l -赖氨酸衍生固定相的开发,用于复杂样品的RP和HILIC分离- lc的两个维度的概念验证。

IF 3.8 2区 化学 Q1 BIOCHEMICAL RESEARCH METHODS
Yassine Oulad El Majdoub, Abul K. Mallik, Lidia Montero, Jonas Rösler, Florian Stappert, Jaqueline Leddin, Sven W. Meckelmann, Oliver J. Schmitz
{"title":"l -赖氨酸衍生固定相的开发,用于复杂样品的RP和HILIC分离- lc的两个维度的概念验证。","authors":"Yassine Oulad El Majdoub,&nbsp;Abul K. Mallik,&nbsp;Lidia Montero,&nbsp;Jonas Rösler,&nbsp;Florian Stappert,&nbsp;Jaqueline Leddin,&nbsp;Sven W. Meckelmann,&nbsp;Oliver J. Schmitz","doi":"10.1007/s00216-025-06060-2","DOIUrl":null,"url":null,"abstract":"<div><p>An L-lysine-derived stationary phase comprising a 2C18 alkyl chain with embedded polar groups, including two urea and one amide functionalities (Sil-Lys-2C18), was synthesized for the application in 1D- and 2D-LC for the first time. The same stationary phase was packed into 150 × 2.1 mm and 30 × 3 mm for the first and second dimensions, respectively, and named the short column Sil-Lys-2C18-S. The material was characterized with total reflectance Fourier transform infrared spectroscopy (ATR-FTIR), elemental analysis, thermogravimetric analysis (TGA), scanning electron microscopy (SEM), and solid-state 13C cross-polarization magic angle spinning (CP/MAS) NMR spectroscopy. Initially, the chromatographic performance was evaluated under reversed-phase liquid chromatography (RPLC) conditions by the Tanaka and Neue test probes. Moreover, the Tanaka test protocol for hydrophilic interaction chromatography (HILIC) was used to observe the performance of the separation of polar analytes. Based on the chromatographic performance evaluation, the 150 × 2.1 mm column was employed to analyze the extracts of chili peppers (<i>Capsicum</i> spp.) containing capsaicinoids, vitamin E, and vitamin C. Outstanding separation of β-, ɣ-, and α-tocopherol isomers was achieved, alongside the separation of terphenyl and triphenylene isomers based on shape selectivity. Moreover, ascorbic acid was also separated on the same column. Therefore, the material was reapplied in both dimensions of comprehensive two-dimensional liquid chromatography (LC×LC) approach, achieving successful orthogonal separation of bioactive compounds in the complex liquor sample compared with commercial columns.</p><h3>Graphical Abstract</h3>\n<div><figure><div><div><picture><source><img></source></picture></div></div></figure></div></div>","PeriodicalId":462,"journal":{"name":"Analytical and Bioanalytical Chemistry","volume":"417 24","pages":"5463 - 5476"},"PeriodicalIF":3.8000,"publicationDate":"2025-08-23","publicationTypes":"Journal Article","fieldsOfStudy":null,"isOpenAccess":false,"openAccessPdf":"","citationCount":"0","resultStr":"{\"title\":\"Development of an L-lysine-derived stationary phase for both RP and HILIC separations of complex samples—proof-of-concept in both dimensions of LCxLC\",\"authors\":\"Yassine Oulad El Majdoub,&nbsp;Abul K. Mallik,&nbsp;Lidia Montero,&nbsp;Jonas Rösler,&nbsp;Florian Stappert,&nbsp;Jaqueline Leddin,&nbsp;Sven W. Meckelmann,&nbsp;Oliver J. Schmitz\",\"doi\":\"10.1007/s00216-025-06060-2\",\"DOIUrl\":null,\"url\":null,\"abstract\":\"<div><p>An L-lysine-derived stationary phase comprising a 2C18 alkyl chain with embedded polar groups, including two urea and one amide functionalities (Sil-Lys-2C18), was synthesized for the application in 1D- and 2D-LC for the first time. The same stationary phase was packed into 150 × 2.1 mm and 30 × 3 mm for the first and second dimensions, respectively, and named the short column Sil-Lys-2C18-S. The material was characterized with total reflectance Fourier transform infrared spectroscopy (ATR-FTIR), elemental analysis, thermogravimetric analysis (TGA), scanning electron microscopy (SEM), and solid-state 13C cross-polarization magic angle spinning (CP/MAS) NMR spectroscopy. Initially, the chromatographic performance was evaluated under reversed-phase liquid chromatography (RPLC) conditions by the Tanaka and Neue test probes. Moreover, the Tanaka test protocol for hydrophilic interaction chromatography (HILIC) was used to observe the performance of the separation of polar analytes. Based on the chromatographic performance evaluation, the 150 × 2.1 mm column was employed to analyze the extracts of chili peppers (<i>Capsicum</i> spp.) containing capsaicinoids, vitamin E, and vitamin C. Outstanding separation of β-, ɣ-, and α-tocopherol isomers was achieved, alongside the separation of terphenyl and triphenylene isomers based on shape selectivity. Moreover, ascorbic acid was also separated on the same column. Therefore, the material was reapplied in both dimensions of comprehensive two-dimensional liquid chromatography (LC×LC) approach, achieving successful orthogonal separation of bioactive compounds in the complex liquor sample compared with commercial columns.</p><h3>Graphical Abstract</h3>\\n<div><figure><div><div><picture><source><img></source></picture></div></div></figure></div></div>\",\"PeriodicalId\":462,\"journal\":{\"name\":\"Analytical and Bioanalytical Chemistry\",\"volume\":\"417 24\",\"pages\":\"5463 - 5476\"},\"PeriodicalIF\":3.8000,\"publicationDate\":\"2025-08-23\",\"publicationTypes\":\"Journal Article\",\"fieldsOfStudy\":null,\"isOpenAccess\":false,\"openAccessPdf\":\"\",\"citationCount\":\"0\",\"resultStr\":null,\"platform\":\"Semanticscholar\",\"paperid\":null,\"PeriodicalName\":\"Analytical and Bioanalytical Chemistry\",\"FirstCategoryId\":\"92\",\"ListUrlMain\":\"https://link.springer.com/article/10.1007/s00216-025-06060-2\",\"RegionNum\":2,\"RegionCategory\":\"化学\",\"ArticlePicture\":[],\"TitleCN\":null,\"AbstractTextCN\":null,\"PMCID\":null,\"EPubDate\":\"\",\"PubModel\":\"\",\"JCR\":\"Q1\",\"JCRName\":\"BIOCHEMICAL RESEARCH METHODS\",\"Score\":null,\"Total\":0}","platform":"Semanticscholar","paperid":null,"PeriodicalName":"Analytical and Bioanalytical Chemistry","FirstCategoryId":"92","ListUrlMain":"https://link.springer.com/article/10.1007/s00216-025-06060-2","RegionNum":2,"RegionCategory":"化学","ArticlePicture":[],"TitleCN":null,"AbstractTextCN":null,"PMCID":null,"EPubDate":"","PubModel":"","JCR":"Q1","JCRName":"BIOCHEMICAL RESEARCH METHODS","Score":null,"Total":0}
引用次数: 0

摘要

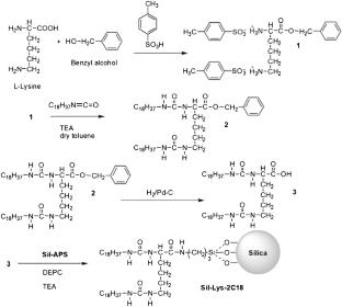
首次合成了l-赖氨酸衍生的固定相,该固定相由一个含有两个脲和一个酰胺官能团的2C18烷基链组成(sil -lysi -2C18),并应用于1D-和2D-LC。同一固定相的第1和第2尺寸分别为150 × 2.1 mm和30 × 3 mm,命名为Sil-Lys-2C18-S短柱。采用全反射傅里叶变换红外光谱(ATR-FTIR)、元素分析、热重分析(TGA)、扫描电镜(SEM)和固态13C交叉极化魔角旋转(CP/MAS)核磁共振波谱对材料进行了表征。首先,在反相液相色谱(RPLC)条件下,使用Tanaka和Neue测试探针评估色谱性能。此外,采用Tanaka测试方案亲水性相互作用色谱(HILIC)来观察极性分析物的分离性能。在色谱性能评价的基础上,采用150 × 2.1 mm色谱柱对含有辣椒素、维生素E和维生素c的辣椒提取物进行分析,获得了β-、α-和α-生育酚异构体的分离效果,并基于形状选择性分离了terphenyl和triphenylene异构体。此外,抗坏血酸也在同一柱上分离。因此,将该材料重新应用于两个维度的综合二维液相色谱(LC×LC)方法,与商业柱相比,成功地实现了复杂白酒样品中生物活性化合物的正交分离。
本文章由计算机程序翻译,如有差异,请以英文原文为准。

Development of an L-lysine-derived stationary phase for both RP and HILIC separations of complex samples—proof-of-concept in both dimensions of LCxLC

Development of an L-lysine-derived stationary phase for both RP and HILIC separations of complex samples—proof-of-concept in both dimensions of LCxLC

An L-lysine-derived stationary phase comprising a 2C18 alkyl chain with embedded polar groups, including two urea and one amide functionalities (Sil-Lys-2C18), was synthesized for the application in 1D- and 2D-LC for the first time. The same stationary phase was packed into 150 × 2.1 mm and 30 × 3 mm for the first and second dimensions, respectively, and named the short column Sil-Lys-2C18-S. The material was characterized with total reflectance Fourier transform infrared spectroscopy (ATR-FTIR), elemental analysis, thermogravimetric analysis (TGA), scanning electron microscopy (SEM), and solid-state 13C cross-polarization magic angle spinning (CP/MAS) NMR spectroscopy. Initially, the chromatographic performance was evaluated under reversed-phase liquid chromatography (RPLC) conditions by the Tanaka and Neue test probes. Moreover, the Tanaka test protocol for hydrophilic interaction chromatography (HILIC) was used to observe the performance of the separation of polar analytes. Based on the chromatographic performance evaluation, the 150 × 2.1 mm column was employed to analyze the extracts of chili peppers (Capsicum spp.) containing capsaicinoids, vitamin E, and vitamin C. Outstanding separation of β-, ɣ-, and α-tocopherol isomers was achieved, alongside the separation of terphenyl and triphenylene isomers based on shape selectivity. Moreover, ascorbic acid was also separated on the same column. Therefore, the material was reapplied in both dimensions of comprehensive two-dimensional liquid chromatography (LC×LC) approach, achieving successful orthogonal separation of bioactive compounds in the complex liquor sample compared with commercial columns.

Graphical Abstract

求助全文
通过发布文献求助,成功后即可免费获取论文全文。 去求助
来源期刊
CiteScore
8.00
自引率
4.70%
发文量
638
审稿时长
2.1 months
期刊介绍: Analytical and Bioanalytical Chemistry’s mission is the rapid publication of excellent and high-impact research articles on fundamental and applied topics of analytical and bioanalytical measurement science. Its scope is broad, and ranges from novel measurement platforms and their characterization to multidisciplinary approaches that effectively address important scientific problems. The Editors encourage submissions presenting innovative analytical research in concept, instrumentation, methods, and/or applications, including: mass spectrometry, spectroscopy, and electroanalysis; advanced separations; analytical strategies in “-omics” and imaging, bioanalysis, and sampling; miniaturized devices, medical diagnostics, sensors; analytical characterization of nano- and biomaterials; chemometrics and advanced data analysis.
×
引用
GB/T 7714-2015
复制
MLA
复制
APA
复制
导出至
BibTeX EndNote RefMan NoteFirst NoteExpress
×
提示
您的信息不完整,为了账户安全,请先补充。
现在去补充
×
提示
您因"违规操作"
具体请查看互助需知
我知道了
×
提示
确定
请完成安全验证×
copy
已复制链接
快去分享给好友吧!
我知道了
右上角分享
点击右上角分享
0
联系我们:info@booksci.cn Book学术提供免费学术资源搜索服务,方便国内外学者检索中英文文献。致力于提供最便捷和优质的服务体验。 Copyright © 2023 布克学术 All rights reserved.
京ICP备2023020795号-1
ghs 京公网安备 11010802042870号
Book学术文献互助
Book学术文献互助群
群 号:604180095
Book学术官方微信