粗足螯螨是弯血螨(圆圆螨科,圆圆螨科)的新天敌。

IF 3.5 2区 医学 Q1 PARASITOLOGY
Adrien Bamière, Julie Petermann, Damien Morel, Philippe Jacquiet, Christelle Grisez
{"title":"粗足螯螨是弯血螨(圆圆螨科,圆圆螨科)的新天敌。","authors":"Adrien Bamière, Julie Petermann, Damien Morel, Philippe Jacquiet, Christelle Grisez","doi":"10.1186/s13071-025-06990-x","DOIUrl":null,"url":null,"abstract":"<p><strong>Background: </strong>Antiparasitic resistance in sheep necessitates non-chemical strategies for gastrointestinal strongylosis control. We have evaluated the potential of three predatory mite species-Macrocheles robustulus, Macrocheles muscaedomesticae and Rhabdocarpais consanguineus-to reduce transmission of the nematode Haemonchus contortus by preying on infective larvae.</p><p><strong>Methods: </strong>Under laboratory conditions, mites were exposed to mixed prey environments containing housefly Musca domestica eggs and H. contortus third-stage (L3) larvae. Predation was first monitored over 8 h. This was followed by a more detailed assessment of M. robustulus predatory capacity in sheep feces containing eggs of H. contortus and then the oviposition capacity of females was studied when fed exclusively with L3 larvae.</p><p><strong>Results: </strong>Macrocheles robustulus demonstrated a significant preference for nematode larvae, leading to further evaluation of its predatory capacity in sheep feces containing 2250 eggs per gram of H. contortus. After 14 days at 25 ± 2 °C, the presence of M. robustulus resulted in a significant reduction of L3 larvae compared to controls (519 vs. 1067 L3 larvae; p < 0.05). Additionally, M. robustulus females oviposited when fed exclusively on nematode larvae.</p><p><strong>Conclusions: </strong>These findings suggest that M. robustulus could be a viable biological control agent against H. contortus in pasture settings, warranting further field studies.</p>","PeriodicalId":19793,"journal":{"name":"Parasites & Vectors","volume":"18 1","pages":"351"},"PeriodicalIF":3.5000,"publicationDate":"2025-08-19","publicationTypes":"Journal Article","fieldsOfStudy":null,"isOpenAccess":false,"openAccessPdf":"https://www.ncbi.nlm.nih.gov/pmc/articles/PMC12363101/pdf/","citationCount":"0","resultStr":"{\"title\":\"The mite Machrocheles robustulus (Mesostigmata, Macrochelidae) a new promising natural enemy of Haemonchus contortus (Strongylida, Trichostrongylidae).\",\"authors\":\"Adrien Bamière, Julie Petermann, Damien Morel, Philippe Jacquiet, Christelle Grisez\",\"doi\":\"10.1186/s13071-025-06990-x\",\"DOIUrl\":null,\"url\":null,\"abstract\":\"<p><strong>Background: </strong>Antiparasitic resistance in sheep necessitates non-chemical strategies for gastrointestinal strongylosis control. We have evaluated the potential of three predatory mite species-Macrocheles robustulus, Macrocheles muscaedomesticae and Rhabdocarpais consanguineus-to reduce transmission of the nematode Haemonchus contortus by preying on infective larvae.</p><p><strong>Methods: </strong>Under laboratory conditions, mites were exposed to mixed prey environments containing housefly Musca domestica eggs and H. contortus third-stage (L3) larvae. Predation was first monitored over 8 h. This was followed by a more detailed assessment of M. robustulus predatory capacity in sheep feces containing eggs of H. contortus and then the oviposition capacity of females was studied when fed exclusively with L3 larvae.</p><p><strong>Results: </strong>Macrocheles robustulus demonstrated a significant preference for nematode larvae, leading to further evaluation of its predatory capacity in sheep feces containing 2250 eggs per gram of H. contortus. After 14 days at 25 ± 2 °C, the presence of M. robustulus resulted in a significant reduction of L3 larvae compared to controls (519 vs. 1067 L3 larvae; p < 0.05). Additionally, M. robustulus females oviposited when fed exclusively on nematode larvae.</p><p><strong>Conclusions: </strong>These findings suggest that M. robustulus could be a viable biological control agent against H. contortus in pasture settings, warranting further field studies.</p>\",\"PeriodicalId\":19793,\"journal\":{\"name\":\"Parasites & Vectors\",\"volume\":\"18 1\",\"pages\":\"351\"},\"PeriodicalIF\":3.5000,\"publicationDate\":\"2025-08-19\",\"publicationTypes\":\"Journal Article\",\"fieldsOfStudy\":null,\"isOpenAccess\":false,\"openAccessPdf\":\"https://www.ncbi.nlm.nih.gov/pmc/articles/PMC12363101/pdf/\",\"citationCount\":\"0\",\"resultStr\":null,\"platform\":\"Semanticscholar\",\"paperid\":null,\"PeriodicalName\":\"Parasites & Vectors\",\"FirstCategoryId\":\"3\",\"ListUrlMain\":\"https://doi.org/10.1186/s13071-025-06990-x\",\"RegionNum\":2,\"RegionCategory\":\"医学\",\"ArticlePicture\":[],\"TitleCN\":null,\"AbstractTextCN\":null,\"PMCID\":null,\"EPubDate\":\"\",\"PubModel\":\"\",\"JCR\":\"Q1\",\"JCRName\":\"PARASITOLOGY\",\"Score\":null,\"Total\":0}","platform":"Semanticscholar","paperid":null,"PeriodicalName":"Parasites & Vectors","FirstCategoryId":"3","ListUrlMain":"https://doi.org/10.1186/s13071-025-06990-x","RegionNum":2,"RegionCategory":"医学","ArticlePicture":[],"TitleCN":null,"AbstractTextCN":null,"PMCID":null,"EPubDate":"","PubModel":"","JCR":"Q1","JCRName":"PARASITOLOGY","Score":null,"Total":0}
引用次数: 0

摘要

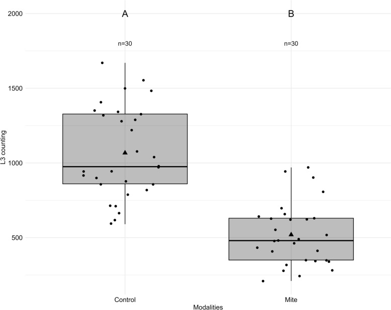
背景:绵羊的抗寄生虫抗性需要非化学策略来控制胃肠道圆形菌病。我们已经评估了三种掠食性螨——粗足大螯螨、家蝇大螯螨和串连横纹肌螨——通过捕食受感染的幼虫来减少扭曲血螨传播的潜力。方法:在实验室条件下,将螨虫暴露于含有家蝇、家蝇卵和弯纹夜蛾三期幼虫的混合猎物环境中。首先监测8小时内的捕食情况。随后更详细地评估了粗纹夜蛾在含有粗纹夜蛾卵的绵羊粪便中的捕食能力,然后研究了仅饲喂L3幼虫的雌性的产卵能力。结果:鲁棒大螯虾对线虫幼虫表现出明显的偏好,进一步评价了鲁棒大螯虾对含2250个虫卵/克弯纹大螯虾的羊粪的捕食能力。在25±2°C环境下培养14天后,与对照组相比,粗壮芽孢杆菌的存在导致L3幼虫数量显著减少(519对1067)。结论:这些发现表明,粗壮芽孢杆菌可能是一种可行的生物防治剂,值得进一步的实地研究。
本文章由计算机程序翻译,如有差异,请以英文原文为准。

The mite Machrocheles robustulus (Mesostigmata, Macrochelidae) a new promising natural enemy of Haemonchus contortus (Strongylida, Trichostrongylidae).

The mite Machrocheles robustulus (Mesostigmata, Macrochelidae) a new promising natural enemy of Haemonchus contortus (Strongylida, Trichostrongylidae).

The mite Machrocheles robustulus (Mesostigmata, Macrochelidae) a new promising natural enemy of Haemonchus contortus (Strongylida, Trichostrongylidae).

The mite Machrocheles robustulus (Mesostigmata, Macrochelidae) a new promising natural enemy of Haemonchus contortus (Strongylida, Trichostrongylidae).

Background: Antiparasitic resistance in sheep necessitates non-chemical strategies for gastrointestinal strongylosis control. We have evaluated the potential of three predatory mite species-Macrocheles robustulus, Macrocheles muscaedomesticae and Rhabdocarpais consanguineus-to reduce transmission of the nematode Haemonchus contortus by preying on infective larvae.

Methods: Under laboratory conditions, mites were exposed to mixed prey environments containing housefly Musca domestica eggs and H. contortus third-stage (L3) larvae. Predation was first monitored over 8 h. This was followed by a more detailed assessment of M. robustulus predatory capacity in sheep feces containing eggs of H. contortus and then the oviposition capacity of females was studied when fed exclusively with L3 larvae.

Results: Macrocheles robustulus demonstrated a significant preference for nematode larvae, leading to further evaluation of its predatory capacity in sheep feces containing 2250 eggs per gram of H. contortus. After 14 days at 25 ± 2 °C, the presence of M. robustulus resulted in a significant reduction of L3 larvae compared to controls (519 vs. 1067 L3 larvae; p < 0.05). Additionally, M. robustulus females oviposited when fed exclusively on nematode larvae.

Conclusions: These findings suggest that M. robustulus could be a viable biological control agent against H. contortus in pasture settings, warranting further field studies.

求助全文
通过发布文献求助,成功后即可免费获取论文全文。 去求助
来源期刊
Parasites & Vectors
Parasites & Vectors 医学-寄生虫学
CiteScore
6.30
自引率
9.40%
发文量
433
审稿时长
1.4 months
期刊介绍: Parasites & Vectors is an open access, peer-reviewed online journal dealing with the biology of parasites, parasitic diseases, intermediate hosts, vectors and vector-borne pathogens. Manuscripts published in this journal will be available to all worldwide, with no barriers to access, immediately following acceptance. However, authors retain the copyright of their material and may use it, or distribute it, as they wish. Manuscripts on all aspects of the basic and applied biology of parasites, intermediate hosts, vectors and vector-borne pathogens will be considered. In addition to the traditional and well-established areas of science in these fields, we also aim to provide a vehicle for publication of the rapidly developing resources and technology in parasite, intermediate host and vector genomics and their impacts on biological research. We are able to publish large datasets and extensive results, frequently associated with genomic and post-genomic technologies, which are not readily accommodated in traditional journals. Manuscripts addressing broader issues, for example economics, social sciences and global climate change in relation to parasites, vectors and disease control, are also welcomed.
×
引用
GB/T 7714-2015
复制
MLA
复制
APA
复制
导出至
BibTeX EndNote RefMan NoteFirst NoteExpress
×
提示
您的信息不完整,为了账户安全,请先补充。
现在去补充
×
提示
您因"违规操作"
具体请查看互助需知
我知道了
×
提示
确定
请完成安全验证×
copy
已复制链接
快去分享给好友吧!
我知道了
右上角分享
点击右上角分享
0
联系我们:info@booksci.cn Book学术提供免费学术资源搜索服务,方便国内外学者检索中英文文献。致力于提供最便捷和优质的服务体验。 Copyright © 2023 布克学术 All rights reserved.
京ICP备2023020795号-1
ghs 京公网安备 11010802042870号
Book学术文献互助
Book学术文献互助群
群 号:604180095
Book学术官方微信