高度近视无视网膜裂全层黄斑裂孔的远期手术疗效。

IF 1.7 4区 医学 Q3 OPHTHALMOLOGY
Sung Do Cho, Eun Kyoung Lee, Chang Ki Yoon, Un Chul Park
{"title":"高度近视无视网膜裂全层黄斑裂孔的远期手术疗效。","authors":"Sung Do Cho, Eun Kyoung Lee, Chang Ki Yoon, Un Chul Park","doi":"10.1186/s12886-025-04325-z","DOIUrl":null,"url":null,"abstract":"<p><strong>Background: </strong>To examine the clinical features and long-term surgical results of highly myopic full-thickness macular hole (FTMH) without retinoschisis.</p><p><strong>Methods: </strong>We retrospectively assessed surgical outcomes of highly myopic patients who underwent vitrectomy with internal limiting membrane peeling and gas tamponade to treat FTMH without retinoschisis. Post-operative examinations were conducted at 1, 3, 6, and 12 months after surgery, with further follow-up intervals adjusted based on physician's discretion. Clinical features related to visual acuity and anatomical success, defined as hole closure without developing foveal atrophy, were assessed.</p><p><strong>Results: </strong>Thirty-three eyes (30 patients) were included, and the mean follow-up period was 61.1 ± 48.8 months. Macular hole closure was achieved in 31 (93.9%) eyes, of which 16 (51.6%) developed foveal atrophy during follow-up. Eyes with anatomical success exhibited a significant better visual prognosis than those without during whole follow-up period (P ≤ 0.031), showing a significant postoperative visual improvement from baseline at 6 months, 12 months and final visit (P = 0.002, P < 0.001 and P = 0.013, respectively). Greater minimal macular hole diameter (P = 0.002) and the presence of posterior staphyloma (P = 0.040) were significantly related to anatomical failure, whereas longer axial length was significantly related to poorer final best-corrected visual acuity (P < 0.001).</p><p><strong>Conclusions: </strong>Hole closure rate after vitrectomy in highly myopic patients with FTMH without retinoschisis was high. However, the postoperative development of foveal atrophy hindered vision improvement. Posterior staphyloma, greater minimal hole diameter, and longer axial length were predictive of poor prognosis.</p>","PeriodicalId":9058,"journal":{"name":"BMC Ophthalmology","volume":"25 1","pages":"485"},"PeriodicalIF":1.7000,"publicationDate":"2025-08-25","publicationTypes":"Journal Article","fieldsOfStudy":null,"isOpenAccess":false,"openAccessPdf":"https://www.ncbi.nlm.nih.gov/pmc/articles/PMC12379405/pdf/","citationCount":"0","resultStr":"{\"title\":\"Long-term surgical outcome of high myopic full-thickness macular hole without retinoschisis.\",\"authors\":\"Sung Do Cho, Eun Kyoung Lee, Chang Ki Yoon, Un Chul Park\",\"doi\":\"10.1186/s12886-025-04325-z\",\"DOIUrl\":null,\"url\":null,\"abstract\":\"<p><strong>Background: </strong>To examine the clinical features and long-term surgical results of highly myopic full-thickness macular hole (FTMH) without retinoschisis.</p><p><strong>Methods: </strong>We retrospectively assessed surgical outcomes of highly myopic patients who underwent vitrectomy with internal limiting membrane peeling and gas tamponade to treat FTMH without retinoschisis. Post-operative examinations were conducted at 1, 3, 6, and 12 months after surgery, with further follow-up intervals adjusted based on physician's discretion. Clinical features related to visual acuity and anatomical success, defined as hole closure without developing foveal atrophy, were assessed.</p><p><strong>Results: </strong>Thirty-three eyes (30 patients) were included, and the mean follow-up period was 61.1 ± 48.8 months. Macular hole closure was achieved in 31 (93.9%) eyes, of which 16 (51.6%) developed foveal atrophy during follow-up. Eyes with anatomical success exhibited a significant better visual prognosis than those without during whole follow-up period (P ≤ 0.031), showing a significant postoperative visual improvement from baseline at 6 months, 12 months and final visit (P = 0.002, P < 0.001 and P = 0.013, respectively). Greater minimal macular hole diameter (P = 0.002) and the presence of posterior staphyloma (P = 0.040) were significantly related to anatomical failure, whereas longer axial length was significantly related to poorer final best-corrected visual acuity (P < 0.001).</p><p><strong>Conclusions: </strong>Hole closure rate after vitrectomy in highly myopic patients with FTMH without retinoschisis was high. However, the postoperative development of foveal atrophy hindered vision improvement. Posterior staphyloma, greater minimal hole diameter, and longer axial length were predictive of poor prognosis.</p>\",\"PeriodicalId\":9058,\"journal\":{\"name\":\"BMC Ophthalmology\",\"volume\":\"25 1\",\"pages\":\"485\"},\"PeriodicalIF\":1.7000,\"publicationDate\":\"2025-08-25\",\"publicationTypes\":\"Journal Article\",\"fieldsOfStudy\":null,\"isOpenAccess\":false,\"openAccessPdf\":\"https://www.ncbi.nlm.nih.gov/pmc/articles/PMC12379405/pdf/\",\"citationCount\":\"0\",\"resultStr\":null,\"platform\":\"Semanticscholar\",\"paperid\":null,\"PeriodicalName\":\"BMC Ophthalmology\",\"FirstCategoryId\":\"3\",\"ListUrlMain\":\"https://doi.org/10.1186/s12886-025-04325-z\",\"RegionNum\":4,\"RegionCategory\":\"医学\",\"ArticlePicture\":[],\"TitleCN\":null,\"AbstractTextCN\":null,\"PMCID\":null,\"EPubDate\":\"\",\"PubModel\":\"\",\"JCR\":\"Q3\",\"JCRName\":\"OPHTHALMOLOGY\",\"Score\":null,\"Total\":0}","platform":"Semanticscholar","paperid":null,"PeriodicalName":"BMC Ophthalmology","FirstCategoryId":"3","ListUrlMain":"https://doi.org/10.1186/s12886-025-04325-z","RegionNum":4,"RegionCategory":"医学","ArticlePicture":[],"TitleCN":null,"AbstractTextCN":null,"PMCID":null,"EPubDate":"","PubModel":"","JCR":"Q3","JCRName":"OPHTHALMOLOGY","Score":null,"Total":0}
引用次数: 0

摘要

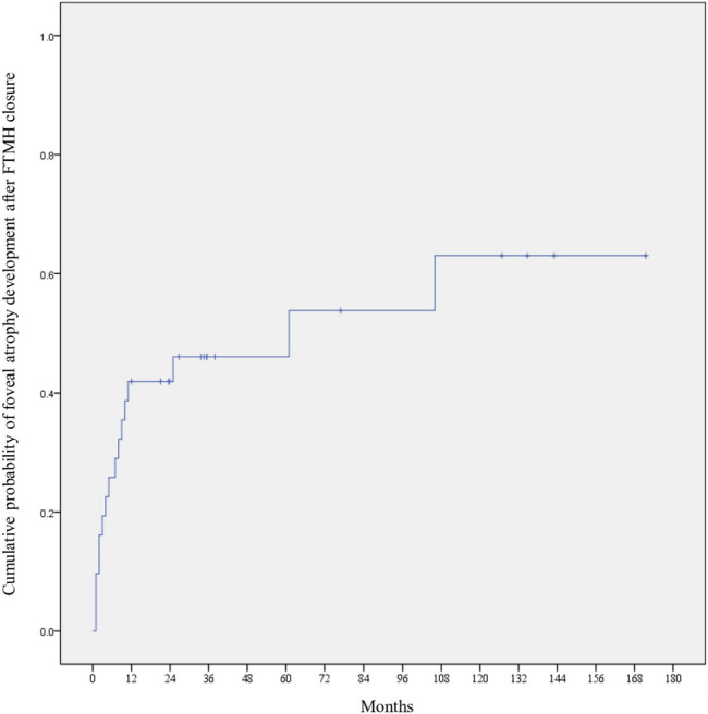
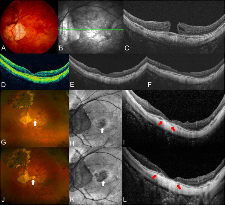
背景:探讨无视网膜裂的高度近视全层黄斑裂孔(FTMH)的临床特点和远期手术效果。方法:回顾性评价高度近视患者行玻璃体切除术联合内限制膜剥离和气体填塞治疗无视网膜裂的FTMH的手术效果。术后检查分别在术后1、3、6和12个月进行,进一步的随访间隔根据医生的判断进行调整。评估与视力和解剖成功相关的临床特征,定义为孔闭合而不发生中央凹萎缩。结果:纳入33只眼(30例),平均随访61.1±48.8个月。31只(93.9%)眼实现了黄斑孔闭合,其中16只(51.6%)眼在随访中出现中央凹萎缩。在整个随访期间,解剖成功眼的视力预后明显优于未解剖成功眼(P≤0.031),术后6个月、12个月和最后一次随访时的视力较基线有显著改善(P = 0.002, P)。结论:高度近视合并视网膜裂的FTMH患者玻璃体切除术后的闭孔率较高。然而,术后中央凹萎缩的发展阻碍了视力的改善。后葡萄肿,最小孔直径较大,轴向长度较长预示预后不良。
本文章由计算机程序翻译,如有差异,请以英文原文为准。

Long-term surgical outcome of high myopic full-thickness macular hole without retinoschisis.

Long-term surgical outcome of high myopic full-thickness macular hole without retinoschisis.

Long-term surgical outcome of high myopic full-thickness macular hole without retinoschisis.

Long-term surgical outcome of high myopic full-thickness macular hole without retinoschisis.

Background: To examine the clinical features and long-term surgical results of highly myopic full-thickness macular hole (FTMH) without retinoschisis.

Methods: We retrospectively assessed surgical outcomes of highly myopic patients who underwent vitrectomy with internal limiting membrane peeling and gas tamponade to treat FTMH without retinoschisis. Post-operative examinations were conducted at 1, 3, 6, and 12 months after surgery, with further follow-up intervals adjusted based on physician's discretion. Clinical features related to visual acuity and anatomical success, defined as hole closure without developing foveal atrophy, were assessed.

Results: Thirty-three eyes (30 patients) were included, and the mean follow-up period was 61.1 ± 48.8 months. Macular hole closure was achieved in 31 (93.9%) eyes, of which 16 (51.6%) developed foveal atrophy during follow-up. Eyes with anatomical success exhibited a significant better visual prognosis than those without during whole follow-up period (P ≤ 0.031), showing a significant postoperative visual improvement from baseline at 6 months, 12 months and final visit (P = 0.002, P < 0.001 and P = 0.013, respectively). Greater minimal macular hole diameter (P = 0.002) and the presence of posterior staphyloma (P = 0.040) were significantly related to anatomical failure, whereas longer axial length was significantly related to poorer final best-corrected visual acuity (P < 0.001).

Conclusions: Hole closure rate after vitrectomy in highly myopic patients with FTMH without retinoschisis was high. However, the postoperative development of foveal atrophy hindered vision improvement. Posterior staphyloma, greater minimal hole diameter, and longer axial length were predictive of poor prognosis.

求助全文
通过发布文献求助,成功后即可免费获取论文全文。 去求助
来源期刊
BMC Ophthalmology
BMC Ophthalmology OPHTHALMOLOGY-
CiteScore
3.40
自引率
5.00%
发文量
441
审稿时长
6-12 weeks
期刊介绍: BMC Ophthalmology is an open access, peer-reviewed journal that considers articles on all aspects of the prevention, diagnosis and management of eye disorders, as well as related molecular genetics, pathophysiology, and epidemiology.
×
引用
GB/T 7714-2015
复制
MLA
复制
APA
复制
导出至
BibTeX EndNote RefMan NoteFirst NoteExpress
×
提示
您的信息不完整,为了账户安全,请先补充。
现在去补充
×
提示
您因"违规操作"
具体请查看互助需知
我知道了
×
提示
确定
请完成安全验证×
copy
已复制链接
快去分享给好友吧!
我知道了
右上角分享
点击右上角分享
0
联系我们:info@booksci.cn Book学术提供免费学术资源搜索服务,方便国内外学者检索中英文文献。致力于提供最便捷和优质的服务体验。 Copyright © 2023 布克学术 All rights reserved.
京ICP备2023020795号-1
ghs 京公网安备 11010802042870号
Book学术文献互助
Book学术文献互助群
群 号:604180095
Book学术官方微信