乙二胺四亚甲基膦酸铵的制备及耐久阻燃棉的表征

IF 2.8 4区 材料科学 Q2 CHEMISTRY, APPLIED
Dae-Hyok Mun, Yu-Cheng Ri, Ji-Gwon Cha, Yong-Man Jang, Chung-Guk Choe, Chol-Jun Yu
{"title":"乙二胺四亚甲基膦酸铵的制备及耐久阻燃棉的表征","authors":"Dae-Hyok Mun,&nbsp;Yu-Cheng Ri,&nbsp;Ji-Gwon Cha,&nbsp;Yong-Man Jang,&nbsp;Chung-Guk Choe,&nbsp;Chol-Jun Yu","doi":"10.1007/s11998-025-01088-6","DOIUrl":null,"url":null,"abstract":"<p>Flame-retardant cotton is of great importance in clothing, household goods and various industrial products. In this work, we report a synthesis of phosphorus-rich ammonium ethylenediamine tetramethylenephosphonate (AEDTMP) and its application to flame-retardant cotton fabrics. We synthesize AEDTMP in three step reactions using ethylenediamine, formaldehyde, phosphorous acid and ammonia and characterized through Fourier transform infrared (FTIR), nuclear magnetic resonance, and ultra-performance liquid chromatography-mass spectrometry analyses. The flame-retardant finishing of cotton is done by immerse-pressing fabrics in 5% AEDTMP and 5% trimethylol melamine (TMM) binder solution with increasing treating times to realize multilayer coating on the fabrics. Vertical flame tests show an enhancement of flame retardancy and durability of the treated cotton samples as increasing the treating times. Through FTIR, thermogravimetric, cone calorimetry, scanning electron microscopy image and energy-dispersive X-ray analyses, we reveal that the P–O–C and C–O–C bonds are newly formed by reactions between the fiber, AEDTMP flame retardant and TMM binder, and the multilayer coating enhances such binding reactions. We further performed  the tests of mechanical properties, verifying that the 5-times treated sample has less effect on the comfort and air permeability of the cotton fabrics than the single-treated sample. Our work highlights that the multilayer coating with lower density AEDTMP is superior in flame retardancy, durability and mechanical properties of treated cotton.</p>","PeriodicalId":619,"journal":{"name":"Journal of Coatings Technology and Research","volume":"22 5","pages":"1895 - 1910"},"PeriodicalIF":2.8000,"publicationDate":"2025-05-12","publicationTypes":"Journal Article","fieldsOfStudy":null,"isOpenAccess":false,"openAccessPdf":"","citationCount":"0","resultStr":"{\"title\":\"Preparation of ammonium ethylenediamine tetramethylenephosphonate and characterization of durable flame-retardant cotton\",\"authors\":\"Dae-Hyok Mun,&nbsp;Yu-Cheng Ri,&nbsp;Ji-Gwon Cha,&nbsp;Yong-Man Jang,&nbsp;Chung-Guk Choe,&nbsp;Chol-Jun Yu\",\"doi\":\"10.1007/s11998-025-01088-6\",\"DOIUrl\":null,\"url\":null,\"abstract\":\"<p>Flame-retardant cotton is of great importance in clothing, household goods and various industrial products. In this work, we report a synthesis of phosphorus-rich ammonium ethylenediamine tetramethylenephosphonate (AEDTMP) and its application to flame-retardant cotton fabrics. We synthesize AEDTMP in three step reactions using ethylenediamine, formaldehyde, phosphorous acid and ammonia and characterized through Fourier transform infrared (FTIR), nuclear magnetic resonance, and ultra-performance liquid chromatography-mass spectrometry analyses. The flame-retardant finishing of cotton is done by immerse-pressing fabrics in 5% AEDTMP and 5% trimethylol melamine (TMM) binder solution with increasing treating times to realize multilayer coating on the fabrics. Vertical flame tests show an enhancement of flame retardancy and durability of the treated cotton samples as increasing the treating times. Through FTIR, thermogravimetric, cone calorimetry, scanning electron microscopy image and energy-dispersive X-ray analyses, we reveal that the P–O–C and C–O–C bonds are newly formed by reactions between the fiber, AEDTMP flame retardant and TMM binder, and the multilayer coating enhances such binding reactions. We further performed  the tests of mechanical properties, verifying that the 5-times treated sample has less effect on the comfort and air permeability of the cotton fabrics than the single-treated sample. Our work highlights that the multilayer coating with lower density AEDTMP is superior in flame retardancy, durability and mechanical properties of treated cotton.</p>\",\"PeriodicalId\":619,\"journal\":{\"name\":\"Journal of Coatings Technology and Research\",\"volume\":\"22 5\",\"pages\":\"1895 - 1910\"},\"PeriodicalIF\":2.8000,\"publicationDate\":\"2025-05-12\",\"publicationTypes\":\"Journal Article\",\"fieldsOfStudy\":null,\"isOpenAccess\":false,\"openAccessPdf\":\"\",\"citationCount\":\"0\",\"resultStr\":null,\"platform\":\"Semanticscholar\",\"paperid\":null,\"PeriodicalName\":\"Journal of Coatings Technology and Research\",\"FirstCategoryId\":\"88\",\"ListUrlMain\":\"https://link.springer.com/article/10.1007/s11998-025-01088-6\",\"RegionNum\":4,\"RegionCategory\":\"材料科学\",\"ArticlePicture\":[],\"TitleCN\":null,\"AbstractTextCN\":null,\"PMCID\":null,\"EPubDate\":\"\",\"PubModel\":\"\",\"JCR\":\"Q2\",\"JCRName\":\"CHEMISTRY, APPLIED\",\"Score\":null,\"Total\":0}","platform":"Semanticscholar","paperid":null,"PeriodicalName":"Journal of Coatings Technology and Research","FirstCategoryId":"88","ListUrlMain":"https://link.springer.com/article/10.1007/s11998-025-01088-6","RegionNum":4,"RegionCategory":"材料科学","ArticlePicture":[],"TitleCN":null,"AbstractTextCN":null,"PMCID":null,"EPubDate":"","PubModel":"","JCR":"Q2","JCRName":"CHEMISTRY, APPLIED","Score":null,"Total":0}
引用次数: 0

摘要

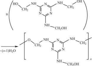
阻燃棉在服装、家居用品和各种工业产品中有着重要的作用。本文报道了富磷乙二胺四亚甲基膦酸铵(AEDTMP)的合成及其在阻燃棉织物上的应用。我们以乙二胺、甲醛、磷酸和氨为原料,通过三步反应合成了AEDTMP,并通过傅里叶变换红外(FTIR)、核磁共振和超高效液相色谱-质谱分析对其进行了表征。采用5% AEDTMP和5%三甲基三聚氰胺(TMM)结合剂溶液浸渍法对织物进行阻燃整理,增加处理次数,实现织物的多层涂层。垂直火焰试验表明,随着处理时间的增加,处理后的棉花样品的阻燃性和耐久性增强。通过FTIR、热重、锥量热、扫描电镜图像和能量色散x射线分析,我们发现纤维与AEDTMP阻燃剂和TMM粘结剂之间的反应形成了新的P-O-C和C-O-C键,多层涂层增强了这种结合反应。我们进一步进行了力学性能测试,验证了5次处理的样品对棉织物的舒适性和透气性的影响小于一次处理的样品。研究结果表明,低密度AEDTMP多层涂层具有较好的阻燃性、耐久性和力学性能。
本文章由计算机程序翻译,如有差异,请以英文原文为准。

Preparation of ammonium ethylenediamine tetramethylenephosphonate and characterization of durable flame-retardant cotton

Preparation of ammonium ethylenediamine tetramethylenephosphonate and characterization of durable flame-retardant cotton

Preparation of ammonium ethylenediamine tetramethylenephosphonate and characterization of durable flame-retardant cotton

Flame-retardant cotton is of great importance in clothing, household goods and various industrial products. In this work, we report a synthesis of phosphorus-rich ammonium ethylenediamine tetramethylenephosphonate (AEDTMP) and its application to flame-retardant cotton fabrics. We synthesize AEDTMP in three step reactions using ethylenediamine, formaldehyde, phosphorous acid and ammonia and characterized through Fourier transform infrared (FTIR), nuclear magnetic resonance, and ultra-performance liquid chromatography-mass spectrometry analyses. The flame-retardant finishing of cotton is done by immerse-pressing fabrics in 5% AEDTMP and 5% trimethylol melamine (TMM) binder solution with increasing treating times to realize multilayer coating on the fabrics. Vertical flame tests show an enhancement of flame retardancy and durability of the treated cotton samples as increasing the treating times. Through FTIR, thermogravimetric, cone calorimetry, scanning electron microscopy image and energy-dispersive X-ray analyses, we reveal that the P–O–C and C–O–C bonds are newly formed by reactions between the fiber, AEDTMP flame retardant and TMM binder, and the multilayer coating enhances such binding reactions. We further performed  the tests of mechanical properties, verifying that the 5-times treated sample has less effect on the comfort and air permeability of the cotton fabrics than the single-treated sample. Our work highlights that the multilayer coating with lower density AEDTMP is superior in flame retardancy, durability and mechanical properties of treated cotton.

求助全文
通过发布文献求助,成功后即可免费获取论文全文。 去求助
来源期刊
Journal of Coatings Technology and Research
Journal of Coatings Technology and Research 工程技术-材料科学:膜
CiteScore
4.30
自引率
8.70%
发文量
130
审稿时长
2.5 months
期刊介绍: Journal of Coatings Technology and Research (JCTR) is a forum for the exchange of research, experience, knowledge and ideas among those with a professional interest in the science, technology and manufacture of functional, protective and decorative coatings including paints, inks and related coatings and their raw materials, and similar topics.
×
引用
GB/T 7714-2015
复制
MLA
复制
APA
复制
导出至
BibTeX EndNote RefMan NoteFirst NoteExpress
×
提示
您的信息不完整,为了账户安全,请先补充。
现在去补充
×
提示
您因"违规操作"
具体请查看互助需知
我知道了
×
提示
确定
请完成安全验证×
copy
已复制链接
快去分享给好友吧!
我知道了
右上角分享
点击右上角分享
0
联系我们:info@booksci.cn Book学术提供免费学术资源搜索服务,方便国内外学者检索中英文文献。致力于提供最便捷和优质的服务体验。 Copyright © 2023 布克学术 All rights reserved.
京ICP备2023020795号-1
ghs 京公网安备 11010802042870号
Book学术文献互助
Book学术文献互助群
群 号:604180095
Book学术官方微信