严重COVID-19的风险因素和预测模型的开发。

IF 2.8 3区 医学 Q2 RESPIRATORY SYSTEM
Ling Zhang, Xinran Li, Ziyan Wang, Lei Zhao, Huixia Gao, Conghui Liu, Jing Bai, Tiejun Liu, Weibin Chen, Wenqiang Li, Jingshan Bai, Aishuang Fu, Yanlei Ge
{"title":"严重COVID-19的风险因素和预测模型的开发。","authors":"Ling Zhang, Xinran Li, Ziyan Wang, Lei Zhao, Huixia Gao, Conghui Liu, Jing Bai, Tiejun Liu, Weibin Chen, Wenqiang Li, Jingshan Bai, Aishuang Fu, Yanlei Ge","doi":"10.1186/s12890-025-03895-4","DOIUrl":null,"url":null,"abstract":"<p><p>A clinical case‒control study was conducted to identify risk factors for severe COVID-19 and to develop a predictive risk model to provide a reference for the dynamic assessment of the severity of disease in COVID-19 patients. A total of 410 patients with COVID-19 were included in the study, of whom 132 had severe or critical cases. The clinical data of the patients were collected, and the variables were subsequently screened via LASSO regression analysis and 10-fold cross-validation. The screened variables were subjected to multifactorial logistic regression analysis to screen out the independent risk factors for patients with severe or critical illnesses, and the independent risk factors were integrated to construct a nomogram. Model performance was evaluated using receiver operating characteristic (ROC) curve analysis, calibration curve analysis, and decision curve analysis (DCA), showing good predictive accuracy. Five variables, including the respiratory rate (R), systolic blood pressure (SBP), plasma albumin (ALB), lactate dehydrogenase (LDH), and C-reactive protein (CRP), were ultimately included to construct a clinical prediction model, with an area under the curve (AUC) of 0.86 (CI 0.82-0.90%). The clinical prediction model constructed in this study using simple clinical indicators can assist in the clinical prediction and identification of patients with heavy or critical COVID-19.</p>","PeriodicalId":9148,"journal":{"name":"BMC Pulmonary Medicine","volume":"25 1","pages":"422"},"PeriodicalIF":2.8000,"publicationDate":"2025-09-02","publicationTypes":"Journal Article","fieldsOfStudy":null,"isOpenAccess":false,"openAccessPdf":"https://www.ncbi.nlm.nih.gov/pmc/articles/PMC12403599/pdf/","citationCount":"0","resultStr":"{\"title\":\"Risk factors for severe COVID-19 and development of a predictive model.\",\"authors\":\"Ling Zhang, Xinran Li, Ziyan Wang, Lei Zhao, Huixia Gao, Conghui Liu, Jing Bai, Tiejun Liu, Weibin Chen, Wenqiang Li, Jingshan Bai, Aishuang Fu, Yanlei Ge\",\"doi\":\"10.1186/s12890-025-03895-4\",\"DOIUrl\":null,\"url\":null,\"abstract\":\"<p><p>A clinical case‒control study was conducted to identify risk factors for severe COVID-19 and to develop a predictive risk model to provide a reference for the dynamic assessment of the severity of disease in COVID-19 patients. A total of 410 patients with COVID-19 were included in the study, of whom 132 had severe or critical cases. The clinical data of the patients were collected, and the variables were subsequently screened via LASSO regression analysis and 10-fold cross-validation. The screened variables were subjected to multifactorial logistic regression analysis to screen out the independent risk factors for patients with severe or critical illnesses, and the independent risk factors were integrated to construct a nomogram. Model performance was evaluated using receiver operating characteristic (ROC) curve analysis, calibration curve analysis, and decision curve analysis (DCA), showing good predictive accuracy. Five variables, including the respiratory rate (R), systolic blood pressure (SBP), plasma albumin (ALB), lactate dehydrogenase (LDH), and C-reactive protein (CRP), were ultimately included to construct a clinical prediction model, with an area under the curve (AUC) of 0.86 (CI 0.82-0.90%). The clinical prediction model constructed in this study using simple clinical indicators can assist in the clinical prediction and identification of patients with heavy or critical COVID-19.</p>\",\"PeriodicalId\":9148,\"journal\":{\"name\":\"BMC Pulmonary Medicine\",\"volume\":\"25 1\",\"pages\":\"422\"},\"PeriodicalIF\":2.8000,\"publicationDate\":\"2025-09-02\",\"publicationTypes\":\"Journal Article\",\"fieldsOfStudy\":null,\"isOpenAccess\":false,\"openAccessPdf\":\"https://www.ncbi.nlm.nih.gov/pmc/articles/PMC12403599/pdf/\",\"citationCount\":\"0\",\"resultStr\":null,\"platform\":\"Semanticscholar\",\"paperid\":null,\"PeriodicalName\":\"BMC Pulmonary Medicine\",\"FirstCategoryId\":\"3\",\"ListUrlMain\":\"https://doi.org/10.1186/s12890-025-03895-4\",\"RegionNum\":3,\"RegionCategory\":\"医学\",\"ArticlePicture\":[],\"TitleCN\":null,\"AbstractTextCN\":null,\"PMCID\":null,\"EPubDate\":\"\",\"PubModel\":\"\",\"JCR\":\"Q2\",\"JCRName\":\"RESPIRATORY SYSTEM\",\"Score\":null,\"Total\":0}","platform":"Semanticscholar","paperid":null,"PeriodicalName":"BMC Pulmonary Medicine","FirstCategoryId":"3","ListUrlMain":"https://doi.org/10.1186/s12890-025-03895-4","RegionNum":3,"RegionCategory":"医学","ArticlePicture":[],"TitleCN":null,"AbstractTextCN":null,"PMCID":null,"EPubDate":"","PubModel":"","JCR":"Q2","JCRName":"RESPIRATORY SYSTEM","Score":null,"Total":0}
引用次数: 0

摘要

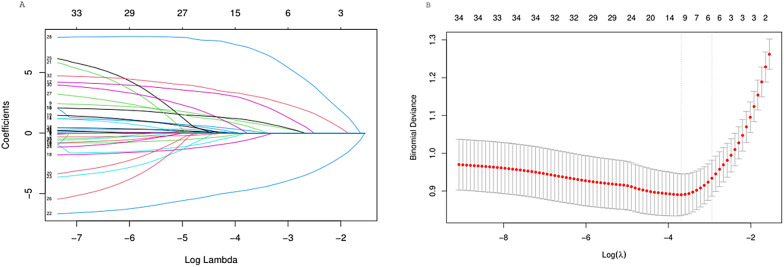
通过临床病例对照研究,识别重症COVID-19的危险因素,建立预测风险模型,为动态评估COVID-19患者病情严重程度提供参考。该研究共纳入410例COVID-19患者,其中132例为重症或危重病例。收集患者的临床资料,通过LASSO回归分析和10倍交叉验证筛选变量。对筛选出的变量进行多因素logistic回归分析,筛选出重症或危重症患者的独立危险因素,并将各独立危险因素整合构成nomogram。采用受试者工作特征(ROC)曲线分析、校准曲线分析和决策曲线分析(DCA)对模型性能进行评价,显示出较好的预测精度。最终纳入呼吸频率(R)、收缩压(SBP)、血浆白蛋白(ALB)、乳酸脱氢酶(LDH)、c反应蛋白(CRP) 5个变量构建临床预测模型,曲线下面积(AUC)为0.86 (CI 0.82 ~ 0.90%)。本研究构建的临床预测模型采用简单的临床指标,可辅助重危型患者的临床预测和鉴别。
本文章由计算机程序翻译,如有差异,请以英文原文为准。

Risk factors for severe COVID-19 and development of a predictive model.

Risk factors for severe COVID-19 and development of a predictive model.

Risk factors for severe COVID-19 and development of a predictive model.

Risk factors for severe COVID-19 and development of a predictive model.

A clinical case‒control study was conducted to identify risk factors for severe COVID-19 and to develop a predictive risk model to provide a reference for the dynamic assessment of the severity of disease in COVID-19 patients. A total of 410 patients with COVID-19 were included in the study, of whom 132 had severe or critical cases. The clinical data of the patients were collected, and the variables were subsequently screened via LASSO regression analysis and 10-fold cross-validation. The screened variables were subjected to multifactorial logistic regression analysis to screen out the independent risk factors for patients with severe or critical illnesses, and the independent risk factors were integrated to construct a nomogram. Model performance was evaluated using receiver operating characteristic (ROC) curve analysis, calibration curve analysis, and decision curve analysis (DCA), showing good predictive accuracy. Five variables, including the respiratory rate (R), systolic blood pressure (SBP), plasma albumin (ALB), lactate dehydrogenase (LDH), and C-reactive protein (CRP), were ultimately included to construct a clinical prediction model, with an area under the curve (AUC) of 0.86 (CI 0.82-0.90%). The clinical prediction model constructed in this study using simple clinical indicators can assist in the clinical prediction and identification of patients with heavy or critical COVID-19.

求助全文
通过发布文献求助,成功后即可免费获取论文全文。 去求助
来源期刊
BMC Pulmonary Medicine
BMC Pulmonary Medicine RESPIRATORY SYSTEM-
CiteScore
4.40
自引率
3.20%
发文量
423
审稿时长
6-12 weeks
期刊介绍: BMC Pulmonary Medicine is an open access, peer-reviewed journal that considers articles on all aspects of the prevention, diagnosis and management of pulmonary and associated disorders, as well as related molecular genetics, pathophysiology, and epidemiology.
×
引用
GB/T 7714-2015
复制
MLA
复制
APA
复制
导出至
BibTeX EndNote RefMan NoteFirst NoteExpress
×
提示
您的信息不完整,为了账户安全,请先补充。
现在去补充
×
提示
您因"违规操作"
具体请查看互助需知
我知道了
×
提示
确定
请完成安全验证×
copy
已复制链接
快去分享给好友吧!
我知道了
右上角分享
点击右上角分享
0
联系我们:info@booksci.cn Book学术提供免费学术资源搜索服务,方便国内外学者检索中英文文献。致力于提供最便捷和优质的服务体验。 Copyright © 2023 布克学术 All rights reserved.
京ICP备2023020795号-1
ghs 京公网安备 11010802042870号
Book学术文献互助
Book学术文献互助群
群 号:604180095
Book学术官方微信