α -山竹苷减轻帕金森病MPP+细胞模型的线粒体损伤和自噬失调

IF 3 Q3 PHARMACOLOGY & PHARMACY
Advances in Pharmacological and Pharmaceutical Sciences Pub Date : 2025-08-18 eCollection Date: 2025-01-01 DOI:10.1155/adpp/5567858
Korede Jacob Abraham, Permphan Dharmasaroja
{"title":"α -山竹苷减轻帕金森病MPP+细胞模型的线粒体损伤和自噬失调","authors":"Korede Jacob Abraham, Permphan Dharmasaroja","doi":"10.1155/adpp/5567858","DOIUrl":null,"url":null,"abstract":"<p><p>Alpha-mangostin (α-M), a xanthone derivative with known antioxidative properties, has demonstrated a protective effect on neurons under oxidative stress, a key factor in the pathogenesis of Parkinson's disease (PD). However, its impact on mitochondrial integrity and autophagy in PD remains insufficiently understood. Therefore, the present study aimed to investigate the role of α-M in regulating defective mitochondrial proteins and its influence on the mTOR pathway, both of which are critical in the regulation of autophagy. This study investigated the effects of α-M pretreatment on 1-methyl-4-phenylpyridinium (MPP<sup>+</sup>)-induced neurotoxicity in SH-SY5Y dopaminergic neurons. MPP<sup>+</sup>, a mitochondrial complex I inhibitor, significantly reduced the expression of mitochondrial proteins NDUFS3 and TIMM23, induced mitochondrial damage, and triggered excessive autophagy, as evidenced by elevated LC3-II/LC3-I ratio and phospho-Beclin-1 expression. These changes were accompanied by dysregulation of the mTOR signaling pathway, including increased phosphorylation of mTOR and suppression of its downstream effector p70S6K. α-M pretreatment restored NDUFS3 and TIMM23 levels, preserved mitochondrial morphology and membrane potential, and reduced autophagy activation by mitigating MPP<sup>+</sup>-induced LC3B accumulation and Beclin-1 activation. Additionally, α-M restored balance in the mTOR signaling pathway by reducing mTOR phosphorylation and restoring p70S6K activity, counteracting the autophagic dysregulation caused by MPP<sup>+</sup>. Importantly, α-M exhibited no toxicity under normal conditions, indicating its protective effects are context-dependent and activated only during cellular stress. These findings highlight the potential of α-M as a therapeutic agent for PD, providing neuroprotection through its targeted modulation of mitochondrial proteins and mTOR signaling that regulates autophagy.</p>","PeriodicalId":7369,"journal":{"name":"Advances in Pharmacological and Pharmaceutical Sciences","volume":"2025 ","pages":"5567858"},"PeriodicalIF":3.0000,"publicationDate":"2025-08-18","publicationTypes":"Journal Article","fieldsOfStudy":null,"isOpenAccess":false,"openAccessPdf":"https://www.ncbi.nlm.nih.gov/pmc/articles/PMC12377958/pdf/","citationCount":"0","resultStr":"{\"title\":\"Alpha-Mangostin Alleviates Mitochondrial Damage and Autophagy Dysregulation in the MPP<sup>+</sup> Cellular Model of Parkinson's Disease.\",\"authors\":\"Korede Jacob Abraham, Permphan Dharmasaroja\",\"doi\":\"10.1155/adpp/5567858\",\"DOIUrl\":null,\"url\":null,\"abstract\":\"<p><p>Alpha-mangostin (α-M), a xanthone derivative with known antioxidative properties, has demonstrated a protective effect on neurons under oxidative stress, a key factor in the pathogenesis of Parkinson's disease (PD). However, its impact on mitochondrial integrity and autophagy in PD remains insufficiently understood. Therefore, the present study aimed to investigate the role of α-M in regulating defective mitochondrial proteins and its influence on the mTOR pathway, both of which are critical in the regulation of autophagy. This study investigated the effects of α-M pretreatment on 1-methyl-4-phenylpyridinium (MPP<sup>+</sup>)-induced neurotoxicity in SH-SY5Y dopaminergic neurons. MPP<sup>+</sup>, a mitochondrial complex I inhibitor, significantly reduced the expression of mitochondrial proteins NDUFS3 and TIMM23, induced mitochondrial damage, and triggered excessive autophagy, as evidenced by elevated LC3-II/LC3-I ratio and phospho-Beclin-1 expression. These changes were accompanied by dysregulation of the mTOR signaling pathway, including increased phosphorylation of mTOR and suppression of its downstream effector p70S6K. α-M pretreatment restored NDUFS3 and TIMM23 levels, preserved mitochondrial morphology and membrane potential, and reduced autophagy activation by mitigating MPP<sup>+</sup>-induced LC3B accumulation and Beclin-1 activation. Additionally, α-M restored balance in the mTOR signaling pathway by reducing mTOR phosphorylation and restoring p70S6K activity, counteracting the autophagic dysregulation caused by MPP<sup>+</sup>. Importantly, α-M exhibited no toxicity under normal conditions, indicating its protective effects are context-dependent and activated only during cellular stress. These findings highlight the potential of α-M as a therapeutic agent for PD, providing neuroprotection through its targeted modulation of mitochondrial proteins and mTOR signaling that regulates autophagy.</p>\",\"PeriodicalId\":7369,\"journal\":{\"name\":\"Advances in Pharmacological and Pharmaceutical Sciences\",\"volume\":\"2025 \",\"pages\":\"5567858\"},\"PeriodicalIF\":3.0000,\"publicationDate\":\"2025-08-18\",\"publicationTypes\":\"Journal Article\",\"fieldsOfStudy\":null,\"isOpenAccess\":false,\"openAccessPdf\":\"https://www.ncbi.nlm.nih.gov/pmc/articles/PMC12377958/pdf/\",\"citationCount\":\"0\",\"resultStr\":null,\"platform\":\"Semanticscholar\",\"paperid\":null,\"PeriodicalName\":\"Advances in Pharmacological and Pharmaceutical Sciences\",\"FirstCategoryId\":\"1085\",\"ListUrlMain\":\"https://doi.org/10.1155/adpp/5567858\",\"RegionNum\":0,\"RegionCategory\":null,\"ArticlePicture\":[],\"TitleCN\":null,\"AbstractTextCN\":null,\"PMCID\":null,\"EPubDate\":\"2025/1/1 0:00:00\",\"PubModel\":\"eCollection\",\"JCR\":\"Q3\",\"JCRName\":\"PHARMACOLOGY & PHARMACY\",\"Score\":null,\"Total\":0}","platform":"Semanticscholar","paperid":null,"PeriodicalName":"Advances in Pharmacological and Pharmaceutical Sciences","FirstCategoryId":"1085","ListUrlMain":"https://doi.org/10.1155/adpp/5567858","RegionNum":0,"RegionCategory":null,"ArticlePicture":[],"TitleCN":null,"AbstractTextCN":null,"PMCID":null,"EPubDate":"2025/1/1 0:00:00","PubModel":"eCollection","JCR":"Q3","JCRName":"PHARMACOLOGY & PHARMACY","Score":null,"Total":0}
引用次数: 0

摘要

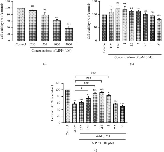
α-山竹苷(α-M)是一种已知具有抗氧化特性的山酮衍生物,已被证明对氧化应激下的神经元具有保护作用,这是帕金森病(PD)发病的关键因素。然而,其对帕金森病线粒体完整性和自噬的影响尚不清楚。因此,本研究旨在探讨α-M在调节缺陷线粒体蛋白中的作用及其对mTOR通路的影响,这两个通路在自噬调节中都是至关重要的。本研究探讨α-M预处理对1-甲基-4-苯基吡啶(MPP+)诱导的SH-SY5Y多巴胺能神经元神经毒性的影响。线粒体复合体I抑制剂MPP+显著降低线粒体蛋白NDUFS3和TIMM23的表达,诱导线粒体损伤,引发过度自噬,表现为LC3-II/LC3-I比值升高,磷酸化beclin -1表达升高。这些变化伴随着mTOR信号通路的失调,包括mTOR磷酸化的增加及其下游效应物p70S6K的抑制。α-M预处理恢复了NDUFS3和TIMM23水平,保留了线粒体形态和膜电位,并通过减轻MPP+诱导的LC3B积累和Beclin-1激活来降低自噬激活。此外,α-M通过降低mTOR磷酸化,恢复p70S6K活性,恢复mTOR信号通路的平衡,抵消MPP+引起的自噬失调。重要的是,α-M在正常条件下没有毒性,表明其保护作用依赖于环境,仅在细胞应激时被激活。这些发现突出了α-M作为帕金森病治疗剂的潜力,它通过靶向调节线粒体蛋白和调节自噬的mTOR信号提供神经保护。
本文章由计算机程序翻译,如有差异,请以英文原文为准。

Alpha-Mangostin Alleviates Mitochondrial Damage and Autophagy Dysregulation in the MPP<sup>+</sup> Cellular Model of Parkinson's Disease.

Alpha-Mangostin Alleviates Mitochondrial Damage and Autophagy Dysregulation in the MPP<sup>+</sup> Cellular Model of Parkinson's Disease.

Alpha-Mangostin Alleviates Mitochondrial Damage and Autophagy Dysregulation in the MPP<sup>+</sup> Cellular Model of Parkinson's Disease.

Alpha-Mangostin Alleviates Mitochondrial Damage and Autophagy Dysregulation in the MPP+ Cellular Model of Parkinson's Disease.

Alpha-mangostin (α-M), a xanthone derivative with known antioxidative properties, has demonstrated a protective effect on neurons under oxidative stress, a key factor in the pathogenesis of Parkinson's disease (PD). However, its impact on mitochondrial integrity and autophagy in PD remains insufficiently understood. Therefore, the present study aimed to investigate the role of α-M in regulating defective mitochondrial proteins and its influence on the mTOR pathway, both of which are critical in the regulation of autophagy. This study investigated the effects of α-M pretreatment on 1-methyl-4-phenylpyridinium (MPP+)-induced neurotoxicity in SH-SY5Y dopaminergic neurons. MPP+, a mitochondrial complex I inhibitor, significantly reduced the expression of mitochondrial proteins NDUFS3 and TIMM23, induced mitochondrial damage, and triggered excessive autophagy, as evidenced by elevated LC3-II/LC3-I ratio and phospho-Beclin-1 expression. These changes were accompanied by dysregulation of the mTOR signaling pathway, including increased phosphorylation of mTOR and suppression of its downstream effector p70S6K. α-M pretreatment restored NDUFS3 and TIMM23 levels, preserved mitochondrial morphology and membrane potential, and reduced autophagy activation by mitigating MPP+-induced LC3B accumulation and Beclin-1 activation. Additionally, α-M restored balance in the mTOR signaling pathway by reducing mTOR phosphorylation and restoring p70S6K activity, counteracting the autophagic dysregulation caused by MPP+. Importantly, α-M exhibited no toxicity under normal conditions, indicating its protective effects are context-dependent and activated only during cellular stress. These findings highlight the potential of α-M as a therapeutic agent for PD, providing neuroprotection through its targeted modulation of mitochondrial proteins and mTOR signaling that regulates autophagy.

求助全文
通过发布文献求助,成功后即可免费获取论文全文。 去求助
来源期刊
CiteScore
4.30
自引率
3.60%
发文量
0
审稿时长
17 weeks
×
引用
GB/T 7714-2015
复制
MLA
复制
APA
复制
导出至
BibTeX EndNote RefMan NoteFirst NoteExpress
×
提示
您的信息不完整,为了账户安全,请先补充。
现在去补充
×
提示
您因"违规操作"
具体请查看互助需知
我知道了
×
提示
确定
请完成安全验证×
copy
已复制链接
快去分享给好友吧!
我知道了
右上角分享
点击右上角分享
0
联系我们:info@booksci.cn Book学术提供免费学术资源搜索服务,方便国内外学者检索中英文文献。致力于提供最便捷和优质的服务体验。 Copyright © 2023 布克学术 All rights reserved.
京ICP备2023020795号-1
ghs 京公网安备 11010802042870号
Book学术文献互助
Book学术文献互助群
群 号:604180095
Book学术官方微信