenAccess\":false,\"openAccessPdf\":\"https://www.ncbi.nlm.nih.gov/pmc/articles/PMC12406465/pdf/\",\"citationCount\":\"0\",\"resultStr\":null,\"platform\":\"Semanticscholar\",\"paperid\":null,\"PeriodicalName\":\"BMC Pulmonary Medicine\",\"FirstCategoryId\":\"3\",\"ListUrlMain\":\"https://doi.org/10.1186/s12890-025-03907-3\",\"RegionNum\":3,\"RegionCategory\":\"医学\",\"ArticlePicture\":[],\"TitleCN\":null,\"AbstractTextCN\":null,\"PMCID\":null,\"EPubDate\":\"\",\"PubModel\":\"\",\"JCR\":\"Q2\",\"JCRName\":\"RESPIRATORY SYSTEM\",\"Score\":null,\"Total\":0}","platform":"Semanticscholar","paperid":null,"PeriodicalName":"BMC Pulmonary Medicine","FirstCategoryId":"3","ListUrlMain":"https://doi.org/10.1186/s12890-025-03907-3","RegionNum":3,"RegionCategory":"医学","ArticlePicture":[],"TitleCN":null,"AbstractTextCN":null,"PMCID":null,"EPubDate":"","PubModel":"","JCR":"Q2","JCRName":"RESPIRATORY SYSTEM","Score":null,"Total":0}
引用次数: 0

摘要

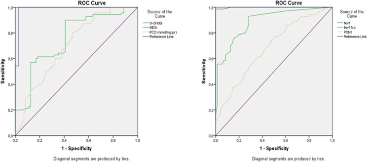
背景:慢性阻塞性肺疾病(COPD)是一种由遗传易感性引起的慢性进行性疾病,由吸烟等因素引发抗氧化剂和抗蛋白酶系统功能障碍。在这项研究中,我们旨在确定吸烟对COPD患者血清8-羟基-2'脱氧鸟苷(8-OHdG) (DNA氧化损伤标志物)、丙二醛(MDA)(脂质过氧化)、蛋白羰基(PCO)(蛋白质损伤标志物)和对氧氧化酶(PON)1水平的影响,PON 1水平是维持细胞氧化还原平衡的抗氧化活性指标。方法:我们对来自Acibadem Mehmet Ali Aydinlar大学门诊的141例COPD患者(吸烟者70例,非吸烟者71例)和140例健康对照(吸烟者70例,非吸烟者70例)进行了横断面研究。结果:copd吸烟者血清8-OHdG、MDA和PCO水平显著升高,PON1活性降低。在该组中,8-OHdG水平与FEV1和FEV1/FVC之间以及8-OHdG与PON1活性之间存在很强的负相关。ROC分析显示8-OHdG在copd吸烟者组中具有很强的预测能力。然而,考虑到该研究的横截面设计和混杂因素的有限调整,这些发现应谨慎解释。结论:这些发现强调了戒烟和抗氧化剂靶向策略在COPD临床管理中的重要性。系统性氧化-抗氧化失衡导致慢性阻塞性肺病患者和吸烟者细胞氧化还原稳态受损。本研究揭示吸烟COPD患者氧化损伤增加和抗氧化防御降低与疾病严重程度相关。
本文章由计算机程序翻译,如有差异,请以英文原文为准。

Impact of smoking on redox homeostasis and 8-OHdG levels in COPD patients: a cross-sectional comparative study.

Impact of smoking on redox homeostasis and 8-OHdG levels in COPD patients: a cross-sectional comparative study.

Impact of smoking on redox homeostasis and 8-OHdG levels in COPD patients: a cross-sectional comparative study.

Background: Chronic obstructive pulmonary disease (COPD) is a chronic and progressive condition that develops due to a genetic predisposition, with the dysfunction of antioxidants and anti-protease systems triggered by factors such as smoking. In this study, we aimed to determine the effects of smoking on serum 8-hydroxy-2' deoxyguanosine (8-OHdG) as a marker of oxidative DNA damage, malondialdehyde (MDA) to indicate lipid peroxidation, protein carbonyl (PCO) as a marker of protein damage, and paraoxonase (PON)1 levels as a measure of antioxidant activity involved in maintaining cellular redox balance in COPD patients.

Methods: We conducted a cross-sectional study involving 141 patients with COPD (70 smokers, 71 non-smokers) and 140 healthy controls (70 smokers, 70 non-smokers) recruited from the Acibadem Mehmet Ali Aydinlar University outpatient clinic.

Results: In the COPD-smokers group, significantly higher serum levels of 8-OHdG, MDA, and PCO, and a lower PON1 activity were found. A strong negative correlation was observed between 8-OHdG levels and both FEV1 and FEV1/FVC, as well as between 8-OHdG and PON1 activity in this group. ROC analysis demonstrated strong predictive power for 8-OHdG in the COPD-smokers group. However, given the study's cross-sectional design and limited adjustment for confounders, these findings should be interpreted cautiously.

Conclusions: These findings emphasize the critical importance of smoking cessation and antioxidant-targeted strategies in the clinical management of COPD. A systemic oxidant-antioxidant imbalance leads to impairment in the cellular redox homeostasis in patients with COPD and smokers. This study revealed that increased oxidative damage and reduced antioxidant defense in smoking COPD patients are associated with disease severity.

求助全文
通过发布文献求助,成功后即可免费获取论文全文。 去求助
来源期刊
BMC Pulmonary Medicine
BMC Pulmonary Medicine RESPIRATORY SYSTEM-
CiteScore
4.40
自引率
3.20%
发文量
423
审稿时长
6-12 weeks
期刊介绍: BMC Pulmonary Medicine is an open access, peer-reviewed journal that considers articles on all aspects of the prevention, diagnosis and management of pulmonary and associated disorders, as well as related molecular genetics, pathophysiology, and epidemiology.
×
引用
GB/T 7714-2015
复制
MLA
复制
APA
复制
导出至
BibTeX EndNote RefMan NoteFirst NoteExpress
×
提示
您的信息不完整,为了账户安全,请先补充。
现在去补充
×
提示
您因"违规操作"
具体请查看互助需知
我知道了
×
提示
确定
请完成安全验证×
copy
已复制链接
快去分享给好友吧!
我知道了
右上角分享
点击右上角分享
0
联系我们:info@booksci.cn Book学术提供免费学术资源搜索服务,方便国内外学者检索中英文文献。致力于提供最便捷和优质的服务体验。 Copyright © 2023 布克学术 All rights reserved.
京ICP备2023020795号-1
ghs 京公网安备 11010802042870号
Book学术文献互助
Book学术文献互助群
群 号:604180095
Book学术官方微信