蛋白质环境对I型和II型含视黄醛蛋白双光子吸收截面的影响

IF 0.5 Q4 CHEMISTRY, MULTIDISCIPLINARY
P. A. Kusochek, V. I. Nazarova, S. A. Kazantsev, V. R. Aslopovsky, A. V. Scherbinin, A. V. Bochenkova
{"title":"蛋白质环境对I型和II型含视黄醛蛋白双光子吸收截面的影响","authors":"P. A. Kusochek,&nbsp;V. I. Nazarova,&nbsp;S. A. Kazantsev,&nbsp;V. R. Aslopovsky,&nbsp;A. V. Scherbinin,&nbsp;A. V. Bochenkova","doi":"10.3103/S0027131425700208","DOIUrl":null,"url":null,"abstract":"<p>The prediction and optimization of properties of retinal-containing proteins under two-photon excitation conditions is an important issue for the practical application of channelrhodopsins in optogenetics. Nonlinear two-photon absorption can also lead to photoactivation of visual rhodopsins in the IR range within 950–1000 nm. The factors that influence the two-photon absorption cross section of type I and type II retinal-containing proteins during transition to the first singlet electronically excited state are analyzed in this study with high-level quantum chemistry methods. It is shown that two channels through permanent dipole moments of the initial and final states make the main contribution to the two-photon absorption cross section during the <i>S</i><sub>0</sub> → <i>S</i><sub>1</sub> transition in the case of rhodopsins. A fast numerical convergence of the sum-over-states formalism provides direct evidence for the applicability of the two-level model for calculating TPA cross-sections in rhodopsins. This is due to the high transition dipole moment and significant redistribution of electron density during the <i>S</i><sub>0</sub> → <i>S</i><sub>1</sub> transition. An unambiguous correlation between the calculated cross section values and the difference in average dipole moments of the initial and final states makes it possible to explain the strong dependence of the cross section on the protein environment of the chromophore group in various rhodopsins (340–610 GM). It also allows us to predict the influence of the protein electrostatic field on the nonlinear photophysical properties of retinal.</p>","PeriodicalId":709,"journal":{"name":"Moscow University Chemistry Bulletin","volume":"80 4","pages":"205 - 213"},"PeriodicalIF":0.5000,"publicationDate":"2025-08-26","publicationTypes":"Journal Article","fieldsOfStudy":null,"isOpenAccess":false,"openAccessPdf":"","citationCount":"0","resultStr":"{\"title\":\"Impact of the Protein Environment on Two-Photon Absorption Cross-Sections of Type I and Type II Retinal-Containing Proteins\",\"authors\":\"P. A. Kusochek,&nbsp;V. I. Nazarova,&nbsp;S. A. Kazantsev,&nbsp;V. R. Aslopovsky,&nbsp;A. V. Scherbinin,&nbsp;A. V. Bochenkova\",\"doi\":\"10.3103/S0027131425700208\",\"DOIUrl\":null,\"url\":null,\"abstract\":\"<p>The prediction and optimization of properties of retinal-containing proteins under two-photon excitation conditions is an important issue for the practical application of channelrhodopsins in optogenetics. Nonlinear two-photon absorption can also lead to photoactivation of visual rhodopsins in the IR range within 950–1000 nm. The factors that influence the two-photon absorption cross section of type I and type II retinal-containing proteins during transition to the first singlet electronically excited state are analyzed in this study with high-level quantum chemistry methods. It is shown that two channels through permanent dipole moments of the initial and final states make the main contribution to the two-photon absorption cross section during the <i>S</i><sub>0</sub> → <i>S</i><sub>1</sub> transition in the case of rhodopsins. A fast numerical convergence of the sum-over-states formalism provides direct evidence for the applicability of the two-level model for calculating TPA cross-sections in rhodopsins. This is due to the high transition dipole moment and significant redistribution of electron density during the <i>S</i><sub>0</sub> → <i>S</i><sub>1</sub> transition. An unambiguous correlation between the calculated cross section values and the difference in average dipole moments of the initial and final states makes it possible to explain the strong dependence of the cross section on the protein environment of the chromophore group in various rhodopsins (340–610 GM). It also allows us to predict the influence of the protein electrostatic field on the nonlinear photophysical properties of retinal.</p>\",\"PeriodicalId\":709,\"journal\":{\"name\":\"Moscow University Chemistry Bulletin\",\"volume\":\"80 4\",\"pages\":\"205 - 213\"},\"PeriodicalIF\":0.5000,\"publicationDate\":\"2025-08-26\",\"publicationTypes\":\"Journal Article\",\"fieldsOfStudy\":null,\"isOpenAccess\":false,\"openAccessPdf\":\"\",\"citationCount\":\"0\",\"resultStr\":null,\"platform\":\"Semanticscholar\",\"paperid\":null,\"PeriodicalName\":\"Moscow University Chemistry Bulletin\",\"FirstCategoryId\":\"1085\",\"ListUrlMain\":\"https://link.springer.com/article/10.3103/S0027131425700208\",\"RegionNum\":0,\"RegionCategory\":null,\"ArticlePicture\":[],\"TitleCN\":null,\"AbstractTextCN\":null,\"PMCID\":null,\"EPubDate\":\"\",\"PubModel\":\"\",\"JCR\":\"Q4\",\"JCRName\":\"CHEMISTRY, MULTIDISCIPLINARY\",\"Score\":null,\"Total\":0}","platform":"Semanticscholar","paperid":null,"PeriodicalName":"Moscow University Chemistry Bulletin","FirstCategoryId":"1085","ListUrlMain":"https://link.springer.com/article/10.3103/S0027131425700208","RegionNum":0,"RegionCategory":null,"ArticlePicture":[],"TitleCN":null,"AbstractTextCN":null,"PMCID":null,"EPubDate":"","PubModel":"","JCR":"Q4","JCRName":"CHEMISTRY, MULTIDISCIPLINARY","Score":null,"Total":0}
引用次数: 0

摘要

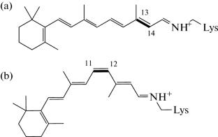
双光子激发条件下含视黄醛蛋白性质的预测和优化是通道紫红质在光遗传学中实际应用的一个重要问题。非线性双光子吸收也可导致视紫红质在950-1000 nm红外范围内的光激活。本文采用高级量子化学方法分析了I型和II型含视黄醛蛋白在跃迁到第一单重态电子激发态时双光子吸收截面的影响因素。结果表明,在紫红质的S0→S1跃迁过程中,通过初始态和末态的永久偶极矩的两个通道对双光子吸收截面做出了主要贡献。状态和形式的快速数值收敛性为计算视紫红质中TPA截面的两能级模型的适用性提供了直接证据。这是由于高跃迁偶极矩和在S0→S1跃迁期间电子密度的显著重新分布。计算的横截面值与初始态和最终态平均偶极矩的差异之间的明确相关性使得可以解释各种紫红质(340-610 GM)中发色团群的横截面对蛋白质环境的强烈依赖性。它还允许我们预测蛋白质静电场对视网膜非线性光物理性质的影响。
本文章由计算机程序翻译,如有差异,请以英文原文为准。

Impact of the Protein Environment on Two-Photon Absorption Cross-Sections of Type I and Type II Retinal-Containing Proteins

Impact of the Protein Environment on Two-Photon Absorption Cross-Sections of Type I and Type II Retinal-Containing Proteins

Impact of the Protein Environment on Two-Photon Absorption Cross-Sections of Type I and Type II Retinal-Containing Proteins

The prediction and optimization of properties of retinal-containing proteins under two-photon excitation conditions is an important issue for the practical application of channelrhodopsins in optogenetics. Nonlinear two-photon absorption can also lead to photoactivation of visual rhodopsins in the IR range within 950–1000 nm. The factors that influence the two-photon absorption cross section of type I and type II retinal-containing proteins during transition to the first singlet electronically excited state are analyzed in this study with high-level quantum chemistry methods. It is shown that two channels through permanent dipole moments of the initial and final states make the main contribution to the two-photon absorption cross section during the S0S1 transition in the case of rhodopsins. A fast numerical convergence of the sum-over-states formalism provides direct evidence for the applicability of the two-level model for calculating TPA cross-sections in rhodopsins. This is due to the high transition dipole moment and significant redistribution of electron density during the S0S1 transition. An unambiguous correlation between the calculated cross section values and the difference in average dipole moments of the initial and final states makes it possible to explain the strong dependence of the cross section on the protein environment of the chromophore group in various rhodopsins (340–610 GM). It also allows us to predict the influence of the protein electrostatic field on the nonlinear photophysical properties of retinal.

求助全文
通过发布文献求助,成功后即可免费获取论文全文。 去求助
来源期刊
Moscow University Chemistry Bulletin
Moscow University Chemistry Bulletin CHEMISTRY, MULTIDISCIPLINARY-
CiteScore
1.30
自引率
14.30%
发文量
38
期刊介绍: Moscow University Chemistry Bulletin is a journal that publishes review articles, original research articles, and short communications on various areas of basic and applied research in chemistry, including medical chemistry and pharmacology.
×
引用
GB/T 7714-2015
复制
MLA
复制
APA
复制
导出至
BibTeX EndNote RefMan NoteFirst NoteExpress
×
提示
您的信息不完整,为了账户安全,请先补充。
现在去补充
×
提示
您因"违规操作"
具体请查看互助需知
我知道了
×
提示
确定
请完成安全验证×
copy
已复制链接
快去分享给好友吧!
我知道了
右上角分享
点击右上角分享
0
联系我们:info@booksci.cn Book学术提供免费学术资源搜索服务,方便国内外学者检索中英文文献。致力于提供最便捷和优质的服务体验。 Copyright © 2023 布克学术 All rights reserved.
京ICP备2023020795号-1
ghs 京公网安备 11010802042870号
Book学术文献互助
Book学术文献互助群
群 号:604180095
Book学术官方微信