咖啡因和柚皮苷对高脂饮食诱导的成年雄性NAFLD大鼠线粒体生物发生和肝脏脂肪变性的潜在协同作用。

IF 2.3 3区 生物学 Q3 BIOTECHNOLOGY & APPLIED MICROBIOLOGY
BioMed Research International Pub Date : 2025-08-13 eCollection Date: 2025-01-01 DOI:10.1155/bmri/1565994
Mehrasa Azizollahi, Zahra Nasehi, Maryam Derakhshan, Fouzieh Zadhoush
{"title":"咖啡因和柚皮苷对高脂饮食诱导的成年雄性NAFLD大鼠线粒体生物发生和肝脏脂肪变性的潜在协同作用。","authors":"Mehrasa Azizollahi, Zahra Nasehi, Maryam Derakhshan, Fouzieh Zadhoush","doi":"10.1155/bmri/1565994","DOIUrl":null,"url":null,"abstract":"<p><p><b>Introduction:</b> Nonalcoholic fatty liver disease (NAFLD) is one of the most common causes of chronic liver disease worldwide, and disturbances in lipid metabolism and mitochondrial function play a significant role in its progression. In this study, to improve the effects of caffeine (CAF) treatment, we evaluated the effects of CAF and naringin (NAR) alone and in combination on gene expression involved in mitochondrial biogenesis, plasma nonesterified fatty acid (NEFA) levels, hepatic TG levels, and pathological changes in the liver tissue in adult male rats with NAFLD induced by a high-fat diet (HFD). <b>Materials and Methods:</b> Then, 35 male Wistar rats were randomly assigned to five groups: control, HFD, HFD + CAF, HFD + NAR, and HFD + CAF + NAR (seven rats per group). They were fed a HFD containing 51% fat for 10 weeks, followed by a 6-week gavage treatment with CAF (50 mg/kg/day) and NAR (12.5 mg/kg/day), either individually or in combination. Gene expression related to mitochondrial biogenesis (SIRT1, PGC1<i>α</i>, and TFAM), serum NEFA levels, hepatic triglyceride (TG) levels, and liver histological changes were assessed. <b>Findings:</b> The combination of CAF and NAR in the HFD + CAF + NAR group significantly increased the expression of SIRT1 (<i>p</i> < 0.01), PGC1-<i>α</i> (<i>p</i> < 0.01), and TFAM (<i>p</i> < 0.05) compared to the HFD group, while single treatments did not show such effects. Serum NEFA levels did not change significantly in any of the groups (HFD and treatment groups), but liver TG levels were significantly reduced in both single and combination treatments (<i>p</i> < 0.001). Pathological changes, including improvements in steatosis, inflammation, and ballooning, were observed in the treatment groups, particularly in the HFD + CAF + NAR group. <b>Conclusion:</b> Based on current findings, the combined use of CAF and NAR as an adjunct therapy may exert its protective effects by enhancing the expression of genes involved in mitochondrial biogenesis, improving liver lipid levels, and ameliorating liver pathology. Therefore, it can be considered an innovative strategy for improving liver metabolic status in the context of NAFLD.</p>","PeriodicalId":9007,"journal":{"name":"BioMed Research International","volume":"2025 ","pages":"1565994"},"PeriodicalIF":2.3000,"publicationDate":"2025-08-13","publicationTypes":"Journal Article","fieldsOfStudy":null,"isOpenAccess":false,"openAccessPdf":"https://www.ncbi.nlm.nih.gov/pmc/articles/PMC12367387/pdf/","citationCount":"0","resultStr":"{\"title\":\"Potential Synergistic Effects of Caffeine and Naringin on Mitochondrial Biogenesis and Hepatic Steatosis in Adult Male Rats With NAFLD Induced by a High-Fat Diet.\",\"authors\":\"Mehrasa Azizollahi, Zahra Nasehi, Maryam Derakhshan, Fouzieh Zadhoush\",\"doi\":\"10.1155/bmri/1565994\",\"DOIUrl\":null,\"url\":null,\"abstract\":\"<p><p><b>Introduction:</b> Nonalcoholic fatty liver disease (NAFLD) is one of the most common causes of chronic liver disease worldwide, and disturbances in lipid metabolism and mitochondrial function play a significant role in its progression. In this study, to improve the effects of caffeine (CAF) treatment, we evaluated the effects of CAF and naringin (NAR) alone and in combination on gene expression involved in mitochondrial biogenesis, plasma nonesterified fatty acid (NEFA) levels, hepatic TG levels, and pathological changes in the liver tissue in adult male rats with NAFLD induced by a high-fat diet (HFD). <b>Materials and Methods:</b> Then, 35 male Wistar rats were randomly assigned to five groups: control, HFD, HFD + CAF, HFD + NAR, and HFD + CAF + NAR (seven rats per group). They were fed a HFD containing 51% fat for 10 weeks, followed by a 6-week gavage treatment with CAF (50 mg/kg/day) and NAR (12.5 mg/kg/day), either individually or in combination. Gene expression related to mitochondrial biogenesis (SIRT1, PGC1<i>α</i>, and TFAM), serum NEFA levels, hepatic triglyceride (TG) levels, and liver histological changes were assessed. <b>Findings:</b> The combination of CAF and NAR in the HFD + CAF + NAR group significantly increased the expression of SIRT1 (<i>p</i> < 0.01), PGC1-<i>α</i> (<i>p</i> < 0.01), and TFAM (<i>p</i> < 0.05) compared to the HFD group, while single treatments did not show such effects. Serum NEFA levels did not change significantly in any of the groups (HFD and treatment groups), but liver TG levels were significantly reduced in both single and combination treatments (<i>p</i> < 0.001). Pathological changes, including improvements in steatosis, inflammation, and ballooning, were observed in the treatment groups, particularly in the HFD + CAF + NAR group. <b>Conclusion:</b> Based on current findings, the combined use of CAF and NAR as an adjunct therapy may exert its protective effects by enhancing the expression of genes involved in mitochondrial biogenesis, improving liver lipid levels, and ameliorating liver pathology. Therefore, it can be considered an innovative strategy for improving liver metabolic status in the context of NAFLD.</p>\",\"PeriodicalId\":9007,\"journal\":{\"name\":\"BioMed Research International\",\"volume\":\"2025 \",\"pages\":\"1565994\"},\"PeriodicalIF\":2.3000,\"publicationDate\":\"2025-08-13\",\"publicationTypes\":\"Journal Article\",\"fieldsOfStudy\":null,\"isOpenAccess\":false,\"openAccessPdf\":\"https://www.ncbi.nlm.nih.gov/pmc/articles/PMC12367387/pdf/\",\"citationCount\":\"0\",\"resultStr\":null,\"platform\":\"Semanticscholar\",\"paperid\":null,\"PeriodicalName\":\"BioMed Research International\",\"FirstCategoryId\":\"99\",\"ListUrlMain\":\"https://doi.org/10.1155/bmri/1565994\",\"RegionNum\":3,\"RegionCategory\":\"生物学\",\"ArticlePicture\":[],\"TitleCN\":null,\"AbstractTextCN\":null,\"PMCID\":null,\"EPubDate\":\"2025/1/1 0:00:00\",\"PubModel\":\"eCollection\",\"JCR\":\"Q3\",\"JCRName\":\"BIOTECHNOLOGY & APPLIED MICROBIOLOGY\",\"Score\":null,\"Total\":0}","platform":"Semanticscholar","paperid":null,"PeriodicalName":"BioMed Research International","FirstCategoryId":"99","ListUrlMain":"https://doi.org/10.1155/bmri/1565994","RegionNum":3,"RegionCategory":"生物学","ArticlePicture":[],"TitleCN":null,"AbstractTextCN":null,"PMCID":null,"EPubDate":"2025/1/1 0:00:00","PubModel":"eCollection","JCR":"Q3","JCRName":"BIOTECHNOLOGY & APPLIED MICROBIOLOGY","Score":null,"Total":0}
引用次数: 0

摘要

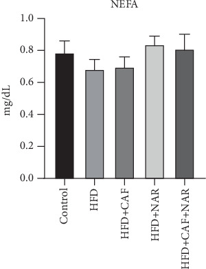
非酒精性脂肪性肝病(NAFLD)是世界范围内最常见的慢性肝病之一,脂质代谢和线粒体功能紊乱在其进展中起着重要作用。在这项研究中,为了提高咖啡因(CAF)治疗的效果,我们评估了CAF和柚皮苷(NAR)单独和联合对高脂饮食(HFD)诱导的成年雄性NAFLD大鼠线粒体生物发生相关基因表达、血浆非酯化脂肪酸(NEFA)水平、肝脏TG水平和肝脏组织病理变化的影响。材料与方法:将35只雄性Wistar大鼠随机分为对照组、HFD组、HFD + CAF组、HFD + NAR组、HFD + CAF + NAR组(每组7只)。饲喂含51%脂肪的高脂饲料10周,然后分别或联合给予CAF (50 mg/kg/d)和NAR (12.5 mg/kg/d)灌胃6周。评估与线粒体生物发生相关的基因表达(SIRT1、PGC1α和TFAM)、血清NEFA水平、肝脏甘油三酯(TG)水平和肝脏组织学变化。结果:与HFD组相比,HFD + CAF + NAR组CAF和NAR联合治疗显著提高了SIRT1 (p < 0.01)、PGC1-α (p < 0.01)和TFAM (p < 0.05)的表达,而单独治疗无此影响。血清NEFA水平在任何组(HFD组和治疗组)均无显著变化,但肝脏TG水平在单一和联合治疗组均显著降低(p < 0.001)。在治疗组,特别是HFD + CAF + NAR组,观察到病理变化,包括脂肪变性、炎症和水肿的改善。结论:根据目前的研究结果,联合使用CAF和NAR作为辅助治疗可能通过增强线粒体生物发生相关基因的表达、改善肝脏脂质水平和改善肝脏病理来发挥其保护作用。因此,它可以被认为是改善NAFLD背景下肝脏代谢状态的创新策略。
本文章由计算机程序翻译,如有差异,请以英文原文为准。

Potential Synergistic Effects of Caffeine and Naringin on Mitochondrial Biogenesis and Hepatic Steatosis in Adult Male Rats With NAFLD Induced by a High-Fat Diet.

Potential Synergistic Effects of Caffeine and Naringin on Mitochondrial Biogenesis and Hepatic Steatosis in Adult Male Rats With NAFLD Induced by a High-Fat Diet.

Potential Synergistic Effects of Caffeine and Naringin on Mitochondrial Biogenesis and Hepatic Steatosis in Adult Male Rats With NAFLD Induced by a High-Fat Diet.

Potential Synergistic Effects of Caffeine and Naringin on Mitochondrial Biogenesis and Hepatic Steatosis in Adult Male Rats With NAFLD Induced by a High-Fat Diet.

Introduction: Nonalcoholic fatty liver disease (NAFLD) is one of the most common causes of chronic liver disease worldwide, and disturbances in lipid metabolism and mitochondrial function play a significant role in its progression. In this study, to improve the effects of caffeine (CAF) treatment, we evaluated the effects of CAF and naringin (NAR) alone and in combination on gene expression involved in mitochondrial biogenesis, plasma nonesterified fatty acid (NEFA) levels, hepatic TG levels, and pathological changes in the liver tissue in adult male rats with NAFLD induced by a high-fat diet (HFD). Materials and Methods: Then, 35 male Wistar rats were randomly assigned to five groups: control, HFD, HFD + CAF, HFD + NAR, and HFD + CAF + NAR (seven rats per group). They were fed a HFD containing 51% fat for 10 weeks, followed by a 6-week gavage treatment with CAF (50 mg/kg/day) and NAR (12.5 mg/kg/day), either individually or in combination. Gene expression related to mitochondrial biogenesis (SIRT1, PGC1α, and TFAM), serum NEFA levels, hepatic triglyceride (TG) levels, and liver histological changes were assessed. Findings: The combination of CAF and NAR in the HFD + CAF + NAR group significantly increased the expression of SIRT1 (p < 0.01), PGC1-α (p < 0.01), and TFAM (p < 0.05) compared to the HFD group, while single treatments did not show such effects. Serum NEFA levels did not change significantly in any of the groups (HFD and treatment groups), but liver TG levels were significantly reduced in both single and combination treatments (p < 0.001). Pathological changes, including improvements in steatosis, inflammation, and ballooning, were observed in the treatment groups, particularly in the HFD + CAF + NAR group. Conclusion: Based on current findings, the combined use of CAF and NAR as an adjunct therapy may exert its protective effects by enhancing the expression of genes involved in mitochondrial biogenesis, improving liver lipid levels, and ameliorating liver pathology. Therefore, it can be considered an innovative strategy for improving liver metabolic status in the context of NAFLD.

求助全文
通过发布文献求助,成功后即可免费获取论文全文。 去求助
来源期刊
BioMed Research International
BioMed Research International BIOTECHNOLOGY & APPLIED MICROBIOLOGY-MEDICINE, RESEARCH & EXPERIMENTAL
CiteScore
6.70
自引率
0.00%
发文量
1942
审稿时长
19 weeks
期刊介绍: BioMed Research International is a peer-reviewed, Open Access journal that publishes original research articles, review articles, and clinical studies covering a wide range of subjects in life sciences and medicine. The journal is divided into 55 subject areas.
×
引用
GB/T 7714-2015
复制
MLA
复制
APA
复制
导出至
BibTeX EndNote RefMan NoteFirst NoteExpress
×
提示
您的信息不完整,为了账户安全,请先补充。
现在去补充
×
提示
您因"违规操作"
具体请查看互助需知
我知道了
×
提示
确定
请完成安全验证×
copy
已复制链接
快去分享给好友吧!
我知道了
右上角分享
点击右上角分享
0
联系我们:info@booksci.cn Book学术提供免费学术资源搜索服务,方便国内外学者检索中英文文献。致力于提供最便捷和优质的服务体验。 Copyright © 2023 布克学术 All rights reserved.
京ICP备2023020795号-1
ghs 京公网安备 11010802042870号
Book学术文献互助
Book学术文献互助群
群 号:604180095
Book学术官方微信