丹麦全异常肺静脉连接的长期生存和合并症的全国登记研究。

IF 3.9 2区 综合性期刊 Q1 MULTIDISCIPLINARY SCIENCES
Maj Beldring Henningsen, Cathrine Bohnstedt, Therese Risom Vestergaard, Morten Holdgaard Smerup, Pi Vejsig Madsen, Lone Graff Stensballe
{"title":"丹麦全异常肺静脉连接的长期生存和合并症的全国登记研究。","authors":"Maj Beldring Henningsen, Cathrine Bohnstedt, Therese Risom Vestergaard, Morten Holdgaard Smerup, Pi Vejsig Madsen, Lone Graff Stensballe","doi":"10.1038/s41598-025-15769-0","DOIUrl":null,"url":null,"abstract":"<p><p>Total anomalous pulmonary venous connection (TAPVC) is a rare and life-threatening condition, and long-term patient outcomes remain to be fully explored. This registry-based national cohort study including all Danish children born with TAPVC between 2000 and 2018 aimed to evaluate the survival rates of Danish children receiving a TAPVC repair procedure. Additionally, the prevalence of early morbidity, severe chronic diseases, and mental and/or behavioral disorders in children diagnosed with TAPVC was investigated using Danish health registries. A total of 89 children with TAPVC were identified, of whom 65 underwent primary repair. Among those receiving surgery, the survival rate was 88% at 3 months, decreasing to 78% at 20 years. In the cohort of children with a TAPVC primary repair, 26% had one or more hospital visits with primary or secondary chronic somatic diagnoses, and 8% had one or more hospital visits with a mental and/or behavioral disorder. In comparison, 6% of all Danish children born during the same period had similar hospital visits for somatic diseases, and 3% for mental and/or behavioral disorders. The survival rate of our TAPVC cohort aligns with that reported in the literature. Furthermore, this study highlights the need for additional research into the physical and mental health of these children, as they require hospital care more frequently than their peers.</p>","PeriodicalId":21811,"journal":{"name":"Scientific Reports","volume":"15 1","pages":"30408"},"PeriodicalIF":3.9000,"publicationDate":"2025-08-19","publicationTypes":"Journal Article","fieldsOfStudy":null,"isOpenAccess":false,"openAccessPdf":"https://www.ncbi.nlm.nih.gov/pmc/articles/PMC12365164/pdf/","citationCount":"0","resultStr":"{\"title\":\"Nationwide registry study of long term survival and comorbidities in total anomalous pulmonary venous connection in Denmark.\",\"authors\":\"Maj Beldring Henningsen, Cathrine Bohnstedt, Therese Risom Vestergaard, Morten Holdgaard Smerup, Pi Vejsig Madsen, Lone Graff Stensballe\",\"doi\":\"10.1038/s41598-025-15769-0\",\"DOIUrl\":null,\"url\":null,\"abstract\":\"<p><p>Total anomalous pulmonary venous connection (TAPVC) is a rare and life-threatening condition, and long-term patient outcomes remain to be fully explored. This registry-based national cohort study including all Danish children born with TAPVC between 2000 and 2018 aimed to evaluate the survival rates of Danish children receiving a TAPVC repair procedure. Additionally, the prevalence of early morbidity, severe chronic diseases, and mental and/or behavioral disorders in children diagnosed with TAPVC was investigated using Danish health registries. A total of 89 children with TAPVC were identified, of whom 65 underwent primary repair. Among those receiving surgery, the survival rate was 88% at 3 months, decreasing to 78% at 20 years. In the cohort of children with a TAPVC primary repair, 26% had one or more hospital visits with primary or secondary chronic somatic diagnoses, and 8% had one or more hospital visits with a mental and/or behavioral disorder. In comparison, 6% of all Danish children born during the same period had similar hospital visits for somatic diseases, and 3% for mental and/or behavioral disorders. The survival rate of our TAPVC cohort aligns with that reported in the literature. Furthermore, this study highlights the need for additional research into the physical and mental health of these children, as they require hospital care more frequently than their peers.</p>\",\"PeriodicalId\":21811,\"journal\":{\"name\":\"Scientific Reports\",\"volume\":\"15 1\",\"pages\":\"30408\"},\"PeriodicalIF\":3.9000,\"publicationDate\":\"2025-08-19\",\"publicationTypes\":\"Journal Article\",\"fieldsOfStudy\":null,\"isOpenAccess\":false,\"openAccessPdf\":\"https://www.ncbi.nlm.nih.gov/pmc/articles/PMC12365164/pdf/\",\"citationCount\":\"0\",\"resultStr\":null,\"platform\":\"Semanticscholar\",\"paperid\":null,\"PeriodicalName\":\"Scientific Reports\",\"FirstCategoryId\":\"103\",\"ListUrlMain\":\"https://doi.org/10.1038/s41598-025-15769-0\",\"RegionNum\":2,\"RegionCategory\":\"综合性期刊\",\"ArticlePicture\":[],\"TitleCN\":null,\"AbstractTextCN\":null,\"PMCID\":null,\"EPubDate\":\"\",\"PubModel\":\"\",\"JCR\":\"Q1\",\"JCRName\":\"MULTIDISCIPLINARY SCIENCES\",\"Score\":null,\"Total\":0}","platform":"Semanticscholar","paperid":null,"PeriodicalName":"Scientific Reports","FirstCategoryId":"103","ListUrlMain":"https://doi.org/10.1038/s41598-025-15769-0","RegionNum":2,"RegionCategory":"综合性期刊","ArticlePicture":[],"TitleCN":null,"AbstractTextCN":null,"PMCID":null,"EPubDate":"","PubModel":"","JCR":"Q1","JCRName":"MULTIDISCIPLINARY SCIENCES","Score":null,"Total":0}
引用次数: 0

摘要

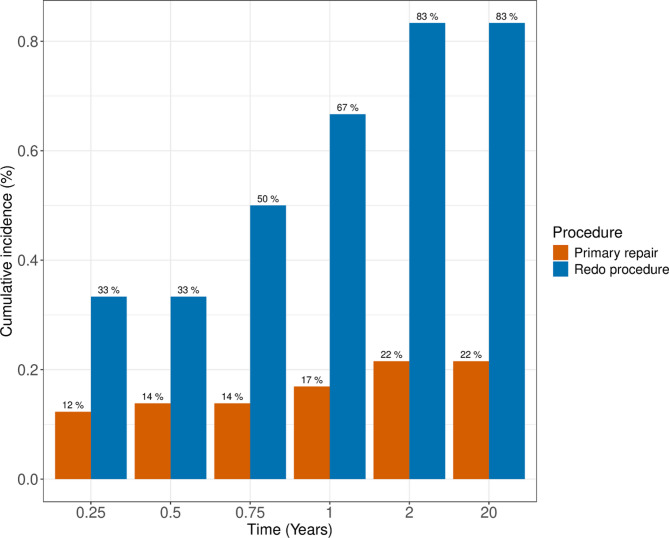
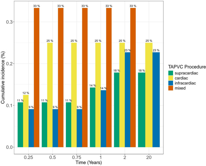
完全异常肺静脉连接(TAPVC)是一种罕见且危及生命的疾病,患者的长期预后仍有待充分探讨。这项基于登记的国家队列研究包括2000年至2018年间出生时患有TAPVC的所有丹麦儿童,旨在评估接受TAPVC修复手术的丹麦儿童的生存率。此外,还利用丹麦卫生登记处调查了诊断为TAPVC的儿童的早期发病、严重慢性疾病以及精神和/或行为障碍的患病率。共有89例TAPVC患儿被确诊,其中65例接受了初级修复。在接受手术的患者中,3个月生存率为88%,20年生存率为78%。在TAPVC原发性修复的儿童队列中,26%因原发性或继发性慢性躯体诊断就诊一次或多次,8%因精神和/或行为障碍就诊一次或多次。相比之下,在同一时期出生的所有丹麦儿童中,有6%因躯体疾病就诊,3%因精神和/或行为障碍就诊。我们的TAPVC队列的生存率与文献报道一致。此外,这项研究强调需要对这些儿童的身心健康进行更多的研究,因为他们比同龄人更频繁地需要住院治疗。
本文章由计算机程序翻译,如有差异,请以英文原文为准。

Nationwide registry study of long term survival and comorbidities in total anomalous pulmonary venous connection in Denmark.

Nationwide registry study of long term survival and comorbidities in total anomalous pulmonary venous connection in Denmark.

Nationwide registry study of long term survival and comorbidities in total anomalous pulmonary venous connection in Denmark.

Total anomalous pulmonary venous connection (TAPVC) is a rare and life-threatening condition, and long-term patient outcomes remain to be fully explored. This registry-based national cohort study including all Danish children born with TAPVC between 2000 and 2018 aimed to evaluate the survival rates of Danish children receiving a TAPVC repair procedure. Additionally, the prevalence of early morbidity, severe chronic diseases, and mental and/or behavioral disorders in children diagnosed with TAPVC was investigated using Danish health registries. A total of 89 children with TAPVC were identified, of whom 65 underwent primary repair. Among those receiving surgery, the survival rate was 88% at 3 months, decreasing to 78% at 20 years. In the cohort of children with a TAPVC primary repair, 26% had one or more hospital visits with primary or secondary chronic somatic diagnoses, and 8% had one or more hospital visits with a mental and/or behavioral disorder. In comparison, 6% of all Danish children born during the same period had similar hospital visits for somatic diseases, and 3% for mental and/or behavioral disorders. The survival rate of our TAPVC cohort aligns with that reported in the literature. Furthermore, this study highlights the need for additional research into the physical and mental health of these children, as they require hospital care more frequently than their peers.

求助全文
通过发布文献求助,成功后即可免费获取论文全文。 去求助
来源期刊
Scientific Reports
Scientific Reports Natural Science Disciplines-
CiteScore
7.50
自引率
4.30%
发文量
19567
审稿时长
3.9 months
期刊介绍: We publish original research from all areas of the natural sciences, psychology, medicine and engineering. You can learn more about what we publish by browsing our specific scientific subject areas below or explore Scientific Reports by browsing all articles and collections. Scientific Reports has a 2-year impact factor: 4.380 (2021), and is the 6th most-cited journal in the world, with more than 540,000 citations in 2020 (Clarivate Analytics, 2021). •Engineering Engineering covers all aspects of engineering, technology, and applied science. It plays a crucial role in the development of technologies to address some of the world''s biggest challenges, helping to save lives and improve the way we live. •Physical sciences Physical sciences are those academic disciplines that aim to uncover the underlying laws of nature — often written in the language of mathematics. It is a collective term for areas of study including astronomy, chemistry, materials science and physics. •Earth and environmental sciences Earth and environmental sciences cover all aspects of Earth and planetary science and broadly encompass solid Earth processes, surface and atmospheric dynamics, Earth system history, climate and climate change, marine and freshwater systems, and ecology. It also considers the interactions between humans and these systems. •Biological sciences Biological sciences encompass all the divisions of natural sciences examining various aspects of vital processes. The concept includes anatomy, physiology, cell biology, biochemistry and biophysics, and covers all organisms from microorganisms, animals to plants. •Health sciences The health sciences study health, disease and healthcare. This field of study aims to develop knowledge, interventions and technology for use in healthcare to improve the treatment of patients.
×
引用
GB/T 7714-2015
复制
MLA
复制
APA
复制
导出至
BibTeX EndNote RefMan NoteFirst NoteExpress
×
提示
您的信息不完整,为了账户安全,请先补充。
现在去补充
×
提示
您因"违规操作"
具体请查看互助需知
我知道了
×
提示
确定
请完成安全验证×
copy
已复制链接
快去分享给好友吧!
我知道了
右上角分享
点击右上角分享
0
联系我们:info@booksci.cn Book学术提供免费学术资源搜索服务,方便国内外学者检索中英文文献。致力于提供最便捷和优质的服务体验。 Copyright © 2023 布克学术 All rights reserved.
京ICP备2023020795号-1
ghs 京公网安备 11010802042870号
Book学术文献互助
Book学术文献互助群
群 号:604180095
Book学术官方微信