对空气样本中经典的和新兴的阻燃剂和增塑剂的采样、保存和分析策略的发展。

IF 3.8 2区 化学 Q1 BIOCHEMICAL RESEARCH METHODS
Judith Desmet, Maria A. Aretaki, Mar Viana, Ethel Eljarrat
{"title":"对空气样本中经典的和新兴的阻燃剂和增塑剂的采样、保存和分析策略的发展。","authors":"Judith Desmet,&nbsp;Maria A. Aretaki,&nbsp;Mar Viana,&nbsp;Ethel Eljarrat","doi":"10.1007/s00216-025-06057-x","DOIUrl":null,"url":null,"abstract":"<div><p>This study presents a methodology for sampling, preserving, and analyzing 15 organophosphate esters (OPEs), 11 phthalate esters (PEs), and 6 alternative plasticizers (APs) in indoor air. Accurate quantification is essential, given their widespread use in household items and adverse health effects associated with exposure. Solid-phase extraction (SPE) cartridges, collecting both gaseous and particulate phases, connected to a low-volume pump were used for the collection of air samples. Stability tests confirm that storing samples at 4 °C is most optimal to maintain analyte integrity for at least 2 weeks. The analytes were extracted and then purified online using turbulent flow chromatography, before analysis via liquid chromatography-tandem mass spectrometry (TFC-LC–MS/MS). Quantification was carried out by applying the isotopic dilution method with labelled standards. Recoveries ranged from 50 to 136%, with reproducibility below 21%. The relative standard deviation (RSD) varied from 2 to 31%, only exceeding the 20% threshold for certain OPEs at lower concentrations. Limits of detection (mLODs) varied between 0.02–0.89 ng/m<sup>3</sup>, 0.02–20.0 ng/m<sup>3</sup>, and 0.07–1.47 ng/m<sup>3</sup> for OPEs, PEs, and APs, respectively. The study demonstrates that this methodology is effective, cost-efficient, and suitable for monitoring a total of 33 flame retardants and plasticizers in indoor air. It minimizes material costs and sample handling time by allowing direct analysis without pretreatment. Results from indoor air samples collected in a case study revealed that OPEs attributed to less than 20% of the chemical profile, while triethyl citrate (TEC) was detected at concentrations up to 28.9 ng/m<sup>3</sup>, confirming the method’s applicability for the added APs.</p><h3>Graphical Abstract</h3>\n<div><figure><div><div><picture><source><img></source></picture></div></div></figure></div></div>","PeriodicalId":462,"journal":{"name":"Analytical and Bioanalytical Chemistry","volume":"417 23","pages":"5335 - 5347"},"PeriodicalIF":3.8000,"publicationDate":"2025-09-02","publicationTypes":"Journal Article","fieldsOfStudy":null,"isOpenAccess":false,"openAccessPdf":"https://www.ncbi.nlm.nih.gov/pmc/articles/PMC12432039/pdf/","citationCount":"0","resultStr":"{\"title\":\"Development of a strategy for sampling, preservation, and analysis of classical and emerging flame retardants and plasticizers in air samples\",\"authors\":\"Judith Desmet,&nbsp;Maria A. Aretaki,&nbsp;Mar Viana,&nbsp;Ethel Eljarrat\",\"doi\":\"10.1007/s00216-025-06057-x\",\"DOIUrl\":null,\"url\":null,\"abstract\":\"<div><p>This study presents a methodology for sampling, preserving, and analyzing 15 organophosphate esters (OPEs), 11 phthalate esters (PEs), and 6 alternative plasticizers (APs) in indoor air. Accurate quantification is essential, given their widespread use in household items and adverse health effects associated with exposure. Solid-phase extraction (SPE) cartridges, collecting both gaseous and particulate phases, connected to a low-volume pump were used for the collection of air samples. Stability tests confirm that storing samples at 4 °C is most optimal to maintain analyte integrity for at least 2 weeks. The analytes were extracted and then purified online using turbulent flow chromatography, before analysis via liquid chromatography-tandem mass spectrometry (TFC-LC–MS/MS). Quantification was carried out by applying the isotopic dilution method with labelled standards. Recoveries ranged from 50 to 136%, with reproducibility below 21%. The relative standard deviation (RSD) varied from 2 to 31%, only exceeding the 20% threshold for certain OPEs at lower concentrations. Limits of detection (mLODs) varied between 0.02–0.89 ng/m<sup>3</sup>, 0.02–20.0 ng/m<sup>3</sup>, and 0.07–1.47 ng/m<sup>3</sup> for OPEs, PEs, and APs, respectively. The study demonstrates that this methodology is effective, cost-efficient, and suitable for monitoring a total of 33 flame retardants and plasticizers in indoor air. It minimizes material costs and sample handling time by allowing direct analysis without pretreatment. Results from indoor air samples collected in a case study revealed that OPEs attributed to less than 20% of the chemical profile, while triethyl citrate (TEC) was detected at concentrations up to 28.9 ng/m<sup>3</sup>, confirming the method’s applicability for the added APs.</p><h3>Graphical Abstract</h3>\\n<div><figure><div><div><picture><source><img></source></picture></div></div></figure></div></div>\",\"PeriodicalId\":462,\"journal\":{\"name\":\"Analytical and Bioanalytical Chemistry\",\"volume\":\"417 23\",\"pages\":\"5335 - 5347\"},\"PeriodicalIF\":3.8000,\"publicationDate\":\"2025-09-02\",\"publicationTypes\":\"Journal Article\",\"fieldsOfStudy\":null,\"isOpenAccess\":false,\"openAccessPdf\":\"https://www.ncbi.nlm.nih.gov/pmc/articles/PMC12432039/pdf/\",\"citationCount\":\"0\",\"resultStr\":null,\"platform\":\"Semanticscholar\",\"paperid\":null,\"PeriodicalName\":\"Analytical and Bioanalytical Chemistry\",\"FirstCategoryId\":\"92\",\"ListUrlMain\":\"https://link.springer.com/article/10.1007/s00216-025-06057-x\",\"RegionNum\":2,\"RegionCategory\":\"化学\",\"ArticlePicture\":[],\"TitleCN\":null,\"AbstractTextCN\":null,\"PMCID\":null,\"EPubDate\":\"\",\"PubModel\":\"\",\"JCR\":\"Q1\",\"JCRName\":\"BIOCHEMICAL RESEARCH METHODS\",\"Score\":null,\"Total\":0}","platform":"Semanticscholar","paperid":null,"PeriodicalName":"Analytical and Bioanalytical Chemistry","FirstCategoryId":"92","ListUrlMain":"https://link.springer.com/article/10.1007/s00216-025-06057-x","RegionNum":2,"RegionCategory":"化学","ArticlePicture":[],"TitleCN":null,"AbstractTextCN":null,"PMCID":null,"EPubDate":"","PubModel":"","JCR":"Q1","JCRName":"BIOCHEMICAL RESEARCH METHODS","Score":null,"Total":0}
引用次数: 0

摘要

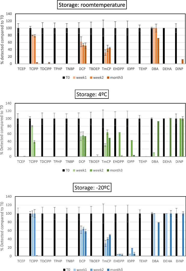
本研究提出了一种采样、保存和分析室内空气中15种有机磷酯(OPEs)、11种邻苯二甲酸酯(PEs)和6种替代增塑剂(APs)的方法。鉴于它们在家庭用品中的广泛使用以及与接触有关的不良健康影响,准确的量化至关重要。固相萃取(SPE)筒,收集气相和颗粒相,连接到一个小容量泵用于收集空气样品。稳定性测试证实,在4°C下保存样品对于保持分析物完整性至少2周是最理想的。分析物被提取,然后用湍流色谱在线纯化,然后用液相色谱-串联质谱(TFC-LC-MS/MS)分析。采用标记标准品同位素稀释法进行定量。回收率为50% ~ 136%,重现性低于21%。相对标准偏差(RSD)范围为2% ~ 31%,在较低浓度下,某些OPEs仅超过20%的阈值。OPEs、pe和APs的检出限(mlod)分别为0.02 ~ 0.89 ng/m3、0.02 ~ 20.0 ng/m3和0.07 ~ 1.47 ng/m3。研究表明,该方法是有效的,具有成本效益,适用于监测室内空气中总共33种阻燃剂和增塑剂。它允许直接分析而无需预处理,从而最大限度地减少材料成本和样品处理时间。在一个案例研究中收集的室内空气样本的结果显示,OPEs归因于不到20%的化学特征,而柠檬酸三乙酯(TEC)的检测浓度高达28.9 ng/m3,证实了该方法对添加ap的适用性。
本文章由计算机程序翻译,如有差异,请以英文原文为准。

Development of a strategy for sampling, preservation, and analysis of classical and emerging flame retardants and plasticizers in air samples

Development of a strategy for sampling, preservation, and analysis of classical and emerging flame retardants and plasticizers in air samples

Development of a strategy for sampling, preservation, and analysis of classical and emerging flame retardants and plasticizers in air samples

Development of a strategy for sampling, preservation, and analysis of classical and emerging flame retardants and plasticizers in air samples

This study presents a methodology for sampling, preserving, and analyzing 15 organophosphate esters (OPEs), 11 phthalate esters (PEs), and 6 alternative plasticizers (APs) in indoor air. Accurate quantification is essential, given their widespread use in household items and adverse health effects associated with exposure. Solid-phase extraction (SPE) cartridges, collecting both gaseous and particulate phases, connected to a low-volume pump were used for the collection of air samples. Stability tests confirm that storing samples at 4 °C is most optimal to maintain analyte integrity for at least 2 weeks. The analytes were extracted and then purified online using turbulent flow chromatography, before analysis via liquid chromatography-tandem mass spectrometry (TFC-LC–MS/MS). Quantification was carried out by applying the isotopic dilution method with labelled standards. Recoveries ranged from 50 to 136%, with reproducibility below 21%. The relative standard deviation (RSD) varied from 2 to 31%, only exceeding the 20% threshold for certain OPEs at lower concentrations. Limits of detection (mLODs) varied between 0.02–0.89 ng/m3, 0.02–20.0 ng/m3, and 0.07–1.47 ng/m3 for OPEs, PEs, and APs, respectively. The study demonstrates that this methodology is effective, cost-efficient, and suitable for monitoring a total of 33 flame retardants and plasticizers in indoor air. It minimizes material costs and sample handling time by allowing direct analysis without pretreatment. Results from indoor air samples collected in a case study revealed that OPEs attributed to less than 20% of the chemical profile, while triethyl citrate (TEC) was detected at concentrations up to 28.9 ng/m3, confirming the method’s applicability for the added APs.

Graphical Abstract

求助全文
通过发布文献求助,成功后即可免费获取论文全文。 去求助
来源期刊
CiteScore
8.00
自引率
4.70%
发文量
638
审稿时长
2.1 months
期刊介绍: Analytical and Bioanalytical Chemistry’s mission is the rapid publication of excellent and high-impact research articles on fundamental and applied topics of analytical and bioanalytical measurement science. Its scope is broad, and ranges from novel measurement platforms and their characterization to multidisciplinary approaches that effectively address important scientific problems. The Editors encourage submissions presenting innovative analytical research in concept, instrumentation, methods, and/or applications, including: mass spectrometry, spectroscopy, and electroanalysis; advanced separations; analytical strategies in “-omics” and imaging, bioanalysis, and sampling; miniaturized devices, medical diagnostics, sensors; analytical characterization of nano- and biomaterials; chemometrics and advanced data analysis.
×
引用
GB/T 7714-2015
复制
MLA
复制
APA
复制
导出至
BibTeX EndNote RefMan NoteFirst NoteExpress
×
提示
您的信息不完整,为了账户安全,请先补充。
现在去补充
×
提示
您因"违规操作"
具体请查看互助需知
我知道了
×
提示
确定
请完成安全验证×
copy
已复制链接
快去分享给好友吧!
我知道了
右上角分享
点击右上角分享
0
联系我们:info@booksci.cn Book学术提供免费学术资源搜索服务,方便国内外学者检索中英文文献。致力于提供最便捷和优质的服务体验。 Copyright © 2023 布克学术 All rights reserved.
京ICP备2023020795号-1
ghs 京公网安备 11010802042870号
Book学术文献互助
Book学术文献互助群
群 号:604180095
Book学术官方微信