化学成分和球状组织参数对VT6钛合金棒材力学性能的影响

IF 0.3 Q4 METALLURGY & METALLURGICAL ENGINEERING
Yu. B. Egorova, L. V. Davydenko
{"title":"化学成分和球状组织参数对VT6钛合金棒材力学性能的影响","authors":"Yu. B. Egorova,&nbsp;L. V. Davydenko","doi":"10.1134/S003602952570082X","DOIUrl":null,"url":null,"abstract":"<p><b>Abstract</b>—The influence of the globular structure parameters and the chemical composition (based on aluminum and molybdenum equivalents) on the mechanical properties of rolled VT6 titanium alloy bars (16–90 mm in diameter) after annealing treatment under various conditions is studied. The most significant microstructural factors contributing to different strength levels are revealed by statistical analysis. A ultimate tensile strength prediction model is developed on the basis of α-phase particle size and alloying-element and impurity equivalents (aluminum and molybdenum equivalents). The values of these equivalents and globular structure parameters are determined to meet industry standard requirements.</p>","PeriodicalId":769,"journal":{"name":"Russian Metallurgy (Metally)","volume":"2025 1","pages":"67 - 72"},"PeriodicalIF":0.3000,"publicationDate":"2025-08-28","publicationTypes":"Journal Article","fieldsOfStudy":null,"isOpenAccess":false,"openAccessPdf":"","citationCount":"0","resultStr":"{\"title\":\"Effect of Chemical Composition and Globular Structure Parameters on the Mechanical Properties of VT6 Titanium Alloy Bars\",\"authors\":\"Yu. B. Egorova,&nbsp;L. V. Davydenko\",\"doi\":\"10.1134/S003602952570082X\",\"DOIUrl\":null,\"url\":null,\"abstract\":\"<p><b>Abstract</b>—The influence of the globular structure parameters and the chemical composition (based on aluminum and molybdenum equivalents) on the mechanical properties of rolled VT6 titanium alloy bars (16–90 mm in diameter) after annealing treatment under various conditions is studied. The most significant microstructural factors contributing to different strength levels are revealed by statistical analysis. A ultimate tensile strength prediction model is developed on the basis of α-phase particle size and alloying-element and impurity equivalents (aluminum and molybdenum equivalents). The values of these equivalents and globular structure parameters are determined to meet industry standard requirements.</p>\",\"PeriodicalId\":769,\"journal\":{\"name\":\"Russian Metallurgy (Metally)\",\"volume\":\"2025 1\",\"pages\":\"67 - 72\"},\"PeriodicalIF\":0.3000,\"publicationDate\":\"2025-08-28\",\"publicationTypes\":\"Journal Article\",\"fieldsOfStudy\":null,\"isOpenAccess\":false,\"openAccessPdf\":\"\",\"citationCount\":\"0\",\"resultStr\":null,\"platform\":\"Semanticscholar\",\"paperid\":null,\"PeriodicalName\":\"Russian Metallurgy (Metally)\",\"FirstCategoryId\":\"5\",\"ListUrlMain\":\"https://link.springer.com/article/10.1134/S003602952570082X\",\"RegionNum\":0,\"RegionCategory\":null,\"ArticlePicture\":[],\"TitleCN\":null,\"AbstractTextCN\":null,\"PMCID\":null,\"EPubDate\":\"\",\"PubModel\":\"\",\"JCR\":\"Q4\",\"JCRName\":\"METALLURGY & METALLURGICAL ENGINEERING\",\"Score\":null,\"Total\":0}","platform":"Semanticscholar","paperid":null,"PeriodicalName":"Russian Metallurgy (Metally)","FirstCategoryId":"5","ListUrlMain":"https://link.springer.com/article/10.1134/S003602952570082X","RegionNum":0,"RegionCategory":null,"ArticlePicture":[],"TitleCN":null,"AbstractTextCN":null,"PMCID":null,"EPubDate":"","PubModel":"","JCR":"Q4","JCRName":"METALLURGY & METALLURGICAL ENGINEERING","Score":null,"Total":0}
引用次数: 0

摘要

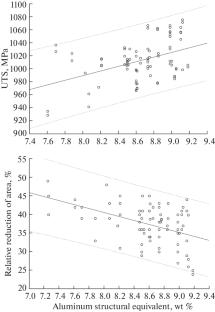
摘要:研究了不同退火条件下轧制的VT6钛合金棒材(直径16 ~ 90mm)的球状组织参数和化学成分(以铝和钼当量为基础)对其力学性能的影响。通过统计分析揭示了影响不同强度水平的最显著的微观结构因素。建立了基于α相粒度、合金元素和杂质当量(铝和钼当量)的极限拉伸强度预测模型。这些当量的值和球体结构参数的确定符合行业标准要求。
本文章由计算机程序翻译,如有差异,请以英文原文为准。

Effect of Chemical Composition and Globular Structure Parameters on the Mechanical Properties of VT6 Titanium Alloy Bars

Effect of Chemical Composition and Globular Structure Parameters on the Mechanical Properties of VT6 Titanium Alloy Bars

Effect of Chemical Composition and Globular Structure Parameters on the Mechanical Properties of VT6 Titanium Alloy Bars

Abstract—The influence of the globular structure parameters and the chemical composition (based on aluminum and molybdenum equivalents) on the mechanical properties of rolled VT6 titanium alloy bars (16–90 mm in diameter) after annealing treatment under various conditions is studied. The most significant microstructural factors contributing to different strength levels are revealed by statistical analysis. A ultimate tensile strength prediction model is developed on the basis of α-phase particle size and alloying-element and impurity equivalents (aluminum and molybdenum equivalents). The values of these equivalents and globular structure parameters are determined to meet industry standard requirements.

求助全文
通过发布文献求助,成功后即可免费获取论文全文。 去求助
来源期刊
Russian Metallurgy (Metally)
Russian Metallurgy (Metally) METALLURGY & METALLURGICAL ENGINEERING-
CiteScore
0.70
自引率
25.00%
发文量
140
期刊介绍: Russian Metallurgy (Metally)  publishes results of original experimental and theoretical research in the form of reviews and regular articles devoted to topical problems of metallurgy, physical metallurgy, and treatment of ferrous, nonferrous, rare, and other metals and alloys, intermetallic compounds, and metallic composite materials. The journal focuses on physicochemical properties of metallurgical materials (ores, slags, matters, and melts of metals and alloys); physicochemical processes (thermodynamics and kinetics of pyrometallurgical, hydrometallurgical, electrochemical, and other processes); theoretical metallurgy; metal forming; thermoplastic and thermochemical treatment; computation and experimental determination of phase diagrams and thermokinetic diagrams; mechanisms and kinetics of phase transitions in metallic materials; relations between the chemical composition, phase and structural states of materials and their physicochemical and service properties; interaction between metallic materials and external media; and effects of radiation on these materials.
×
引用
GB/T 7714-2015
复制
MLA
复制
APA
复制
导出至
BibTeX EndNote RefMan NoteFirst NoteExpress
×
提示
您的信息不完整,为了账户安全,请先补充。
现在去补充
×
提示
您因"违规操作"
具体请查看互助需知
我知道了
×
提示
确定
请完成安全验证×
copy
已复制链接
快去分享给好友吧!
我知道了
右上角分享
点击右上角分享
0
联系我们:info@booksci.cn Book学术提供免费学术资源搜索服务,方便国内外学者检索中英文文献。致力于提供最便捷和优质的服务体验。 Copyright © 2023 布克学术 All rights reserved.
京ICP备2023020795号-1
ghs 京公网安备 11010802042870号
Book学术文献互助
Book学术文献互助群
群 号:604180095
Book学术官方微信