扩散加权成像和动态增强MRI对腺样囊性癌病理分级的诊断价值。

IF 3.2 3区 医学 Q2 RADIOLOGY, NUCLEAR MEDICINE & MEDICAL IMAGING
Peng An, Nan Jiang, Jinyan Li, Wei Li, Kun Zhou, Jiaxiang Xin, Peihang Jing, Lixin Sun
{"title":"扩散加权成像和动态增强MRI对腺样囊性癌病理分级的诊断价值。","authors":"Peng An, Nan Jiang, Jinyan Li, Wei Li, Kun Zhou, Jiaxiang Xin, Peihang Jing, Lixin Sun","doi":"10.1186/s12880-025-01898-5","DOIUrl":null,"url":null,"abstract":"<p><strong>Objectives: </strong>The combination of dynamic-contrast-enhanced-magnetic-resonance-imaging (DCE-MRI) with the apparent-diffusion-coefficient (ADC) holds significant value for predicting tumor pathological outcomes. This study pioneers the combined application of DCE-MRI and ADC parameters to evaluate their utility in differentiating histopathological grades of adenoid cystic carcinoma (ACC).</p><p><strong>Methods: </strong>Retrospective diagnosis of 23 ear and temporal ACC patients was confirmed based on surgical pathology from March 2020 to April 2024. All patients underwent routine MRI, DWI, and DCE-MRI scans within one week before surgery. The lesion ADC values and DCE-MRI perfusion parameters, including Ve, Kep, Ktrans, and iAUC, were measured. Consistency tests were conducted on the measurements done by two physicians. The ADC values and DCE-MRI perfusion parameters between different pathological grades were compared. The correlation among all parameters and ACC pathological grading were analyzed, and the diagnostic accuracy of each parameter was assessed using receiver-operating-characteristic (ROC) curves.</p><p><strong>Results: </strong>The measurements from the two observers showed high consistency (ICC > 0.9). Ktrans, iAUC, and ADC values demonstrated significant differences between different pathological grades (P < .01, P < .05, P < .05). Correlation analysis indicated that Ktrans, Kep, Ve, and iAUC were positively correlated with ACC pathological grading, and Ktrans demonstrated the most robust correlation (correlation coefficient r = .578, P < .01). In contrast, ADC values were markedly and negatively correlated with pathological grading (r=-.470, P < .05). In ROC analysis, the area-under-the-curve (AUC) for Ktrans, iAUC, and ADC were 0.841, 0.790, and 0.778, respectively, all higher than those for Kep and Ve. Ktrans showed the best diagnostic performance.</p><p><strong>Conclusion: </strong>Combining DCE-MRI perfusion parameters with ADC values provides a non-invasive and effective method for preoperative grading of ACC, with Ktrans, iAUC, and ADC showing strong diagnostic potential. These findings support more accurate tumor characterization and personalized treatment planning, warranting further validation in larger prospective studies.</p><p><strong>Clinical trial number: </strong>Not applicable.</p>","PeriodicalId":9020,"journal":{"name":"BMC Medical Imaging","volume":"25 1","pages":"359"},"PeriodicalIF":3.2000,"publicationDate":"2025-08-30","publicationTypes":"Journal Article","fieldsOfStudy":null,"isOpenAccess":false,"openAccessPdf":"https://www.ncbi.nlm.nih.gov/pmc/articles/PMC12398149/pdf/","citationCount":"0","resultStr":"{\"title\":\"Diagnostic values of diffusion-weighted imaging and dynamic contrast-enhanced MRI in the pathological grading of adenoid cystic carcinoma.\",\"authors\":\"Peng An, Nan Jiang, Jinyan Li, Wei Li, Kun Zhou, Jiaxiang Xin, Peihang Jing, Lixin Sun\",\"doi\":\"10.1186/s12880-025-01898-5\",\"DOIUrl\":null,\"url\":null,\"abstract\":\"<p><strong>Objectives: </strong>The combination of dynamic-contrast-enhanced-magnetic-resonance-imaging (DCE-MRI) with the apparent-diffusion-coefficient (ADC) holds significant value for predicting tumor pathological outcomes. This study pioneers the combined application of DCE-MRI and ADC parameters to evaluate their utility in differentiating histopathological grades of adenoid cystic carcinoma (ACC).</p><p><strong>Methods: </strong>Retrospective diagnosis of 23 ear and temporal ACC patients was confirmed based on surgical pathology from March 2020 to April 2024. All patients underwent routine MRI, DWI, and DCE-MRI scans within one week before surgery. The lesion ADC values and DCE-MRI perfusion parameters, including Ve, Kep, Ktrans, and iAUC, were measured. Consistency tests were conducted on the measurements done by two physicians. The ADC values and DCE-MRI perfusion parameters between different pathological grades were compared. The correlation among all parameters and ACC pathological grading were analyzed, and the diagnostic accuracy of each parameter was assessed using receiver-operating-characteristic (ROC) curves.</p><p><strong>Results: </strong>The measurements from the two observers showed high consistency (ICC > 0.9). Ktrans, iAUC, and ADC values demonstrated significant differences between different pathological grades (P < .01, P < .05, P < .05). Correlation analysis indicated that Ktrans, Kep, Ve, and iAUC were positively correlated with ACC pathological grading, and Ktrans demonstrated the most robust correlation (correlation coefficient r = .578, P < .01). In contrast, ADC values were markedly and negatively correlated with pathological grading (r=-.470, P < .05). In ROC analysis, the area-under-the-curve (AUC) for Ktrans, iAUC, and ADC were 0.841, 0.790, and 0.778, respectively, all higher than those for Kep and Ve. Ktrans showed the best diagnostic performance.</p><p><strong>Conclusion: </strong>Combining DCE-MRI perfusion parameters with ADC values provides a non-invasive and effective method for preoperative grading of ACC, with Ktrans, iAUC, and ADC showing strong diagnostic potential. These findings support more accurate tumor characterization and personalized treatment planning, warranting further validation in larger prospective studies.</p><p><strong>Clinical trial number: </strong>Not applicable.</p>\",\"PeriodicalId\":9020,\"journal\":{\"name\":\"BMC Medical Imaging\",\"volume\":\"25 1\",\"pages\":\"359\"},\"PeriodicalIF\":3.2000,\"publicationDate\":\"2025-08-30\",\"publicationTypes\":\"Journal Article\",\"fieldsOfStudy\":null,\"isOpenAccess\":false,\"openAccessPdf\":\"https://www.ncbi.nlm.nih.gov/pmc/articles/PMC12398149/pdf/\",\"citationCount\":\"0\",\"resultStr\":null,\"platform\":\"Semanticscholar\",\"paperid\":null,\"PeriodicalName\":\"BMC Medical Imaging\",\"FirstCategoryId\":\"3\",\"ListUrlMain\":\"https://doi.org/10.1186/s12880-025-01898-5\",\"RegionNum\":3,\"RegionCategory\":\"医学\",\"ArticlePicture\":[],\"TitleCN\":null,\"AbstractTextCN\":null,\"PMCID\":null,\"EPubDate\":\"\",\"PubModel\":\"\",\"JCR\":\"Q2\",\"JCRName\":\"RADIOLOGY, NUCLEAR MEDICINE & MEDICAL IMAGING\",\"Score\":null,\"Total\":0}","platform":"Semanticscholar","paperid":null,"PeriodicalName":"BMC Medical Imaging","FirstCategoryId":"3","ListUrlMain":"https://doi.org/10.1186/s12880-025-01898-5","RegionNum":3,"RegionCategory":"医学","ArticlePicture":[],"TitleCN":null,"AbstractTextCN":null,"PMCID":null,"EPubDate":"","PubModel":"","JCR":"Q2","JCRName":"RADIOLOGY, NUCLEAR MEDICINE & MEDICAL IMAGING","Score":null,"Total":0}
引用次数: 0

摘要

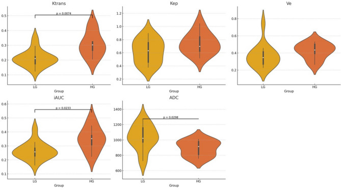
目的:动态对比增强磁共振成像(DCE-MRI)与明显扩散系数(ADC)相结合对预测肿瘤病理结局具有重要价值。本研究开创了DCE-MRI和ADC参数的联合应用,以评估其在区分腺样囊性癌(ACC)组织病理分级中的效用。方法:回顾性分析2020年3月至2024年4月23例耳部及颞部ACC患者的手术病理。所有患者在手术前一周内进行常规MRI、DWI和DCE-MRI扫描。测量病变ADC值及DCE-MRI灌注参数Ve、Kep、Ktrans、iAUC。对两位医生所做的测量结果进行一致性测试。比较不同病理分级间ADC值及DCE-MRI灌注参数。分析各参数与ACC病理分级的相关性,并采用受试者-工作特征(ROC)曲线评估各参数的诊断准确性。结果:两名观测者的测量结果一致性高(ICC > 0.9)。结论:将DCE-MRI灌注参数与ADC值相结合,为ACC术前分级提供了一种无创、有效的方法,Ktrans、iAUC、ADC具有较强的诊断潜力。这些发现支持更准确的肿瘤表征和个性化治疗计划,需要在更大规模的前瞻性研究中进一步验证。临床试验号:不适用。
本文章由计算机程序翻译,如有差异,请以英文原文为准。

Diagnostic values of diffusion-weighted imaging and dynamic contrast-enhanced MRI in the pathological grading of adenoid cystic carcinoma.

Diagnostic values of diffusion-weighted imaging and dynamic contrast-enhanced MRI in the pathological grading of adenoid cystic carcinoma.

Diagnostic values of diffusion-weighted imaging and dynamic contrast-enhanced MRI in the pathological grading of adenoid cystic carcinoma.

Diagnostic values of diffusion-weighted imaging and dynamic contrast-enhanced MRI in the pathological grading of adenoid cystic carcinoma.

Objectives: The combination of dynamic-contrast-enhanced-magnetic-resonance-imaging (DCE-MRI) with the apparent-diffusion-coefficient (ADC) holds significant value for predicting tumor pathological outcomes. This study pioneers the combined application of DCE-MRI and ADC parameters to evaluate their utility in differentiating histopathological grades of adenoid cystic carcinoma (ACC).

Methods: Retrospective diagnosis of 23 ear and temporal ACC patients was confirmed based on surgical pathology from March 2020 to April 2024. All patients underwent routine MRI, DWI, and DCE-MRI scans within one week before surgery. The lesion ADC values and DCE-MRI perfusion parameters, including Ve, Kep, Ktrans, and iAUC, were measured. Consistency tests were conducted on the measurements done by two physicians. The ADC values and DCE-MRI perfusion parameters between different pathological grades were compared. The correlation among all parameters and ACC pathological grading were analyzed, and the diagnostic accuracy of each parameter was assessed using receiver-operating-characteristic (ROC) curves.

Results: The measurements from the two observers showed high consistency (ICC > 0.9). Ktrans, iAUC, and ADC values demonstrated significant differences between different pathological grades (P < .01, P < .05, P < .05). Correlation analysis indicated that Ktrans, Kep, Ve, and iAUC were positively correlated with ACC pathological grading, and Ktrans demonstrated the most robust correlation (correlation coefficient r = .578, P < .01). In contrast, ADC values were markedly and negatively correlated with pathological grading (r=-.470, P < .05). In ROC analysis, the area-under-the-curve (AUC) for Ktrans, iAUC, and ADC were 0.841, 0.790, and 0.778, respectively, all higher than those for Kep and Ve. Ktrans showed the best diagnostic performance.

Conclusion: Combining DCE-MRI perfusion parameters with ADC values provides a non-invasive and effective method for preoperative grading of ACC, with Ktrans, iAUC, and ADC showing strong diagnostic potential. These findings support more accurate tumor characterization and personalized treatment planning, warranting further validation in larger prospective studies.

Clinical trial number: Not applicable.

求助全文
通过发布文献求助,成功后即可免费获取论文全文。 去求助
来源期刊
BMC Medical Imaging
BMC Medical Imaging RADIOLOGY, NUCLEAR MEDICINE & MEDICAL IMAGING-
CiteScore
4.60
自引率
3.70%
发文量
198
审稿时长
27 weeks
期刊介绍: BMC Medical Imaging is an open access journal publishing original peer-reviewed research articles in the development, evaluation, and use of imaging techniques and image processing tools to diagnose and manage disease.
×
引用
GB/T 7714-2015
复制
MLA
复制
APA
复制
导出至
BibTeX EndNote RefMan NoteFirst NoteExpress
×
提示
您的信息不完整,为了账户安全,请先补充。
现在去补充
×
提示
您因"违规操作"
具体请查看互助需知
我知道了
×
提示
确定
请完成安全验证×
copy
已复制链接
快去分享给好友吧!
我知道了
右上角分享
点击右上角分享
0
联系我们:info@booksci.cn Book学术提供免费学术资源搜索服务,方便国内外学者检索中英文文献。致力于提供最便捷和优质的服务体验。 Copyright © 2023 布克学术 All rights reserved.
京ICP备2023020795号-1
ghs 京公网安备 11010802042870号
Book学术文献互助
Book学术文献互助群
群 号:604180095
Book学术官方微信