性厌恶会降低性别和性取向的社会性行为。

IF 2.9 2区 社会学 Q1 PSYCHOLOGY, CLINICAL
Anreone T. Medrado, Jaroslava V. Valentova
{"title":"性厌恶会降低性别和性取向的社会性行为。","authors":"Anreone T. Medrado,&nbsp;Jaroslava V. Valentova","doi":"10.1007/s10508-025-03194-3","DOIUrl":null,"url":null,"abstract":"<div><p>Sexual disgust motivates avoidance of sexual contact to mitigate risks like sexually transmitted infections and unwanted pregnancies. It correlates negatively with sociosexuality (proclivity for casual sex) and stimuli triggering sexual disgust reduce short-term mating desire. Here we investigate the associations between disgust (moral, pathogen, and sexual) and sociosexuality (behavior, attitudes, and desire) among three genders (women, men, and non-binary individuals) and sexual orientations (gay, straight, and bi/pansexual). We further experimentally induced disgust to test if it reduced short-term mating desire and sexual attraction. In Study 1, self-reports from 963 Brazilian participants revealed a negative association between sexual (but not pathogen or moral) disgust and sociosexuality (in particular sociosexual attitudes) and this relationship was unaffected by gender or sexual orientation. Straight women displayed lower sociosexuality and higher sexual disgust than most other groups, particularly bi/pansexual individuals. In Study 2, 803 participants from Study 1 were randomly assigned to a group exposed to sexual, pathogen, or moral disgust, or control visual stimuli, and they reported their short-term mating desire and sexual attraction before and after being exposed to the stimuli. Sexual and to a lesser degree pathogen-disgust stimuli reduced short-term mating desire compared to control stimuli. Exposure to sexual disgust stimuli also slightly decreased sexual attraction of women toward men. Our findings confirmed that short-term mating desire is influenced by immediate levels of disgust, while sexual attraction is less responsive to such cues. These results enhance our understanding of the interplay between disgust, sociosexuality, and sexual motivations across genders and sexual orientations.</p></div>","PeriodicalId":8327,"journal":{"name":"Archives of Sexual Behavior","volume":"54 8","pages":"2933 - 2953"},"PeriodicalIF":2.9000,"publicationDate":"2025-08-22","publicationTypes":"Journal Article","fieldsOfStudy":null,"isOpenAccess":false,"openAccessPdf":"","citationCount":"0","resultStr":"{\"title\":\"Sexual Disgust Decreases Sociosexuality Across Genders and Sexual Orientations\",\"authors\":\"Anreone T. Medrado,&nbsp;Jaroslava V. Valentova\",\"doi\":\"10.1007/s10508-025-03194-3\",\"DOIUrl\":null,\"url\":null,\"abstract\":\"<div><p>Sexual disgust motivates avoidance of sexual contact to mitigate risks like sexually transmitted infections and unwanted pregnancies. It correlates negatively with sociosexuality (proclivity for casual sex) and stimuli triggering sexual disgust reduce short-term mating desire. Here we investigate the associations between disgust (moral, pathogen, and sexual) and sociosexuality (behavior, attitudes, and desire) among three genders (women, men, and non-binary individuals) and sexual orientations (gay, straight, and bi/pansexual). We further experimentally induced disgust to test if it reduced short-term mating desire and sexual attraction. In Study 1, self-reports from 963 Brazilian participants revealed a negative association between sexual (but not pathogen or moral) disgust and sociosexuality (in particular sociosexual attitudes) and this relationship was unaffected by gender or sexual orientation. Straight women displayed lower sociosexuality and higher sexual disgust than most other groups, particularly bi/pansexual individuals. In Study 2, 803 participants from Study 1 were randomly assigned to a group exposed to sexual, pathogen, or moral disgust, or control visual stimuli, and they reported their short-term mating desire and sexual attraction before and after being exposed to the stimuli. Sexual and to a lesser degree pathogen-disgust stimuli reduced short-term mating desire compared to control stimuli. Exposure to sexual disgust stimuli also slightly decreased sexual attraction of women toward men. Our findings confirmed that short-term mating desire is influenced by immediate levels of disgust, while sexual attraction is less responsive to such cues. These results enhance our understanding of the interplay between disgust, sociosexuality, and sexual motivations across genders and sexual orientations.</p></div>\",\"PeriodicalId\":8327,\"journal\":{\"name\":\"Archives of Sexual Behavior\",\"volume\":\"54 8\",\"pages\":\"2933 - 2953\"},\"PeriodicalIF\":2.9000,\"publicationDate\":\"2025-08-22\",\"publicationTypes\":\"Journal Article\",\"fieldsOfStudy\":null,\"isOpenAccess\":false,\"openAccessPdf\":\"\",\"citationCount\":\"0\",\"resultStr\":null,\"platform\":\"Semanticscholar\",\"paperid\":null,\"PeriodicalName\":\"Archives of Sexual Behavior\",\"FirstCategoryId\":\"90\",\"ListUrlMain\":\"https://link.springer.com/article/10.1007/s10508-025-03194-3\",\"RegionNum\":2,\"RegionCategory\":\"社会学\",\"ArticlePicture\":[],\"TitleCN\":null,\"AbstractTextCN\":null,\"PMCID\":null,\"EPubDate\":\"\",\"PubModel\":\"\",\"JCR\":\"Q1\",\"JCRName\":\"PSYCHOLOGY, CLINICAL\",\"Score\":null,\"Total\":0}","platform":"Semanticscholar","paperid":null,"PeriodicalName":"Archives of Sexual Behavior","FirstCategoryId":"90","ListUrlMain":"https://link.springer.com/article/10.1007/s10508-025-03194-3","RegionNum":2,"RegionCategory":"社会学","ArticlePicture":[],"TitleCN":null,"AbstractTextCN":null,"PMCID":null,"EPubDate":"","PubModel":"","JCR":"Q1","JCRName":"PSYCHOLOGY, CLINICAL","Score":null,"Total":0}
引用次数: 0

摘要

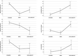
性厌恶促使人们避免性接触,以降低性传播感染和意外怀孕等风险。它与社会性行为(随意性行为的倾向)呈负相关,引发性厌恶的刺激会降低短期的求偶欲望。在这里,我们研究了三种性别(女性、男性和非二元性个体)和性取向(同性恋、异性恋和双性恋/泛性恋)之间的厌恶(道德、病原体和性)和社会性行为(行为、态度和欲望)之间的关系。我们进一步通过实验诱导厌恶来测试它是否会降低短期的交配欲望和性吸引力。在研究1中,来自963名巴西参与者的自我报告显示,性厌恶(但不包括病原体或道德)与社会性行为(特别是社会性态度)之间存在负相关,这种关系不受性别或性取向的影响。与大多数其他群体相比,异性恋女性表现出较低的社会性行为和较高的性厌恶,尤其是双性恋/泛性恋个体。在研究283中,研究1的803名参与者被随机分配到暴露于性、病原体、道德厌恶或控制视觉刺激的一组,他们在暴露于刺激之前和之后报告了他们的短期交配欲望和性吸引力。与对照刺激相比,性刺激和较小程度的病原体厌恶刺激降低了短期交配欲望。暴露在性厌恶刺激下也会略微降低女性对男性的性吸引力。我们的研究结果证实,短期的求偶欲望受到即时厌恶程度的影响,而性吸引力对这些暗示的反应较小。这些结果增强了我们对厌恶、社会性行为和性动机之间的相互作用的理解,这些相互作用跨越了性别和性取向。
本文章由计算机程序翻译,如有差异,请以英文原文为准。

Sexual Disgust Decreases Sociosexuality Across Genders and Sexual Orientations

Sexual Disgust Decreases Sociosexuality Across Genders and Sexual Orientations

Sexual disgust motivates avoidance of sexual contact to mitigate risks like sexually transmitted infections and unwanted pregnancies. It correlates negatively with sociosexuality (proclivity for casual sex) and stimuli triggering sexual disgust reduce short-term mating desire. Here we investigate the associations between disgust (moral, pathogen, and sexual) and sociosexuality (behavior, attitudes, and desire) among three genders (women, men, and non-binary individuals) and sexual orientations (gay, straight, and bi/pansexual). We further experimentally induced disgust to test if it reduced short-term mating desire and sexual attraction. In Study 1, self-reports from 963 Brazilian participants revealed a negative association between sexual (but not pathogen or moral) disgust and sociosexuality (in particular sociosexual attitudes) and this relationship was unaffected by gender or sexual orientation. Straight women displayed lower sociosexuality and higher sexual disgust than most other groups, particularly bi/pansexual individuals. In Study 2, 803 participants from Study 1 were randomly assigned to a group exposed to sexual, pathogen, or moral disgust, or control visual stimuli, and they reported their short-term mating desire and sexual attraction before and after being exposed to the stimuli. Sexual and to a lesser degree pathogen-disgust stimuli reduced short-term mating desire compared to control stimuli. Exposure to sexual disgust stimuli also slightly decreased sexual attraction of women toward men. Our findings confirmed that short-term mating desire is influenced by immediate levels of disgust, while sexual attraction is less responsive to such cues. These results enhance our understanding of the interplay between disgust, sociosexuality, and sexual motivations across genders and sexual orientations.

求助全文
通过发布文献求助,成功后即可免费获取论文全文。 去求助
来源期刊
CiteScore
5.60
自引率
13.20%
发文量
299
期刊介绍: The official publication of the International Academy of Sex Research, the journal is dedicated to the dissemination of information in the field of sexual science, broadly defined. Contributions consist of empirical research (both quantitative and qualitative), theoretical reviews and essays, clinical case reports, letters to the editor, and book reviews.
×
引用
GB/T 7714-2015
复制
MLA
复制
APA
复制
导出至
BibTeX EndNote RefMan NoteFirst NoteExpress
×
提示
您的信息不完整,为了账户安全,请先补充。
现在去补充
×
提示
您因"违规操作"
具体请查看互助需知
我知道了
×
提示
确定
请完成安全验证×
copy
已复制链接
快去分享给好友吧!
我知道了
右上角分享
点击右上角分享
0
联系我们:info@booksci.cn Book学术提供免费学术资源搜索服务,方便国内外学者检索中英文文献。致力于提供最便捷和优质的服务体验。 Copyright © 2023 布克学术 All rights reserved.
京ICP备2023020795号-1
ghs 京公网安备 11010802042870号
Book学术文献互助
Book学术文献互助群
群 号:604180095
Book学术官方微信