苯巴比妥治疗胆汁淤积的疗效、有效性和安全性,以及作为提高肝胆造影诊断准确性的前用药:一项系统综述。

Q4 Medicine
Acta Medica Philippina Pub Date : 2025-07-31 eCollection Date: 2025-01-01 DOI:10.47895/amp.vi0.10948
Germana Emerita V Gregorio, Katrina Loren R Rey, Carol Stephanie C Tan-Lim
{"title":"苯巴比妥治疗胆汁淤积的疗效、有效性和安全性,以及作为提高肝胆造影诊断准确性的前用药:一项系统综述。","authors":"Germana Emerita V Gregorio, Katrina Loren R Rey, Carol Stephanie C Tan-Lim","doi":"10.47895/amp.vi0.10948","DOIUrl":null,"url":null,"abstract":"<p><strong>Objective: </strong>Phenobarbital is an inductor of microsomal hepatic enzyme and used as choleretic for cholestatic liver disease to enhance bile flow. It is also used as a premedication for hepatobiliary scintigraphy (HIDA) scan to improve diagnostic accuracy for an obstructive liver disease. We reviewed the available literature on the use of Phenobarbital for treatment of cholestasis and its utility as a premedication for HIDA scan.</p><p><strong>Methods: </strong>All published studies before June 30, 2023 that investigated the efficacy, effectiveness or safety of Phenobarbital in cholestatic jaundice and its effect on the accuracy of hepatobiliary scintigraphy in diagnosis of obstructive jaundice were included. Electronic databases were searched including MEDLINE via PubMed,Cochrane Library, medRxIV, BioRxIV, as well as the following registries for ongoing and completed trials: ClinicalTrials.gov (USA); ChiCTR.org. (China); and the WHO International Clinical Trials Registry Platform. We screened abstracts, reviewed full texts, and extracted relevant information on study design, settings, population, and outcomes. There was no age and language restriction. Two reviewers independently rated the quality of included studies using: Joanna Briggs Institute critical appraisal tool for case reports, case series, and diagnostic accuracy; Newcastle - Ottawa Quality Assessment Scale for cohort studies, and Cochrane Risk of Bias for Randomized Trials. Risk of bias was appraised and GRADE certainty of evidence was judged. Pooled analysis was done using Stata 14 and reported as sensitivity and specificity.</p><p><strong>Results: </strong>Included were nine reports on Phenobarbital as treatment for cholestasis (one case report, five case series, one cohort and two randomized studies) and seven studies (four diagnostics, two cohorts, one randomized trial) on its use as a premedication for HIDA scan. The quality of case report and case series were considered fair; cohort studies as good; and diagnostic studies were included based on overall assessment. The randomized studies had some or high risk for bias due to concerns in randomization process, measurement of outcome, and risk in the selection of reported results.There were 31 patients (16 adults and 15 children) from case reports and case series. Of the 16 adults, serum total bilirubin concentrations declined from 4 to 70% from baseline in 13 of 15 (87%) patients after Phenobarbital was given at 120 to 250 mg per day from 22 days to five months. Eleven of 14 with pruritus at onset also had improvement in intensity of itching. Of the 15 pediatric patients, ten (67%) showed a decrease from 10 to 60% of the baseline total bilirubin but not a normalization with Phenobarbital intake at a dose of 3 to 12 mg/kg/day from one to 21 months. Five of 14 children also had relief of itching after treatment.Phenobarbital compared to Ursodeoxycholic acid had limited efficacy in reducing the bilirubin levels in neonates and young infants with cholestasis.Moderate certainty evidence showed that with Phenobarbital pretreatment, the hepatobiliary scan done on patients with neonatal cholestasis had 100% (CI 99.2, 100; I<sup>2</sup> = 0.0%) sensitivity and 80.2% (CI 65.4, 92.1; I<sup>2</sup> = 76.6%) specificity while no Phenobarbital pretreatment had 100% (94.9, 100; I<sup>2</sup> = 0.0%) sensitivity and 89.5% (CI 77.0, 98.1; I<sup>2</sup> = 11.4%) specificity. Adverse effects of Phenobarbital were drowsiness, lethargy, poor feeding, and irritability.</p><p><strong>Conclusion: </strong>There was limited effectiveness of Phenobarbital in decreasing bilirubin levels in cholestatic liver disease. Moderate certainty evidence demonstrated that premedication with Phenobarbital did not improve the specificity of HIDA scan in the diagnosis of obstructive jaundice of infancy. Neurologic symptoms were observed with Phenobarbital intake.</p>","PeriodicalId":6994,"journal":{"name":"Acta Medica Philippina","volume":"59 10","pages":"95-109"},"PeriodicalIF":0.0000,"publicationDate":"2025-07-31","publicationTypes":"Journal Article","fieldsOfStudy":null,"isOpenAccess":false,"openAccessPdf":"https://www.ncbi.nlm.nih.gov/pmc/articles/PMC12391896/pdf/","citationCount":"0","resultStr":"{\"title\":\"Efficacy, Effectiveness, and Safety of Phenobarbital in the Treatment of Cholestasis and as a Premedication to Improve Diagnostic Accuracy of Hepatobiliary Scintigraphy: A Systematic Review.\",\"authors\":\"Germana Emerita V Gregorio, Katrina Loren R Rey, Carol Stephanie C Tan-Lim\",\"doi\":\"10.47895/amp.vi0.10948\",\"DOIUrl\":null,\"url\":null,\"abstract\":\"<p><strong>Objective: </strong>Phenobarbital is an inductor of microsomal hepatic enzyme and used as choleretic for cholestatic liver disease to enhance bile flow. It is also used as a premedication for hepatobiliary scintigraphy (HIDA) scan to improve diagnostic accuracy for an obstructive liver disease. We reviewed the available literature on the use of Phenobarbital for treatment of cholestasis and its utility as a premedication for HIDA scan.</p><p><strong>Methods: </strong>All published studies before June 30, 2023 that investigated the efficacy, effectiveness or safety of Phenobarbital in cholestatic jaundice and its effect on the accuracy of hepatobiliary scintigraphy in diagnosis of obstructive jaundice were included. Electronic databases were searched including MEDLINE via PubMed,Cochrane Library, medRxIV, BioRxIV, as well as the following registries for ongoing and completed trials: ClinicalTrials.gov (USA); ChiCTR.org. (China); and the WHO International Clinical Trials Registry Platform. We screened abstracts, reviewed full texts, and extracted relevant information on study design, settings, population, and outcomes. There was no age and language restriction. Two reviewers independently rated the quality of included studies using: Joanna Briggs Institute critical appraisal tool for case reports, case series, and diagnostic accuracy; Newcastle - Ottawa Quality Assessment Scale for cohort studies, and Cochrane Risk of Bias for Randomized Trials. Risk of bias was appraised and GRADE certainty of evidence was judged. Pooled analysis was done using Stata 14 and reported as sensitivity and specificity.</p><p><strong>Results: </strong>Included were nine reports on Phenobarbital as treatment for cholestasis (one case report, five case series, one cohort and two randomized studies) and seven studies (four diagnostics, two cohorts, one randomized trial) on its use as a premedication for HIDA scan. The quality of case report and case series were considered fair; cohort studies as good; and diagnostic studies were included based on overall assessment. The randomized studies had some or high risk for bias due to concerns in randomization process, measurement of outcome, and risk in the selection of reported results.There were 31 patients (16 adults and 15 children) from case reports and case series. Of the 16 adults, serum total bilirubin concentrations declined from 4 to 70% from baseline in 13 of 15 (87%) patients after Phenobarbital was given at 120 to 250 mg per day from 22 days to five months. Eleven of 14 with pruritus at onset also had improvement in intensity of itching. Of the 15 pediatric patients, ten (67%) showed a decrease from 10 to 60% of the baseline total bilirubin but not a normalization with Phenobarbital intake at a dose of 3 to 12 mg/kg/day from one to 21 months. Five of 14 children also had relief of itching after treatment.Phenobarbital compared to Ursodeoxycholic acid had limited efficacy in reducing the bilirubin levels in neonates and young infants with cholestasis.Moderate certainty evidence showed that with Phenobarbital pretreatment, the hepatobiliary scan done on patients with neonatal cholestasis had 100% (CI 99.2, 100; I<sup>2</sup> = 0.0%) sensitivity and 80.2% (CI 65.4, 92.1; I<sup>2</sup> = 76.6%) specificity while no Phenobarbital pretreatment had 100% (94.9, 100; I<sup>2</sup> = 0.0%) sensitivity and 89.5% (CI 77.0, 98.1; I<sup>2</sup> = 11.4%) specificity. Adverse effects of Phenobarbital were drowsiness, lethargy, poor feeding, and irritability.</p><p><strong>Conclusion: </strong>There was limited effectiveness of Phenobarbital in decreasing bilirubin levels in cholestatic liver disease. Moderate certainty evidence demonstrated that premedication with Phenobarbital did not improve the specificity of HIDA scan in the diagnosis of obstructive jaundice of infancy. Neurologic symptoms were observed with Phenobarbital intake.</p>\",\"PeriodicalId\":6994,\"journal\":{\"name\":\"Acta Medica Philippina\",\"volume\":\"59 10\",\"pages\":\"95-109\"},\"PeriodicalIF\":0.0000,\"publicationDate\":\"2025-07-31\",\"publicationTypes\":\"Journal Article\",\"fieldsOfStudy\":null,\"isOpenAccess\":false,\"openAccessPdf\":\"https://www.ncbi.nlm.nih.gov/pmc/articles/PMC12391896/pdf/\",\"citationCount\":\"0\",\"resultStr\":null,\"platform\":\"Semanticscholar\",\"paperid\":null,\"PeriodicalName\":\"Acta Medica Philippina\",\"FirstCategoryId\":\"1085\",\"ListUrlMain\":\"https://doi.org/10.47895/amp.vi0.10948\",\"RegionNum\":0,\"RegionCategory\":null,\"ArticlePicture\":[],\"TitleCN\":null,\"AbstractTextCN\":null,\"PMCID\":null,\"EPubDate\":\"2025/1/1 0:00:00\",\"PubModel\":\"eCollection\",\"JCR\":\"Q4\",\"JCRName\":\"Medicine\",\"Score\":null,\"Total\":0}","platform":"Semanticscholar","paperid":null,"PeriodicalName":"Acta Medica Philippina","FirstCategoryId":"1085","ListUrlMain":"https://doi.org/10.47895/amp.vi0.10948","RegionNum":0,"RegionCategory":null,"ArticlePicture":[],"TitleCN":null,"AbstractTextCN":null,"PMCID":null,"EPubDate":"2025/1/1 0:00:00","PubModel":"eCollection","JCR":"Q4","JCRName":"Medicine","Score":null,"Total":0}
引用次数: 0

摘要

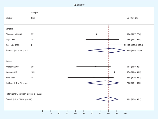
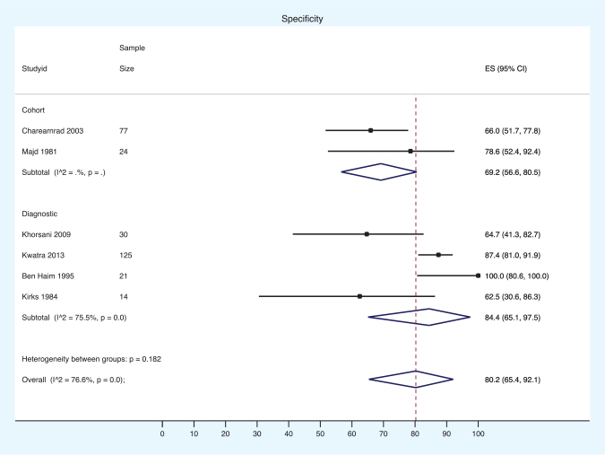
目的:苯巴比妥是一种微粒体肝酶诱导剂,用于胆汁淤积性肝病的胆汁促流剂。它也被用作肝胆显像(HIDA)扫描的前用药,以提高对阻塞性肝脏疾病的诊断准确性。我们回顾了使用苯巴比妥治疗胆汁淤积症的现有文献及其作为hda扫描前用药的效用。方法:纳入2023年6月30日前已发表的关于苯巴比妥治疗胆汁淤积性黄疸的疗效、有效性或安全性及其对肝胆造影诊断梗阻性黄疸准确性影响的研究。电子数据库包括通过PubMed、Cochrane Library、medRxIV、BioRxIV检索MEDLINE,以及以下正在进行和已完成试验的注册库:ClinicalTrials.gov(美国);ChiCTR.org。(中国);以及世卫组织国际临床试验注册平台。我们筛选摘要,回顾全文,并提取有关研究设计、设置、人群和结果的相关信息。没有年龄和语言的限制。两名审稿人独立评估纳入研究的质量,使用:乔安娜布里格斯研究所对病例报告、病例系列和诊断准确性的关键评估工具;纽卡斯尔-渥太华质量评估量表用于队列研究,Cochrane随机试验的偏倚风险。评估偏倚风险,判断证据的GRADE确定性。使用Stata 14进行汇总分析,并报告敏感性和特异性。结果:纳入9篇关于苯巴比妥治疗胆汁潴留的报告(1例报告,5例系列病例,1个队列和2个随机研究)和7篇关于苯巴比妥作为hda扫描前用药的研究(4例诊断,2个队列,1个随机试验)。病例报告和病例系列的质量被认为是公平的;队列研究也很好;诊断性研究也包括在总体评估的基础上。由于随机化过程、结果测量和报告结果选择的风险,随机化研究存在一定或较高的偏倚风险。31例患者(16例成人和15例儿童)来自病例报告和病例系列。在16名成年人中,15名患者中有13名(87%)在服用苯巴比妥22天至5个月,每天120至250毫克后,血清总胆红素浓度从基线下降了4%至70%。14例起病时瘙痒的患者中有11例瘙痒强度也有所改善。15名儿童患者中,10名(67%)显示总胆红素从基线的10%到60%下降,但从1个月到21个月服用苯巴比妥剂量为3到12mg /kg/天没有恢复正常。14名儿童中有5名在治疗后瘙痒有所缓解。与熊去氧胆酸相比,苯巴比妥在降低胆汁淤积症新生儿和年幼婴儿的胆红素水平方面效果有限。中等确定性证据显示,经苯巴比妥预处理的新生儿胆汁淤滞症患者肝胆扫描具有100% (CI 99.2, 100; I2 = 0.0%)的敏感性和80.2% (CI 65.4, 92.1; I2 = 76.6%)的特异性,而未经苯巴比妥预处理的患者肝胆扫描具有100% (CI 94.9, 100; I2 = 0.0%)的敏感性和89.5% (CI 77.0, 98.1; I2 = 11.4%)的特异性。苯巴比妥的不良反应是嗜睡、嗜睡、进食不良和烦躁。结论:苯巴比妥降低胆汁淤积性肝病患者胆红素水平的效果有限。中等确定性证据表明,预先使用苯巴比妥并不能提高hda扫描诊断婴儿阻塞性黄疸的特异性。服用苯巴比妥后观察神经系统症状。
本文章由计算机程序翻译,如有差异,请以英文原文为准。

Efficacy, Effectiveness, and Safety of Phenobarbital in the Treatment of Cholestasis and as a Premedication to Improve Diagnostic Accuracy of Hepatobiliary Scintigraphy: A Systematic Review.

Efficacy, Effectiveness, and Safety of Phenobarbital in the Treatment of Cholestasis and as a Premedication to Improve Diagnostic Accuracy of Hepatobiliary Scintigraphy: A Systematic Review.

Efficacy, Effectiveness, and Safety of Phenobarbital in the Treatment of Cholestasis and as a Premedication to Improve Diagnostic Accuracy of Hepatobiliary Scintigraphy: A Systematic Review.

Efficacy, Effectiveness, and Safety of Phenobarbital in the Treatment of Cholestasis and as a Premedication to Improve Diagnostic Accuracy of Hepatobiliary Scintigraphy: A Systematic Review.

Objective: Phenobarbital is an inductor of microsomal hepatic enzyme and used as choleretic for cholestatic liver disease to enhance bile flow. It is also used as a premedication for hepatobiliary scintigraphy (HIDA) scan to improve diagnostic accuracy for an obstructive liver disease. We reviewed the available literature on the use of Phenobarbital for treatment of cholestasis and its utility as a premedication for HIDA scan.

Methods: All published studies before June 30, 2023 that investigated the efficacy, effectiveness or safety of Phenobarbital in cholestatic jaundice and its effect on the accuracy of hepatobiliary scintigraphy in diagnosis of obstructive jaundice were included. Electronic databases were searched including MEDLINE via PubMed,Cochrane Library, medRxIV, BioRxIV, as well as the following registries for ongoing and completed trials: ClinicalTrials.gov (USA); ChiCTR.org. (China); and the WHO International Clinical Trials Registry Platform. We screened abstracts, reviewed full texts, and extracted relevant information on study design, settings, population, and outcomes. There was no age and language restriction. Two reviewers independently rated the quality of included studies using: Joanna Briggs Institute critical appraisal tool for case reports, case series, and diagnostic accuracy; Newcastle - Ottawa Quality Assessment Scale for cohort studies, and Cochrane Risk of Bias for Randomized Trials. Risk of bias was appraised and GRADE certainty of evidence was judged. Pooled analysis was done using Stata 14 and reported as sensitivity and specificity.

Results: Included were nine reports on Phenobarbital as treatment for cholestasis (one case report, five case series, one cohort and two randomized studies) and seven studies (four diagnostics, two cohorts, one randomized trial) on its use as a premedication for HIDA scan. The quality of case report and case series were considered fair; cohort studies as good; and diagnostic studies were included based on overall assessment. The randomized studies had some or high risk for bias due to concerns in randomization process, measurement of outcome, and risk in the selection of reported results.There were 31 patients (16 adults and 15 children) from case reports and case series. Of the 16 adults, serum total bilirubin concentrations declined from 4 to 70% from baseline in 13 of 15 (87%) patients after Phenobarbital was given at 120 to 250 mg per day from 22 days to five months. Eleven of 14 with pruritus at onset also had improvement in intensity of itching. Of the 15 pediatric patients, ten (67%) showed a decrease from 10 to 60% of the baseline total bilirubin but not a normalization with Phenobarbital intake at a dose of 3 to 12 mg/kg/day from one to 21 months. Five of 14 children also had relief of itching after treatment.Phenobarbital compared to Ursodeoxycholic acid had limited efficacy in reducing the bilirubin levels in neonates and young infants with cholestasis.Moderate certainty evidence showed that with Phenobarbital pretreatment, the hepatobiliary scan done on patients with neonatal cholestasis had 100% (CI 99.2, 100; I2 = 0.0%) sensitivity and 80.2% (CI 65.4, 92.1; I2 = 76.6%) specificity while no Phenobarbital pretreatment had 100% (94.9, 100; I2 = 0.0%) sensitivity and 89.5% (CI 77.0, 98.1; I2 = 11.4%) specificity. Adverse effects of Phenobarbital were drowsiness, lethargy, poor feeding, and irritability.

Conclusion: There was limited effectiveness of Phenobarbital in decreasing bilirubin levels in cholestatic liver disease. Moderate certainty evidence demonstrated that premedication with Phenobarbital did not improve the specificity of HIDA scan in the diagnosis of obstructive jaundice of infancy. Neurologic symptoms were observed with Phenobarbital intake.

求助全文
通过发布文献求助,成功后即可免费获取论文全文。 去求助
来源期刊
Acta Medica Philippina
Acta Medica Philippina Medicine-Medicine (all)
CiteScore
0.40
自引率
0.00%
发文量
199
×
引用
GB/T 7714-2015
复制
MLA
复制
APA
复制
导出至
BibTeX EndNote RefMan NoteFirst NoteExpress
×
提示
您的信息不完整,为了账户安全,请先补充。
现在去补充
×
提示
您因"违规操作"
具体请查看互助需知
我知道了
×
提示
确定
请完成安全验证×
copy
已复制链接
快去分享给好友吧!
我知道了
右上角分享
点击右上角分享
0
联系我们:info@booksci.cn Book学术提供免费学术资源搜索服务,方便国内外学者检索中英文文献。致力于提供最便捷和优质的服务体验。 Copyright © 2023 布克学术 All rights reserved.
京ICP备2023020795号-1
ghs 京公网安备 11010802042870号
Book学术文献互助
Book学术文献互助群
群 号:604180095
Book学术官方微信