非肝手术后肝硬化患者ALBI分级、APRI评分和ALBI-APRI评分与术后预后的关系

Q4 Medicine
Acta Medica Philippina Pub Date : 2025-07-31 eCollection Date: 2025-01-01 DOI:10.47895/amp.vi0.9715
Lorenz Kristoffer D Daga, Jade D Jamias
{"title":"非肝手术后肝硬化患者ALBI分级、APRI评分和ALBI-APRI评分与术后预后的关系","authors":"Lorenz Kristoffer D Daga, Jade D Jamias","doi":"10.47895/amp.vi0.9715","DOIUrl":null,"url":null,"abstract":"<p><strong>Background and objective: </strong>Patients with liver cirrhosis have an increased risk for poor postoperative outcomes after non-hepatic surgery, with liver dysfunction being the most important predictor of poor outcomes. This study aims to determine the association of the albumin-bilirubin (ALBI) grade, aspartate aminotransferase-platelet ratio index (APRI) score, and ALBI-APRI score with postoperative outcomes among cirrhotic patients who have undergone non-hepatic surgery.</p><p><strong>Methods: </strong>This was a retrospective cohort study involving 34 patients. Age, ASA class, urgency of surgery, etiology of liver cirrhosis, preoperative Child-Turcotte-Pugh (CTP) score, Model for End-Stage Liver Disease (MELD) score, ALBI grade, APRI score, and ALBI-APRI score were documented. The outcomes analyzed were postoperative hepatic decompensation (POHD) and in-hospital mortality. Bivariate analysis using the Mann-Whitney U test and Fisher's exact test was performed. Receiver operating characteristic (ROC) curve analysis was performed to compare the ability of the liver scoring systems to predict the occurrence of study outcomes. Binary logistic regression was performed to measure the odds ratio.</p><p><strong>Results: </strong>The ALBI grade and ALBI-APRI score were significantly associated with both POHD and in-hospital mortality. Both scores were non-inferior to the CTP and MELD scores in predicting study outcomes. Compared to CTP and MELD scores, the ALBI grade was more sensitive but less specific in predicting POHD and as sensitive but more specific in predicting in-hospital mortality. The ALBI-APRI score was less sensitive but more specific than the ALBI grade in predicting both POHD and in-hospital mortality.</p><p><strong>Conclusions: </strong>The ALBI grade and ALBI-APRI score were both associated with postoperative hepatic decompensation and in-hospital mortality and were noninferior to the CTP score and MELD score in predicting short-term in-hospital outcomes among cirrhotic patients after non-hepatic surgery.</p>","PeriodicalId":6994,"journal":{"name":"Acta Medica Philippina","volume":"59 10","pages":"74-84"},"PeriodicalIF":0.0000,"publicationDate":"2025-07-31","publicationTypes":"Journal Article","fieldsOfStudy":null,"isOpenAccess":false,"openAccessPdf":"https://www.ncbi.nlm.nih.gov/pmc/articles/PMC12391895/pdf/","citationCount":"0","resultStr":"{\"title\":\"Association of ALBI Grade, APRI Score, and ALBI-APRI Score with Postoperative Outcomes among Patients with Liver Cirrhosis after Non-hepatic Surgery.\",\"authors\":\"Lorenz Kristoffer D Daga, Jade D Jamias\",\"doi\":\"10.47895/amp.vi0.9715\",\"DOIUrl\":null,\"url\":null,\"abstract\":\"<p><strong>Background and objective: </strong>Patients with liver cirrhosis have an increased risk for poor postoperative outcomes after non-hepatic surgery, with liver dysfunction being the most important predictor of poor outcomes. This study aims to determine the association of the albumin-bilirubin (ALBI) grade, aspartate aminotransferase-platelet ratio index (APRI) score, and ALBI-APRI score with postoperative outcomes among cirrhotic patients who have undergone non-hepatic surgery.</p><p><strong>Methods: </strong>This was a retrospective cohort study involving 34 patients. Age, ASA class, urgency of surgery, etiology of liver cirrhosis, preoperative Child-Turcotte-Pugh (CTP) score, Model for End-Stage Liver Disease (MELD) score, ALBI grade, APRI score, and ALBI-APRI score were documented. The outcomes analyzed were postoperative hepatic decompensation (POHD) and in-hospital mortality. Bivariate analysis using the Mann-Whitney U test and Fisher's exact test was performed. Receiver operating characteristic (ROC) curve analysis was performed to compare the ability of the liver scoring systems to predict the occurrence of study outcomes. Binary logistic regression was performed to measure the odds ratio.</p><p><strong>Results: </strong>The ALBI grade and ALBI-APRI score were significantly associated with both POHD and in-hospital mortality. Both scores were non-inferior to the CTP and MELD scores in predicting study outcomes. Compared to CTP and MELD scores, the ALBI grade was more sensitive but less specific in predicting POHD and as sensitive but more specific in predicting in-hospital mortality. The ALBI-APRI score was less sensitive but more specific than the ALBI grade in predicting both POHD and in-hospital mortality.</p><p><strong>Conclusions: </strong>The ALBI grade and ALBI-APRI score were both associated with postoperative hepatic decompensation and in-hospital mortality and were noninferior to the CTP score and MELD score in predicting short-term in-hospital outcomes among cirrhotic patients after non-hepatic surgery.</p>\",\"PeriodicalId\":6994,\"journal\":{\"name\":\"Acta Medica Philippina\",\"volume\":\"59 10\",\"pages\":\"74-84\"},\"PeriodicalIF\":0.0000,\"publicationDate\":\"2025-07-31\",\"publicationTypes\":\"Journal Article\",\"fieldsOfStudy\":null,\"isOpenAccess\":false,\"openAccessPdf\":\"https://www.ncbi.nlm.nih.gov/pmc/articles/PMC12391895/pdf/\",\"citationCount\":\"0\",\"resultStr\":null,\"platform\":\"Semanticscholar\",\"paperid\":null,\"PeriodicalName\":\"Acta Medica Philippina\",\"FirstCategoryId\":\"1085\",\"ListUrlMain\":\"https://doi.org/10.47895/amp.vi0.9715\",\"RegionNum\":0,\"RegionCategory\":null,\"ArticlePicture\":[],\"TitleCN\":null,\"AbstractTextCN\":null,\"PMCID\":null,\"EPubDate\":\"2025/1/1 0:00:00\",\"PubModel\":\"eCollection\",\"JCR\":\"Q4\",\"JCRName\":\"Medicine\",\"Score\":null,\"Total\":0}","platform":"Semanticscholar","paperid":null,"PeriodicalName":"Acta Medica Philippina","FirstCategoryId":"1085","ListUrlMain":"https://doi.org/10.47895/amp.vi0.9715","RegionNum":0,"RegionCategory":null,"ArticlePicture":[],"TitleCN":null,"AbstractTextCN":null,"PMCID":null,"EPubDate":"2025/1/1 0:00:00","PubModel":"eCollection","JCR":"Q4","JCRName":"Medicine","Score":null,"Total":0}
引用次数: 0

摘要

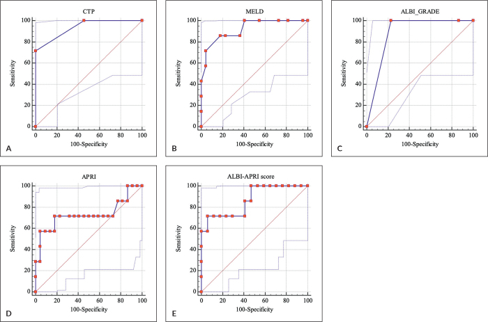
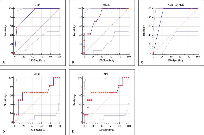
背景和目的:肝硬化患者在非肝脏手术后出现不良预后的风险增加,肝功能障碍是不良预后最重要的预测因素。本研究旨在确定接受非肝手术的肝硬化患者白蛋白-胆红素(ALBI)分级、天冬氨酸转氨酶-血小板比率指数(APRI)评分和ALBI-APRI评分与术后预后的关系。方法:回顾性队列研究,纳入34例患者。记录年龄、ASA分级、手术紧迫性、肝硬化病因、术前Child-Turcotte-Pugh (CTP)评分、终末期肝病模型(MELD)评分、ALBI分级、APRI评分和ALBI-APRI评分。结果分析为术后肝失代偿(POHD)和住院死亡率。采用Mann-Whitney U检验和Fisher精确检验进行双变量分析。进行受试者工作特征(ROC)曲线分析,比较肝脏评分系统预测研究结果发生的能力。采用二元logistic回归来衡量比值比。结果:ALBI分级和ALBI- apri评分与POHD和院内死亡率均显著相关。在预测研究结果方面,两种评分均不低于CTP和MELD评分。与CTP和MELD评分相比,ALBI分级在预测POHD方面更敏感但特异性较低,在预测院内死亡率方面同样敏感但特异性更强。与ALBI分级相比,ALBI- apri评分在预测POHD和住院死亡率方面敏感性较低,但特异性更高。结论:ALBI分级和ALBI- apri评分均与术后肝功能失代偿和住院死亡率相关,且在预测非肝手术后肝硬化患者的短期住院预后方面不逊于CTP评分和MELD评分。
本文章由计算机程序翻译,如有差异,请以英文原文为准。

Association of ALBI Grade, APRI Score, and ALBI-APRI Score with Postoperative Outcomes among Patients with Liver Cirrhosis after Non-hepatic Surgery.

Association of ALBI Grade, APRI Score, and ALBI-APRI Score with Postoperative Outcomes among Patients with Liver Cirrhosis after Non-hepatic Surgery.

Association of ALBI Grade, APRI Score, and ALBI-APRI Score with Postoperative Outcomes among Patients with Liver Cirrhosis after Non-hepatic Surgery.

Association of ALBI Grade, APRI Score, and ALBI-APRI Score with Postoperative Outcomes among Patients with Liver Cirrhosis after Non-hepatic Surgery.

Background and objective: Patients with liver cirrhosis have an increased risk for poor postoperative outcomes after non-hepatic surgery, with liver dysfunction being the most important predictor of poor outcomes. This study aims to determine the association of the albumin-bilirubin (ALBI) grade, aspartate aminotransferase-platelet ratio index (APRI) score, and ALBI-APRI score with postoperative outcomes among cirrhotic patients who have undergone non-hepatic surgery.

Methods: This was a retrospective cohort study involving 34 patients. Age, ASA class, urgency of surgery, etiology of liver cirrhosis, preoperative Child-Turcotte-Pugh (CTP) score, Model for End-Stage Liver Disease (MELD) score, ALBI grade, APRI score, and ALBI-APRI score were documented. The outcomes analyzed were postoperative hepatic decompensation (POHD) and in-hospital mortality. Bivariate analysis using the Mann-Whitney U test and Fisher's exact test was performed. Receiver operating characteristic (ROC) curve analysis was performed to compare the ability of the liver scoring systems to predict the occurrence of study outcomes. Binary logistic regression was performed to measure the odds ratio.

Results: The ALBI grade and ALBI-APRI score were significantly associated with both POHD and in-hospital mortality. Both scores were non-inferior to the CTP and MELD scores in predicting study outcomes. Compared to CTP and MELD scores, the ALBI grade was more sensitive but less specific in predicting POHD and as sensitive but more specific in predicting in-hospital mortality. The ALBI-APRI score was less sensitive but more specific than the ALBI grade in predicting both POHD and in-hospital mortality.

Conclusions: The ALBI grade and ALBI-APRI score were both associated with postoperative hepatic decompensation and in-hospital mortality and were noninferior to the CTP score and MELD score in predicting short-term in-hospital outcomes among cirrhotic patients after non-hepatic surgery.

求助全文
通过发布文献求助,成功后即可免费获取论文全文。 去求助
来源期刊
Acta Medica Philippina
Acta Medica Philippina Medicine-Medicine (all)
CiteScore
0.40
自引率
0.00%
发文量
199
×
引用
GB/T 7714-2015
复制
MLA
复制
APA
复制
导出至
BibTeX EndNote RefMan NoteFirst NoteExpress
×
提示
您的信息不完整,为了账户安全,请先补充。
现在去补充
×
提示
您因"违规操作"
具体请查看互助需知
我知道了
×
提示
确定
请完成安全验证×
copy
已复制链接
快去分享给好友吧!
我知道了
右上角分享
点击右上角分享
0
联系我们:info@booksci.cn Book学术提供免费学术资源搜索服务,方便国内外学者检索中英文文献。致力于提供最便捷和优质的服务体验。 Copyright © 2023 布克学术 All rights reserved.
京ICP备2023020795号-1
ghs 京公网安备 11010802042870号
Book学术文献互助
Book学术文献互助群
群 号:604180095
Book学术官方微信