大环毛藻烯的研究进展:结构、生物合成途径和生物活性

IF 2.6 3区 生物学 Q3 MICROBIOLOGY
Peiwen Yan, Hui Zhang, Li Li
{"title":"大环毛藻烯的研究进展:结构、生物合成途径和生物活性","authors":"Peiwen Yan,&nbsp;Hui Zhang,&nbsp;Li Li","doi":"10.1007/s00203-025-04454-5","DOIUrl":null,"url":null,"abstract":"<div>\n \n <p>Macrocyclic trichothecenes are a distinctive class of secondary metabolites produced by Ascomycota characterized by complex macrocyclic scaffolds and diverse biological activities, including antibacterial, antitumor, and immunomodulatory effects. This review provides a comprehensive summary of their classification, biosynthetic pathways, and bioactivities, with a particular focus on research advances from 2015 to 2025. During this period, 30 new macrocyclic trichothecene derivatives have been identified from fungal genera such as <i>Myrothecium</i>, <i>Podostroma</i>, <i>Stachybotrys</i>, <i>Fusarium</i>, and <i>Paramyrothecium</i>. Their biosynthesis is primarily governed by polyketide synthase (PKS) and terpene synthase systems, with key genes such as <i>TRI5</i> and <i>TRI4</i> playing central roles. Structural features—including epoxy moieties and side-chain modifications—have been shown to significantly influence their biological activities. In this review, we emphasize newly discovered compounds and recent insights into their biosynthetic mechanisms as well as the anticancer capabilities of different compounds, aiming to provide a valuable reference for future research on the development, optimization, and application of macrocyclic trichothecene derivatives in medical and agricultural contexts.</p>\n </div>","PeriodicalId":8279,"journal":{"name":"Archives of Microbiology","volume":"207 10","pages":""},"PeriodicalIF":2.6000,"publicationDate":"2025-09-04","publicationTypes":"Journal Article","fieldsOfStudy":null,"isOpenAccess":false,"openAccessPdf":"","citationCount":"0","resultStr":"{\"title\":\"Recent progress in macrocyclic trichothecene research: structures, biosynthetic pathways, and biological activities\",\"authors\":\"Peiwen Yan,&nbsp;Hui Zhang,&nbsp;Li Li\",\"doi\":\"10.1007/s00203-025-04454-5\",\"DOIUrl\":null,\"url\":null,\"abstract\":\"<div>\\n \\n <p>Macrocyclic trichothecenes are a distinctive class of secondary metabolites produced by Ascomycota characterized by complex macrocyclic scaffolds and diverse biological activities, including antibacterial, antitumor, and immunomodulatory effects. This review provides a comprehensive summary of their classification, biosynthetic pathways, and bioactivities, with a particular focus on research advances from 2015 to 2025. During this period, 30 new macrocyclic trichothecene derivatives have been identified from fungal genera such as <i>Myrothecium</i>, <i>Podostroma</i>, <i>Stachybotrys</i>, <i>Fusarium</i>, and <i>Paramyrothecium</i>. Their biosynthesis is primarily governed by polyketide synthase (PKS) and terpene synthase systems, with key genes such as <i>TRI5</i> and <i>TRI4</i> playing central roles. Structural features—including epoxy moieties and side-chain modifications—have been shown to significantly influence their biological activities. In this review, we emphasize newly discovered compounds and recent insights into their biosynthetic mechanisms as well as the anticancer capabilities of different compounds, aiming to provide a valuable reference for future research on the development, optimization, and application of macrocyclic trichothecene derivatives in medical and agricultural contexts.</p>\\n </div>\",\"PeriodicalId\":8279,\"journal\":{\"name\":\"Archives of Microbiology\",\"volume\":\"207 10\",\"pages\":\"\"},\"PeriodicalIF\":2.6000,\"publicationDate\":\"2025-09-04\",\"publicationTypes\":\"Journal Article\",\"fieldsOfStudy\":null,\"isOpenAccess\":false,\"openAccessPdf\":\"\",\"citationCount\":\"0\",\"resultStr\":null,\"platform\":\"Semanticscholar\",\"paperid\":null,\"PeriodicalName\":\"Archives of Microbiology\",\"FirstCategoryId\":\"99\",\"ListUrlMain\":\"https://link.springer.com/article/10.1007/s00203-025-04454-5\",\"RegionNum\":3,\"RegionCategory\":\"生物学\",\"ArticlePicture\":[],\"TitleCN\":null,\"AbstractTextCN\":null,\"PMCID\":null,\"EPubDate\":\"\",\"PubModel\":\"\",\"JCR\":\"Q3\",\"JCRName\":\"MICROBIOLOGY\",\"Score\":null,\"Total\":0}","platform":"Semanticscholar","paperid":null,"PeriodicalName":"Archives of Microbiology","FirstCategoryId":"99","ListUrlMain":"https://link.springer.com/article/10.1007/s00203-025-04454-5","RegionNum":3,"RegionCategory":"生物学","ArticlePicture":[],"TitleCN":null,"AbstractTextCN":null,"PMCID":null,"EPubDate":"","PubModel":"","JCR":"Q3","JCRName":"MICROBIOLOGY","Score":null,"Total":0}
引用次数: 0

摘要

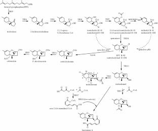
大环毛霉烯是子囊菌产生的一类独特的次生代谢物,具有复杂的大环支架和多种生物活性,包括抗菌、抗肿瘤和免疫调节作用。本文综述了它们的分类、生物合成途径和生物活性,重点介绍了2015 - 2025年的研究进展。在此期间,从真菌属如Myrothecium, Podostroma, Stachybotrys, Fusarium和paryrothecium中鉴定了30个新的大环毛霉衍生物。它们的生物合成主要由聚酮合成酶(PKS)和萜烯合成酶系统控制,关键基因如TRI5和TRI4起核心作用。结构特征-包括环氧基团和侧链修饰-已被证明对其生物活性有显著影响。本文综述了新发现的化合物及其生物合成机制的最新研究进展,并对不同化合物的抗癌作用进行了综述,旨在为今后大环菌藻烯衍生物的开发、优化和在医学和农业领域的应用研究提供有价值的参考。
本文章由计算机程序翻译,如有差异,请以英文原文为准。

Recent progress in macrocyclic trichothecene research: structures, biosynthetic pathways, and biological activities

Recent progress in macrocyclic trichothecene research: structures, biosynthetic pathways, and biological activities

Recent progress in macrocyclic trichothecene research: structures, biosynthetic pathways, and biological activities

Macrocyclic trichothecenes are a distinctive class of secondary metabolites produced by Ascomycota characterized by complex macrocyclic scaffolds and diverse biological activities, including antibacterial, antitumor, and immunomodulatory effects. This review provides a comprehensive summary of their classification, biosynthetic pathways, and bioactivities, with a particular focus on research advances from 2015 to 2025. During this period, 30 new macrocyclic trichothecene derivatives have been identified from fungal genera such as Myrothecium, Podostroma, Stachybotrys, Fusarium, and Paramyrothecium. Their biosynthesis is primarily governed by polyketide synthase (PKS) and terpene synthase systems, with key genes such as TRI5 and TRI4 playing central roles. Structural features—including epoxy moieties and side-chain modifications—have been shown to significantly influence their biological activities. In this review, we emphasize newly discovered compounds and recent insights into their biosynthetic mechanisms as well as the anticancer capabilities of different compounds, aiming to provide a valuable reference for future research on the development, optimization, and application of macrocyclic trichothecene derivatives in medical and agricultural contexts.

求助全文
通过发布文献求助,成功后即可免费获取论文全文。 去求助
来源期刊
Archives of Microbiology
Archives of Microbiology 生物-微生物学
CiteScore
4.90
自引率
3.60%
发文量
601
审稿时长
3 months
期刊介绍: Research papers must make a significant and original contribution to microbiology and be of interest to a broad readership. The results of any experimental approach that meets these objectives are welcome, particularly biochemical, molecular genetic, physiological, and/or physical investigations into microbial cells and their interactions with their environments, including their eukaryotic hosts. Mini-reviews in areas of special topical interest and papers on medical microbiology, ecology and systematics, including description of novel taxa, are also published. Theoretical papers and those that report on the analysis or ''mining'' of data are acceptable in principle if new information, interpretations, or hypotheses emerge.
×
引用
GB/T 7714-2015
复制
MLA
复制
APA
复制
导出至
BibTeX EndNote RefMan NoteFirst NoteExpress
×
提示
您的信息不完整,为了账户安全,请先补充。
现在去补充
×
提示
您因"违规操作"
具体请查看互助需知
我知道了
×
提示
确定
请完成安全验证×
copy
已复制链接
快去分享给好友吧!
我知道了
右上角分享
点击右上角分享
0
联系我们:info@booksci.cn Book学术提供免费学术资源搜索服务,方便国内外学者检索中英文文献。致力于提供最便捷和优质的服务体验。 Copyright © 2023 布克学术 All rights reserved.
京ICP备2023020795号-1
ghs 京公网安备 11010802042870号
Book学术文献互助
Book学术文献互助群
群 号:604180095
Book学术官方微信