临床定义的尼古丁依赖的多祖先全基因组关联研究揭示了与其他物质使用障碍和健康相关特征的强遗传相关性。

IF 5.5 2区 医学 Q1 PSYCHIATRY
Emma C Johnson, Dongbing Lai, Jared V Balbona, Alex P Miller, Alexander S Hatoum, Joseph D Deak, Mariela Jennings, David A A Baranger, Marco Galimberti, Kittipong Sanichwankul, Thorgeir Thorgeirsson, Sarah M C Colbert, Keyrun Adhikari, Anna R Docherty, Louisa Degenhardt, Tobias Edwards, Louis Fox, Alexandros Giannelis, Paul W Jeffries, Tellervo Korhonen, Claire L Morrison, Yaira Z Nunez, Teemu Palviainen, Mei-Hsin Su, Pamela N Romero Villela, Leah Wetherill, Emily A Willoughby, Stephanie M Zellers, Laura J Bierut, Jadwiga Buchwald, William E Copeland, Robin P Corley, Naomi P Friedman, Tatiana M Foroud, Nathan A Gillespie, Ian R Gizer, Andrew C Heath, Ian B Hickie, Jaakko Kaprio, Matthew C Keller, James J Lee, Penelope Lind, Pamela A Madden, Hermine H M Maes, Nicholas G Martin, Matt McGue, Sarah E Medland, Elliot C Nelson, John Pearson, Bernice Porjesz, Michael C Stallings, Scott Vrieze, Kirk C Wilhelmson, Henry R Kranzler, Raymond K Walters, Renato Polimanti, Robert Malison, Hang Zhou, Kari Stefansson, Sandra Sanchez-Roige, Marc Potenza, Apiwat Mutirangura, Vorasuk Shotelersuk, Rasmon Kalayasiri, Howard J Edenberg, Joel Gelernter, Arpana Agrawal
{"title":"临床定义的尼古丁依赖的多祖先全基因组关联研究揭示了与其他物质使用障碍和健康相关特征的强遗传相关性。","authors":"Emma C Johnson, Dongbing Lai, Jared V Balbona, Alex P Miller, Alexander S Hatoum, Joseph D Deak, Mariela Jennings, David A A Baranger, Marco Galimberti, Kittipong Sanichwankul, Thorgeir Thorgeirsson, Sarah M C Colbert, Keyrun Adhikari, Anna R Docherty, Louisa Degenhardt, Tobias Edwards, Louis Fox, Alexandros Giannelis, Paul W Jeffries, Tellervo Korhonen, Claire L Morrison, Yaira Z Nunez, Teemu Palviainen, Mei-Hsin Su, Pamela N Romero Villela, Leah Wetherill, Emily A Willoughby, Stephanie M Zellers, Laura J Bierut, Jadwiga Buchwald, William E Copeland, Robin P Corley, Naomi P Friedman, Tatiana M Foroud, Nathan A Gillespie, Ian R Gizer, Andrew C Heath, Ian B Hickie, Jaakko Kaprio, Matthew C Keller, James J Lee, Penelope Lind, Pamela A Madden, Hermine H M Maes, Nicholas G Martin, Matt McGue, Sarah E Medland, Elliot C Nelson, John Pearson, Bernice Porjesz, Michael C Stallings, Scott Vrieze, Kirk C Wilhelmson, Henry R Kranzler, Raymond K Walters, Renato Polimanti, Robert Malison, Hang Zhou, Kari Stefansson, Sandra Sanchez-Roige, Marc Potenza, Apiwat Mutirangura, Vorasuk Shotelersuk, Rasmon Kalayasiri, Howard J Edenberg, Joel Gelernter, Arpana Agrawal","doi":"10.1017/S0033291725100883","DOIUrl":null,"url":null,"abstract":"<p><strong>Background: </strong>Genetic research on nicotine dependence has utilized multiple assessments that are in weak agreement.</p><p><strong>Methods: </strong>We conducted a genome-wide association study (GWAS) of nicotine dependence defined using the Diagnostic and Statistical Manual of Mental Disorders (DSM-NicDep) in 61,861 individuals (47,884 of European ancestry [EUR], 10,231 of African ancestry, and 3,746 of East Asian ancestry) and compared the results to other nicotine-related phenotypes.</p><p><strong>Results: </strong>We replicated the well-known association at the <i>CHRNA5</i> locus (lead single-nucleotide polymorphism [SNP]: rs147144681, <i>p</i> = 1.27E-11 in EUR; lead SNP = rs2036527, <i>p</i> = 6.49e-13 in cross-ancestry analysis). DSM-NicDep showed strong positive genetic correlations with cannabis use disorder, opioid use disorder, problematic alcohol use, lung cancer, material deprivation, and several psychiatric disorders, and negative correlations with respiratory function and educational attainment. A polygenic score of DSM-NicDep predicted DSM-5 tobacco use disorder criterion count and all 11 individual diagnostic criteria in the independent National Epidemiologic Survey on Alcohol and Related Conditions-III sample. In genomic structural equation models, DSM-NicDep loaded more strongly on a previously identified factor of general addiction liability than a \"problematic tobacco use\" factor (a combination of cigarettes per day and nicotine dependence defined by the Fagerström Test for Nicotine Dependence). Finally, DSM-NicDep showed a strong genetic correlation with a GWAS of tobacco use disorder as defined in electronic health records (EHRs).</p><p><strong>Conclusions: </strong>Our results suggest that combining the wide availability of diagnostic EHR data with nuanced criterion-level analyses of DSM tobacco use disorder may produce new insights into the genetics of this disorder.</p>","PeriodicalId":20891,"journal":{"name":"Psychological Medicine","volume":"55 ","pages":"e234"},"PeriodicalIF":5.5000,"publicationDate":"2025-08-20","publicationTypes":"Journal Article","fieldsOfStudy":null,"isOpenAccess":false,"openAccessPdf":"https://www.ncbi.nlm.nih.gov/pmc/articles/PMC12360691/pdf/","citationCount":"0","resultStr":"{\"title\":\"Multi-ancestral genome-wide association study of clinically defined nicotine dependence reveals strong genetic correlations with other substance use disorders and health-related traits.\",\"authors\":\"Emma C Johnson, Dongbing Lai, Jared V Balbona, Alex P Miller, Alexander S Hatoum, Joseph D Deak, Mariela Jennings, David A A Baranger, Marco Galimberti, Kittipong Sanichwankul, Thorgeir Thorgeirsson, Sarah M C Colbert, Keyrun Adhikari, Anna R Docherty, Louisa Degenhardt, Tobias Edwards, Louis Fox, Alexandros Giannelis, Paul W Jeffries, Tellervo Korhonen, Claire L Morrison, Yaira Z Nunez, Teemu Palviainen, Mei-Hsin Su, Pamela N Romero Villela, Leah Wetherill, Emily A Willoughby, Stephanie M Zellers, Laura J Bierut, Jadwiga Buchwald, William E Copeland, Robin P Corley, Naomi P Friedman, Tatiana M Foroud, Nathan A Gillespie, Ian R Gizer, Andrew C Heath, Ian B Hickie, Jaakko Kaprio, Matthew C Keller, James J Lee, Penelope Lind, Pamela A Madden, Hermine H M Maes, Nicholas G Martin, Matt McGue, Sarah E Medland, Elliot C Nelson, John Pearson, Bernice Porjesz, Michael C Stallings, Scott Vrieze, Kirk C Wilhelmson, Henry R Kranzler, Raymond K Walters, Renato Polimanti, Robert Malison, Hang Zhou, Kari Stefansson, Sandra Sanchez-Roige, Marc Potenza, Apiwat Mutirangura, Vorasuk Shotelersuk, Rasmon Kalayasiri, Howard J Edenberg, Joel Gelernter, Arpana Agrawal\",\"doi\":\"10.1017/S0033291725100883\",\"DOIUrl\":null,\"url\":null,\"abstract\":\"<p><strong>Background: </strong>Genetic research on nicotine dependence has utilized multiple assessments that are in weak agreement.</p><p><strong>Methods: </strong>We conducted a genome-wide association study (GWAS) of nicotine dependence defined using the Diagnostic and Statistical Manual of Mental Disorders (DSM-NicDep) in 61,861 individuals (47,884 of European ancestry [EUR], 10,231 of African ancestry, and 3,746 of East Asian ancestry) and compared the results to other nicotine-related phenotypes.</p><p><strong>Results: </strong>We replicated the well-known association at the <i>CHRNA5</i> locus (lead single-nucleotide polymorphism [SNP]: rs147144681, <i>p</i> = 1.27E-11 in EUR; lead SNP = rs2036527, <i>p</i> = 6.49e-13 in cross-ancestry analysis). DSM-NicDep showed strong positive genetic correlations with cannabis use disorder, opioid use disorder, problematic alcohol use, lung cancer, material deprivation, and several psychiatric disorders, and negative correlations with respiratory function and educational attainment. A polygenic score of DSM-NicDep predicted DSM-5 tobacco use disorder criterion count and all 11 individual diagnostic criteria in the independent National Epidemiologic Survey on Alcohol and Related Conditions-III sample. In genomic structural equation models, DSM-NicDep loaded more strongly on a previously identified factor of general addiction liability than a \\\"problematic tobacco use\\\" factor (a combination of cigarettes per day and nicotine dependence defined by the Fagerström Test for Nicotine Dependence). Finally, DSM-NicDep showed a strong genetic correlation with a GWAS of tobacco use disorder as defined in electronic health records (EHRs).</p><p><strong>Conclusions: </strong>Our results suggest that combining the wide availability of diagnostic EHR data with nuanced criterion-level analyses of DSM tobacco use disorder may produce new insights into the genetics of this disorder.</p>\",\"PeriodicalId\":20891,\"journal\":{\"name\":\"Psychological Medicine\",\"volume\":\"55 \",\"pages\":\"e234\"},\"PeriodicalIF\":5.5000,\"publicationDate\":\"2025-08-20\",\"publicationTypes\":\"Journal Article\",\"fieldsOfStudy\":null,\"isOpenAccess\":false,\"openAccessPdf\":\"https://www.ncbi.nlm.nih.gov/pmc/articles/PMC12360691/pdf/\",\"citationCount\":\"0\",\"resultStr\":null,\"platform\":\"Semanticscholar\",\"paperid\":null,\"PeriodicalName\":\"Psychological Medicine\",\"FirstCategoryId\":\"3\",\"ListUrlMain\":\"https://doi.org/10.1017/S0033291725100883\",\"RegionNum\":2,\"RegionCategory\":\"医学\",\"ArticlePicture\":[],\"TitleCN\":null,\"AbstractTextCN\":null,\"PMCID\":null,\"EPubDate\":\"\",\"PubModel\":\"\",\"JCR\":\"Q1\",\"JCRName\":\"PSYCHIATRY\",\"Score\":null,\"Total\":0}","platform":"Semanticscholar","paperid":null,"PeriodicalName":"Psychological Medicine","FirstCategoryId":"3","ListUrlMain":"https://doi.org/10.1017/S0033291725100883","RegionNum":2,"RegionCategory":"医学","ArticlePicture":[],"TitleCN":null,"AbstractTextCN":null,"PMCID":null,"EPubDate":"","PubModel":"","JCR":"Q1","JCRName":"PSYCHIATRY","Score":null,"Total":0}
引用次数: 0

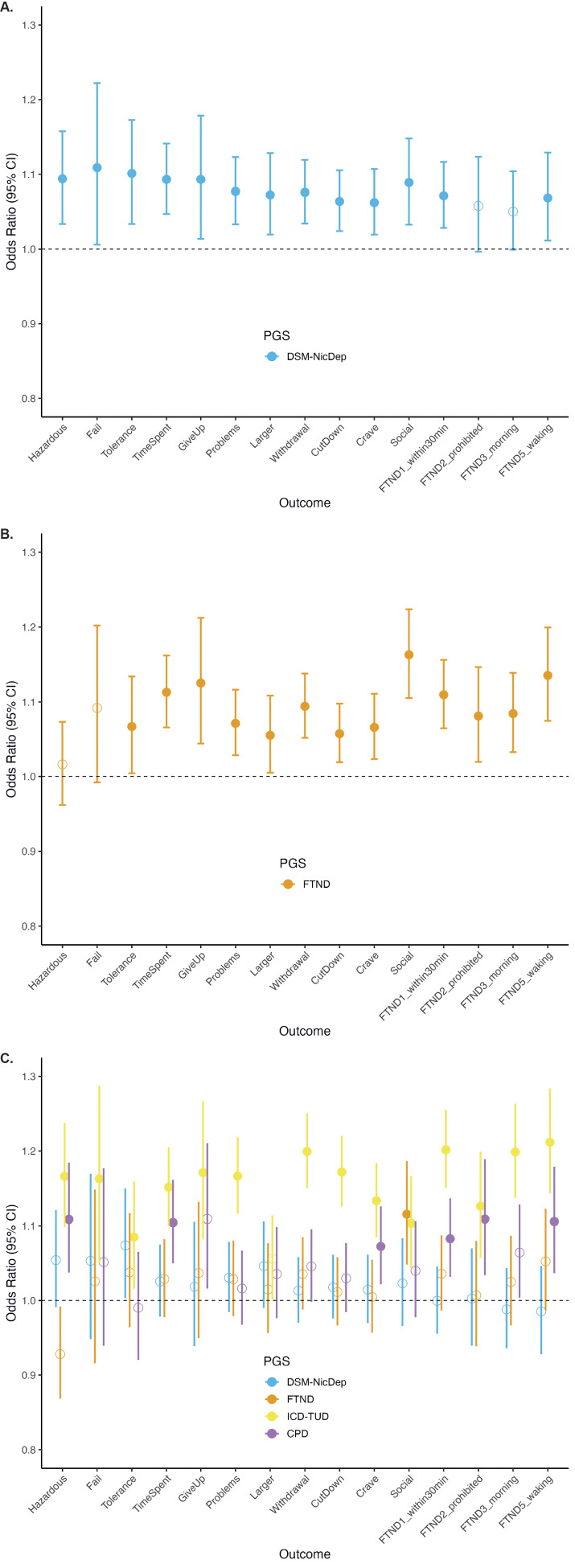
摘要

背景:尼古丁依赖的遗传研究利用了多种评估,但这些评估的一致性不强。方法:我们使用精神疾病诊断与统计手册(DSM-NicDep)对61,861名个体(47,884名欧洲血统[EUR], 10,231名非洲血统和3,746名东亚血统)进行了尼古丁依赖的全基因组关联研究(GWAS),并将结果与其他尼古丁相关表型进行了比较。结果:我们在CHRNA5位点重复了众所周知的关联(先导单核苷酸多态性[SNP]: rs147144681,在EUR中p = 1.27E-11;先导SNP = rs2036527,在跨祖先分析中p = 6.49e-13)。DSM-NicDep显示与大麻使用障碍、阿片类药物使用障碍、问题性酒精使用、肺癌、物质剥夺和几种精神疾病有很强的正相关遗传,与呼吸功能和受教育程度呈负相关。DSM-NicDep的多基因评分预测了DSM-5烟草使用障碍标准计数和独立的全国酒精及相关疾病流行病学调查iii样本中的所有11个个体诊断标准。在基因组结构方程模型中,DSM-NicDep更强调先前确定的一般成瘾倾向因素,而不是“有问题的烟草使用”因素(由Fagerström尼古丁依赖测试定义的每天吸烟和尼古丁依赖的组合)。最后,DSM-NicDep显示与电子健康记录(EHRs)中定义的烟草使用障碍的GWAS有很强的遗传相关性。结论:我们的研究结果表明,将广泛可用的电子病历诊断数据与DSM烟草使用障碍的细致标准水平分析相结合,可能会对该疾病的遗传学产生新的见解。
本文章由计算机程序翻译,如有差异,请以英文原文为准。

Multi-ancestral genome-wide association study of clinically defined nicotine dependence reveals strong genetic correlations with other substance use disorders and health-related traits.

Multi-ancestral genome-wide association study of clinically defined nicotine dependence reveals strong genetic correlations with other substance use disorders and health-related traits.

Multi-ancestral genome-wide association study of clinically defined nicotine dependence reveals strong genetic correlations with other substance use disorders and health-related traits.

Multi-ancestral genome-wide association study of clinically defined nicotine dependence reveals strong genetic correlations with other substance use disorders and health-related traits.

Background: Genetic research on nicotine dependence has utilized multiple assessments that are in weak agreement.

Methods: We conducted a genome-wide association study (GWAS) of nicotine dependence defined using the Diagnostic and Statistical Manual of Mental Disorders (DSM-NicDep) in 61,861 individuals (47,884 of European ancestry [EUR], 10,231 of African ancestry, and 3,746 of East Asian ancestry) and compared the results to other nicotine-related phenotypes.

Results: We replicated the well-known association at the CHRNA5 locus (lead single-nucleotide polymorphism [SNP]: rs147144681, p = 1.27E-11 in EUR; lead SNP = rs2036527, p = 6.49e-13 in cross-ancestry analysis). DSM-NicDep showed strong positive genetic correlations with cannabis use disorder, opioid use disorder, problematic alcohol use, lung cancer, material deprivation, and several psychiatric disorders, and negative correlations with respiratory function and educational attainment. A polygenic score of DSM-NicDep predicted DSM-5 tobacco use disorder criterion count and all 11 individual diagnostic criteria in the independent National Epidemiologic Survey on Alcohol and Related Conditions-III sample. In genomic structural equation models, DSM-NicDep loaded more strongly on a previously identified factor of general addiction liability than a "problematic tobacco use" factor (a combination of cigarettes per day and nicotine dependence defined by the Fagerström Test for Nicotine Dependence). Finally, DSM-NicDep showed a strong genetic correlation with a GWAS of tobacco use disorder as defined in electronic health records (EHRs).

Conclusions: Our results suggest that combining the wide availability of diagnostic EHR data with nuanced criterion-level analyses of DSM tobacco use disorder may produce new insights into the genetics of this disorder.

求助全文
通过发布文献求助,成功后即可免费获取论文全文。 去求助
来源期刊
Psychological Medicine
Psychological Medicine 医学-精神病学
CiteScore
11.30
自引率
4.30%
发文量
711
审稿时长
3-6 weeks
期刊介绍: Now in its fifth decade of publication, Psychological Medicine is a leading international journal in the fields of psychiatry, related aspects of psychology and basic sciences. From 2014, there are 16 issues a year, each featuring original articles reporting key research being undertaken worldwide, together with shorter editorials by distinguished scholars and an important book review section. The journal''s success is clearly demonstrated by a consistently high impact factor.
×
引用
GB/T 7714-2015
复制
MLA
复制
APA
复制
导出至
BibTeX EndNote RefMan NoteFirst NoteExpress
×
提示
您的信息不完整,为了账户安全,请先补充。
现在去补充
×
提示
您因"违规操作"
具体请查看互助需知
我知道了
×
提示
确定
请完成安全验证×
copy
已复制链接
快去分享给好友吧!
我知道了
右上角分享
点击右上角分享
0
联系我们:info@booksci.cn Book学术提供免费学术资源搜索服务,方便国内外学者检索中英文文献。致力于提供最便捷和优质的服务体验。 Copyright © 2023 布克学术 All rights reserved.
京ICP备2023020795号-1
ghs 京公网安备 11010802042870号
Book学术文献互助
Book学术文献互助群
群 号:604180095
Book学术官方微信