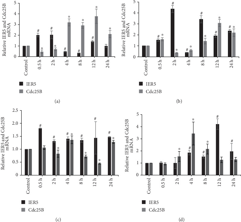
γ射线辐照后,IER5负调控HeLa细胞Cdc25B的表达。

IF 2.3 3区 生物学 Q3 BIOTECHNOLOGY & APPLIED MICROBIOLOGY
BioMed Research International Pub Date : 2025-08-14 eCollection Date: 2025-01-01 DOI:10.1155/bmri/5644318
Xianzhe Zhao, Lixin Ding, Yongzhong Ma, Wei Cheng, Li Zhang, Kuke Ding
{"title":"γ射线辐照后,IER5负调控HeLa细胞Cdc25B的表达。","authors":"Xianzhe Zhao, Lixin Ding, Yongzhong Ma, Wei Cheng, Li Zhang, Kuke Ding","doi":"10.1155/bmri/5644318","DOIUrl":null,"url":null,"abstract":"<p><p>Radiotherapy is commonly used to treat many cancers, and their sensitivity to radiation is crucial for favorable outcomes. This study investigated whether the immediate early response 5 (IER5) protein affects Cdc25B protein expression in HeLa cells after gamma irradiation. IER5 was knocked down using RNA interference (RNAi) in HeLa cells irradiated with 2 or 4 Gy of gamma rays. The mRNA and protein expression levels were subsequently determined via qRT-PCR and western blotting. The distribution of cells during the cell cycle was also determined using flow cytometry. IER5 protein levels were successfully reduced with RNAi. Variations in IER5 levels led to differences in Cdc25B mRNA and protein levels. Moreover, IER5 affected the proportion of cells in the G2 phase, which is regulated mainly by Cdc25B. Pearson correlation analysis was conducted on the expression levels of IER5 and Cdc25B in HeLa cells and the IER5-silenced HeLa (siIER5-HeLa) cell line at various time points after exposure to 4 Gy of gamma rays, and a negative correlation was detected between IER5 and Cdc25B expression levels, with correlation coefficients of -0.686 and -0.663, respectively. Additionally, variations in IER5 levels led to differences in the expression levels of p53, NF-YB, and p300, which may be putative transcriptional regulators of Cdc25B. These results suggest that IER5 plays a negative role in regulating Cdc25B expression, which may involve interactions with the transcriptional regulators p53, NF-YB, and p300.</p>","PeriodicalId":9007,"journal":{"name":"BioMed Research International","volume":"2025 ","pages":"5644318"},"PeriodicalIF":2.3000,"publicationDate":"2025-08-14","publicationTypes":"Journal Article","fieldsOfStudy":null,"isOpenAccess":false,"openAccessPdf":"https://www.ncbi.nlm.nih.gov/pmc/articles/PMC12370387/pdf/","citationCount":"0","resultStr":"{\"title\":\"IER5 Negatively Regulates Cdc25B Expression in HeLa Cells After Gamma Ray Irradiation.\",\"authors\":\"Xianzhe Zhao, Lixin Ding, Yongzhong Ma, Wei Cheng, Li Zhang, Kuke Ding\",\"doi\":\"10.1155/bmri/5644318\",\"DOIUrl\":null,\"url\":null,\"abstract\":\"<p><p>Radiotherapy is commonly used to treat many cancers, and their sensitivity to radiation is crucial for favorable outcomes. This study investigated whether the immediate early response 5 (IER5) protein affects Cdc25B protein expression in HeLa cells after gamma irradiation. IER5 was knocked down using RNA interference (RNAi) in HeLa cells irradiated with 2 or 4 Gy of gamma rays. The mRNA and protein expression levels were subsequently determined via qRT-PCR and western blotting. The distribution of cells during the cell cycle was also determined using flow cytometry. IER5 protein levels were successfully reduced with RNAi. Variations in IER5 levels led to differences in Cdc25B mRNA and protein levels. Moreover, IER5 affected the proportion of cells in the G2 phase, which is regulated mainly by Cdc25B. Pearson correlation analysis was conducted on the expression levels of IER5 and Cdc25B in HeLa cells and the IER5-silenced HeLa (siIER5-HeLa) cell line at various time points after exposure to 4 Gy of gamma rays, and a negative correlation was detected between IER5 and Cdc25B expression levels, with correlation coefficients of -0.686 and -0.663, respectively. Additionally, variations in IER5 levels led to differences in the expression levels of p53, NF-YB, and p300, which may be putative transcriptional regulators of Cdc25B. These results suggest that IER5 plays a negative role in regulating Cdc25B expression, which may involve interactions with the transcriptional regulators p53, NF-YB, and p300.</p>\",\"PeriodicalId\":9007,\"journal\":{\"name\":\"BioMed Research International\",\"volume\":\"2025 \",\"pages\":\"5644318\"},\"PeriodicalIF\":2.3000,\"publicationDate\":\"2025-08-14\",\"publicationTypes\":\"Journal Article\",\"fieldsOfStudy\":null,\"isOpenAccess\":false,\"openAccessPdf\":\"https://www.ncbi.nlm.nih.gov/pmc/articles/PMC12370387/pdf/\",\"citationCount\":\"0\",\"resultStr\":null,\"platform\":\"Semanticscholar\",\"paperid\":null,\"PeriodicalName\":\"BioMed Research International\",\"FirstCategoryId\":\"99\",\"ListUrlMain\":\"https://doi.org/10.1155/bmri/5644318\",\"RegionNum\":3,\"RegionCategory\":\"生物学\",\"ArticlePicture\":[],\"TitleCN\":null,\"AbstractTextCN\":null,\"PMCID\":null,\"EPubDate\":\"2025/1/1 0:00:00\",\"PubModel\":\"eCollection\",\"JCR\":\"Q3\",\"JCRName\":\"BIOTECHNOLOGY & APPLIED MICROBIOLOGY\",\"Score\":null,\"Total\":0}","platform":"Semanticscholar","paperid":null,"PeriodicalName":"BioMed Research International","FirstCategoryId":"99","ListUrlMain":"https://doi.org/10.1155/bmri/5644318","RegionNum":3,"RegionCategory":"生物学","ArticlePicture":[],"TitleCN":null,"AbstractTextCN":null,"PMCID":null,"EPubDate":"2025/1/1 0:00:00","PubModel":"eCollection","JCR":"Q3","JCRName":"BIOTECHNOLOGY & APPLIED MICROBIOLOGY","Score":null,"Total":0}
引用次数: 0

摘要

放射治疗通常用于治疗多种癌症,它们对放射的敏感性对于良好的结果至关重要。本研究探讨γ辐照后HeLa细胞中即时早期反应5 (IER5)蛋白是否影响Cdc25B蛋白的表达。在2或4 Gy γ射线照射的HeLa细胞中,使用RNA干扰(RNAi)敲低IER5。随后通过qRT-PCR和western blotting检测mRNA和蛋白的表达水平。用流式细胞术测定细胞周期内细胞的分布。RNAi成功地降低了IER5蛋白水平。IER5水平的变化导致Cdc25B mRNA和蛋白水平的差异。此外,IER5影响G2期细胞的比例,这主要由Cdc25B调控。4 Gy伽马射线照射后,对HeLa细胞及IER5沉默HeLa细胞系(siIER5-HeLa)各时间点IER5和Cdc25B表达水平进行Pearson相关分析,IER5与Cdc25B表达水平呈负相关,相关系数分别为-0.686和-0.663。此外,IER5水平的变化导致p53、NF-YB和p300表达水平的差异,这些基因可能是Cdc25B的转录调节因子。这些结果表明,IER5在调节Cdc25B表达中起负作用,这可能涉及与转录调节因子p53、NF-YB和p300的相互作用。
本文章由计算机程序翻译,如有差异,请以英文原文为准。

IER5 Negatively Regulates Cdc25B Expression in HeLa Cells After Gamma Ray Irradiation.

IER5 Negatively Regulates Cdc25B Expression in HeLa Cells After Gamma Ray Irradiation.

IER5 Negatively Regulates Cdc25B Expression in HeLa Cells After Gamma Ray Irradiation.

IER5 Negatively Regulates Cdc25B Expression in HeLa Cells After Gamma Ray Irradiation.

Radiotherapy is commonly used to treat many cancers, and their sensitivity to radiation is crucial for favorable outcomes. This study investigated whether the immediate early response 5 (IER5) protein affects Cdc25B protein expression in HeLa cells after gamma irradiation. IER5 was knocked down using RNA interference (RNAi) in HeLa cells irradiated with 2 or 4 Gy of gamma rays. The mRNA and protein expression levels were subsequently determined via qRT-PCR and western blotting. The distribution of cells during the cell cycle was also determined using flow cytometry. IER5 protein levels were successfully reduced with RNAi. Variations in IER5 levels led to differences in Cdc25B mRNA and protein levels. Moreover, IER5 affected the proportion of cells in the G2 phase, which is regulated mainly by Cdc25B. Pearson correlation analysis was conducted on the expression levels of IER5 and Cdc25B in HeLa cells and the IER5-silenced HeLa (siIER5-HeLa) cell line at various time points after exposure to 4 Gy of gamma rays, and a negative correlation was detected between IER5 and Cdc25B expression levels, with correlation coefficients of -0.686 and -0.663, respectively. Additionally, variations in IER5 levels led to differences in the expression levels of p53, NF-YB, and p300, which may be putative transcriptional regulators of Cdc25B. These results suggest that IER5 plays a negative role in regulating Cdc25B expression, which may involve interactions with the transcriptional regulators p53, NF-YB, and p300.

求助全文
通过发布文献求助,成功后即可免费获取论文全文。 去求助
来源期刊
BioMed Research International
BioMed Research International BIOTECHNOLOGY & APPLIED MICROBIOLOGY-MEDICINE, RESEARCH & EXPERIMENTAL
CiteScore
6.70
自引率
0.00%
发文量
1942
审稿时长
19 weeks
期刊介绍: BioMed Research International is a peer-reviewed, Open Access journal that publishes original research articles, review articles, and clinical studies covering a wide range of subjects in life sciences and medicine. The journal is divided into 55 subject areas.
×
引用
GB/T 7714-2015
复制
MLA
复制
APA
复制
导出至
BibTeX EndNote RefMan NoteFirst NoteExpress
×
提示
您的信息不完整,为了账户安全,请先补充。
现在去补充
×
提示
您因"违规操作"
具体请查看互助需知
我知道了
×
提示
确定
请完成安全验证×
copy
已复制链接
快去分享给好友吧!
我知道了
右上角分享
点击右上角分享
0
联系我们:info@booksci.cn Book学术提供免费学术资源搜索服务,方便国内外学者检索中英文文献。致力于提供最便捷和优质的服务体验。 Copyright © 2023 布克学术 All rights reserved.
京ICP备2023020795号-1
ghs 京公网安备 11010802042870号
Book学术文献互助
Book学术文献互助群
群 号:604180095
Book学术官方微信