间歇性外斜视儿童阅读能力与双眼视觉功能和视觉信息处理能力的关系。

IF 1.7 4区 医学 Q3 OPHTHALMOLOGY
Yan Yang, Jinen Hou, Hailu Huang, Cong Wei, Jingsen Chen, Tong Wu, Junyi Liu, Daming Deng, Shihui Ling, Wenhan Yang, Jianhua Yan, Shuai Chang, Xinping Yu
{"title":"间歇性外斜视儿童阅读能力与双眼视觉功能和视觉信息处理能力的关系。","authors":"Yan Yang, Jinen Hou, Hailu Huang, Cong Wei, Jingsen Chen, Tong Wu, Junyi Liu, Daming Deng, Shihui Ling, Wenhan Yang, Jianhua Yan, Shuai Chang, Xinping Yu","doi":"10.1186/s12886-025-04326-y","DOIUrl":null,"url":null,"abstract":"<p><strong>Purpose: </strong>To evaluate children's reading performance with intermittent exotropia (IXT) and investigate possible associations among reading abnormalities, binocular visual function, and visual information processing.</p><p><strong>Methods: </strong>This cross-sectional, case-control study involved 61 children with basic-type IXT and 40 healthy controls aged 7 to 13. Reading performance was assessed objectively using the Development Eye Movement (DEM) test and subjectively with the Dyslexia Checklist for Chinese Children (DCCC). Binocular visual function assessments included fusion, stereopsis, and contrast sensitivity. Visual information processing was evaluated using the Test of Visual Perceptual Skills (TVPS-4) and Beery Visual Motor Integration (VMI-6).</p><p><strong>Results: </strong>Children with IXT exhibited significantly poorer performance on both the horizontal (p = 0.04) and vertical subtests (p = 0.048, p = 0.023, p = 0.037 under different viewing conditions) of the DEM test compared to controls. DCCC questionnaire responses indicated greater difficulties among children with IXT in reading, oral language, written expression, reading habits, attention, and vocabulary comprehension (all p < 0.05). Additionally, children with IXT demonstrated significantly reduced stereopsis, fusion, and contrast sensitivity (all p < 0.05). Scores for visual perception (assessed with TVPS-4) and visual-motor integration (assessed with VMI-6) were also lower in the IXT group (p = 0.003 and p = 0.008, respectively). Stepwise multivariate analysis identified visual-motor integration as an independent predictor of DEM reading performance (p = 0.005), accounting for 11% of the variance in reading ability among children with IXT.</p><p><strong>Conclusion: </strong>Children with intermittent exotropia exhibit reduced reading performance, with visual-motor integration possibly as a key factor. Clinical interventions may benefit from focusing on enhancing visual-motor integration.</p>","PeriodicalId":9058,"journal":{"name":"BMC Ophthalmology","volume":"25 1","pages":"497"},"PeriodicalIF":1.7000,"publicationDate":"2025-09-01","publicationTypes":"Journal Article","fieldsOfStudy":null,"isOpenAccess":false,"openAccessPdf":"https://www.ncbi.nlm.nih.gov/pmc/articles/PMC12403509/pdf/","citationCount":"0","resultStr":"{\"title\":\"Reading ability in children with intermittent exotropia and its association with binocular visual function and visual information processing capability.\",\"authors\":\"Yan Yang, Jinen Hou, Hailu Huang, Cong Wei, Jingsen Chen, Tong Wu, Junyi Liu, Daming Deng, Shihui Ling, Wenhan Yang, Jianhua Yan, Shuai Chang, Xinping Yu\",\"doi\":\"10.1186/s12886-025-04326-y\",\"DOIUrl\":null,\"url\":null,\"abstract\":\"<p><strong>Purpose: </strong>To evaluate children's reading performance with intermittent exotropia (IXT) and investigate possible associations among reading abnormalities, binocular visual function, and visual information processing.</p><p><strong>Methods: </strong>This cross-sectional, case-control study involved 61 children with basic-type IXT and 40 healthy controls aged 7 to 13. Reading performance was assessed objectively using the Development Eye Movement (DEM) test and subjectively with the Dyslexia Checklist for Chinese Children (DCCC). Binocular visual function assessments included fusion, stereopsis, and contrast sensitivity. Visual information processing was evaluated using the Test of Visual Perceptual Skills (TVPS-4) and Beery Visual Motor Integration (VMI-6).</p><p><strong>Results: </strong>Children with IXT exhibited significantly poorer performance on both the horizontal (p = 0.04) and vertical subtests (p = 0.048, p = 0.023, p = 0.037 under different viewing conditions) of the DEM test compared to controls. DCCC questionnaire responses indicated greater difficulties among children with IXT in reading, oral language, written expression, reading habits, attention, and vocabulary comprehension (all p < 0.05). Additionally, children with IXT demonstrated significantly reduced stereopsis, fusion, and contrast sensitivity (all p < 0.05). Scores for visual perception (assessed with TVPS-4) and visual-motor integration (assessed with VMI-6) were also lower in the IXT group (p = 0.003 and p = 0.008, respectively). Stepwise multivariate analysis identified visual-motor integration as an independent predictor of DEM reading performance (p = 0.005), accounting for 11% of the variance in reading ability among children with IXT.</p><p><strong>Conclusion: </strong>Children with intermittent exotropia exhibit reduced reading performance, with visual-motor integration possibly as a key factor. Clinical interventions may benefit from focusing on enhancing visual-motor integration.</p>\",\"PeriodicalId\":9058,\"journal\":{\"name\":\"BMC Ophthalmology\",\"volume\":\"25 1\",\"pages\":\"497\"},\"PeriodicalIF\":1.7000,\"publicationDate\":\"2025-09-01\",\"publicationTypes\":\"Journal Article\",\"fieldsOfStudy\":null,\"isOpenAccess\":false,\"openAccessPdf\":\"https://www.ncbi.nlm.nih.gov/pmc/articles/PMC12403509/pdf/\",\"citationCount\":\"0\",\"resultStr\":null,\"platform\":\"Semanticscholar\",\"paperid\":null,\"PeriodicalName\":\"BMC Ophthalmology\",\"FirstCategoryId\":\"3\",\"ListUrlMain\":\"https://doi.org/10.1186/s12886-025-04326-y\",\"RegionNum\":4,\"RegionCategory\":\"医学\",\"ArticlePicture\":[],\"TitleCN\":null,\"AbstractTextCN\":null,\"PMCID\":null,\"EPubDate\":\"\",\"PubModel\":\"\",\"JCR\":\"Q3\",\"JCRName\":\"OPHTHALMOLOGY\",\"Score\":null,\"Total\":0}","platform":"Semanticscholar","paperid":null,"PeriodicalName":"BMC Ophthalmology","FirstCategoryId":"3","ListUrlMain":"https://doi.org/10.1186/s12886-025-04326-y","RegionNum":4,"RegionCategory":"医学","ArticlePicture":[],"TitleCN":null,"AbstractTextCN":null,"PMCID":null,"EPubDate":"","PubModel":"","JCR":"Q3","JCRName":"OPHTHALMOLOGY","Score":null,"Total":0}
引用次数: 0

摘要

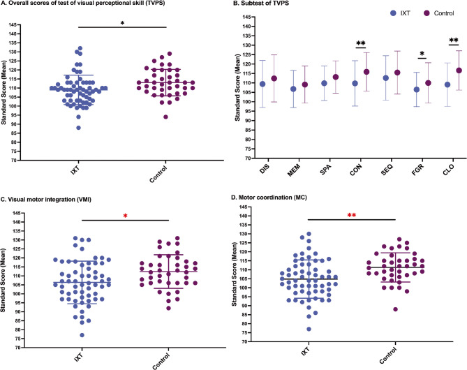
目的:评价儿童间歇性外斜视(IXT)的阅读表现,探讨阅读异常、双眼视觉功能和视觉信息加工之间的可能联系。方法:本横断面病例对照研究纳入61例基础型IXT患儿和40例7 ~ 13岁的健康对照。客观上采用发展眼动测验(DEM),主观上采用中国儿童阅读障碍检查表(DCCC)。双眼视觉功能评估包括融合、立体视觉和对比敏感度。采用视觉知觉技能测验(TVPS-4)和Beery视觉运动整合测验(VMI-6)评估视觉信息处理。结果:IXT患儿在DEM测试的水平子测试(p = 0.04)和垂直子测试(不同观看条件下p = 0.048, p = 0.023, p = 0.037)上的表现均显著低于对照组。DCCC问卷调查结果显示,间歇性外斜视儿童在阅读、口语、书面表达、阅读习惯、注意力和词汇理解方面存在较大困难(均为p)。结论:间歇性外斜视儿童的阅读能力下降,视觉-运动整合可能是关键因素。临床干预可能受益于专注于增强视觉-运动整合。
本文章由计算机程序翻译,如有差异,请以英文原文为准。

Reading ability in children with intermittent exotropia and its association with binocular visual function and visual information processing capability.

Reading ability in children with intermittent exotropia and its association with binocular visual function and visual information processing capability.

Reading ability in children with intermittent exotropia and its association with binocular visual function and visual information processing capability.

Purpose: To evaluate children's reading performance with intermittent exotropia (IXT) and investigate possible associations among reading abnormalities, binocular visual function, and visual information processing.

Methods: This cross-sectional, case-control study involved 61 children with basic-type IXT and 40 healthy controls aged 7 to 13. Reading performance was assessed objectively using the Development Eye Movement (DEM) test and subjectively with the Dyslexia Checklist for Chinese Children (DCCC). Binocular visual function assessments included fusion, stereopsis, and contrast sensitivity. Visual information processing was evaluated using the Test of Visual Perceptual Skills (TVPS-4) and Beery Visual Motor Integration (VMI-6).

Results: Children with IXT exhibited significantly poorer performance on both the horizontal (p = 0.04) and vertical subtests (p = 0.048, p = 0.023, p = 0.037 under different viewing conditions) of the DEM test compared to controls. DCCC questionnaire responses indicated greater difficulties among children with IXT in reading, oral language, written expression, reading habits, attention, and vocabulary comprehension (all p < 0.05). Additionally, children with IXT demonstrated significantly reduced stereopsis, fusion, and contrast sensitivity (all p < 0.05). Scores for visual perception (assessed with TVPS-4) and visual-motor integration (assessed with VMI-6) were also lower in the IXT group (p = 0.003 and p = 0.008, respectively). Stepwise multivariate analysis identified visual-motor integration as an independent predictor of DEM reading performance (p = 0.005), accounting for 11% of the variance in reading ability among children with IXT.

Conclusion: Children with intermittent exotropia exhibit reduced reading performance, with visual-motor integration possibly as a key factor. Clinical interventions may benefit from focusing on enhancing visual-motor integration.

求助全文
通过发布文献求助,成功后即可免费获取论文全文。 去求助
来源期刊
BMC Ophthalmology
BMC Ophthalmology OPHTHALMOLOGY-
CiteScore
3.40
自引率
5.00%
发文量
441
审稿时长
6-12 weeks
期刊介绍: BMC Ophthalmology is an open access, peer-reviewed journal that considers articles on all aspects of the prevention, diagnosis and management of eye disorders, as well as related molecular genetics, pathophysiology, and epidemiology.
×
引用
GB/T 7714-2015
复制
MLA
复制
APA
复制
导出至
BibTeX EndNote RefMan NoteFirst NoteExpress
×
提示
您的信息不完整,为了账户安全,请先补充。
现在去补充
×
提示
您因"违规操作"
具体请查看互助需知
我知道了
×
提示
确定
请完成安全验证×
copy
已复制链接
快去分享给好友吧!
我知道了
右上角分享
点击右上角分享
0
联系我们:info@booksci.cn Book学术提供免费学术资源搜索服务,方便国内外学者检索中英文文献。致力于提供最便捷和优质的服务体验。 Copyright © 2023 布克学术 All rights reserved.
京ICP备2023020795号-1
ghs 京公网安备 11010802042870号
Book学术文献互助
Book学术文献互助群
群 号:604180095
Book学术官方微信