糖尿病与部位特异性癌症风险之间的关联:代谢谱差异作用的基于人群的队列研究

IF 3.4 3区 医学 Q2 ENDOCRINOLOGY & METABOLISM
Journal of Diabetes Research Pub Date : 2025-08-11 eCollection Date: 2025-01-01 DOI:10.1155/jdr/1271189
Sarah Tsz Yui Yau, Chi Tim Hung, Eman Yee Man Leung, Ka Chun Chong, Albert Lee, Eng Kiong Yeoh
{"title":"糖尿病与部位特异性癌症风险之间的关联:代谢谱差异作用的基于人群的队列研究","authors":"Sarah Tsz Yui Yau, Chi Tim Hung, Eman Yee Man Leung, Ka Chun Chong, Albert Lee, Eng Kiong Yeoh","doi":"10.1155/jdr/1271189","DOIUrl":null,"url":null,"abstract":"<p><p>This study is aimed at investigating (i) whether diabetes is associated with each site-specific cancer and (ii) whether metabolic factors (lipids and liver enzyme) are differentially linked to different site-specific cancers by diabetes status. A retrospective cohort study was performed using electronic health records of Hong Kong. Patients who utilized public healthcare services between the year 1997 and 2021 with complete laboratory records and no cancer history were included. Patients were followed up until December 31, 2021. The associations with each site-specific cancer (colon and rectum, liver, pancreas, bladder, kidney, stomach, and lung) were assessed using Cox regression. A total of 197,906 patients were included. Patients with primarily Type 2 diabetes had a higher risk of developing liver and pancreatic cancers (aHRs for liver: 1.39, 95% CI = 1.11-1.75; pancreas: 2.04, 95% CI = 1.40-2.96) when compared to those without diabetes. Each 1 mmol/L increase in fasting glucose was associated with a 4% and 8% elevated risk of developing liver and pancreatic cancers, respectively. In general, lower lipids were linked to an increased risk of several malignancies (liver, pancreas, kidney, and stomach). In conclusion, diabetes is associated with an elevated risk of liver and pancreatic cancers. Baseline lipids and liver enzyme could be differentially linked to the risk of cancers at different organ sites by diabetes status.</p>","PeriodicalId":15576,"journal":{"name":"Journal of Diabetes Research","volume":"2025 ","pages":"1271189"},"PeriodicalIF":3.4000,"publicationDate":"2025-08-11","publicationTypes":"Journal Article","fieldsOfStudy":null,"isOpenAccess":false,"openAccessPdf":"https://www.ncbi.nlm.nih.gov/pmc/articles/PMC12360884/pdf/","citationCount":"0","resultStr":"{\"title\":\"Association Between Diabetes and Site-Specific Cancer Risk: A Population-Based Cohort Study on the Differential Role of Metabolic Profiles.\",\"authors\":\"Sarah Tsz Yui Yau, Chi Tim Hung, Eman Yee Man Leung, Ka Chun Chong, Albert Lee, Eng Kiong Yeoh\",\"doi\":\"10.1155/jdr/1271189\",\"DOIUrl\":null,\"url\":null,\"abstract\":\"<p><p>This study is aimed at investigating (i) whether diabetes is associated with each site-specific cancer and (ii) whether metabolic factors (lipids and liver enzyme) are differentially linked to different site-specific cancers by diabetes status. A retrospective cohort study was performed using electronic health records of Hong Kong. Patients who utilized public healthcare services between the year 1997 and 2021 with complete laboratory records and no cancer history were included. Patients were followed up until December 31, 2021. The associations with each site-specific cancer (colon and rectum, liver, pancreas, bladder, kidney, stomach, and lung) were assessed using Cox regression. A total of 197,906 patients were included. Patients with primarily Type 2 diabetes had a higher risk of developing liver and pancreatic cancers (aHRs for liver: 1.39, 95% CI = 1.11-1.75; pancreas: 2.04, 95% CI = 1.40-2.96) when compared to those without diabetes. Each 1 mmol/L increase in fasting glucose was associated with a 4% and 8% elevated risk of developing liver and pancreatic cancers, respectively. In general, lower lipids were linked to an increased risk of several malignancies (liver, pancreas, kidney, and stomach). In conclusion, diabetes is associated with an elevated risk of liver and pancreatic cancers. Baseline lipids and liver enzyme could be differentially linked to the risk of cancers at different organ sites by diabetes status.</p>\",\"PeriodicalId\":15576,\"journal\":{\"name\":\"Journal of Diabetes Research\",\"volume\":\"2025 \",\"pages\":\"1271189\"},\"PeriodicalIF\":3.4000,\"publicationDate\":\"2025-08-11\",\"publicationTypes\":\"Journal Article\",\"fieldsOfStudy\":null,\"isOpenAccess\":false,\"openAccessPdf\":\"https://www.ncbi.nlm.nih.gov/pmc/articles/PMC12360884/pdf/\",\"citationCount\":\"0\",\"resultStr\":null,\"platform\":\"Semanticscholar\",\"paperid\":null,\"PeriodicalName\":\"Journal of Diabetes Research\",\"FirstCategoryId\":\"3\",\"ListUrlMain\":\"https://doi.org/10.1155/jdr/1271189\",\"RegionNum\":3,\"RegionCategory\":\"医学\",\"ArticlePicture\":[],\"TitleCN\":null,\"AbstractTextCN\":null,\"PMCID\":null,\"EPubDate\":\"2025/1/1 0:00:00\",\"PubModel\":\"eCollection\",\"JCR\":\"Q2\",\"JCRName\":\"ENDOCRINOLOGY & METABOLISM\",\"Score\":null,\"Total\":0}","platform":"Semanticscholar","paperid":null,"PeriodicalName":"Journal of Diabetes Research","FirstCategoryId":"3","ListUrlMain":"https://doi.org/10.1155/jdr/1271189","RegionNum":3,"RegionCategory":"医学","ArticlePicture":[],"TitleCN":null,"AbstractTextCN":null,"PMCID":null,"EPubDate":"2025/1/1 0:00:00","PubModel":"eCollection","JCR":"Q2","JCRName":"ENDOCRINOLOGY & METABOLISM","Score":null,"Total":0}
引用次数: 0

摘要

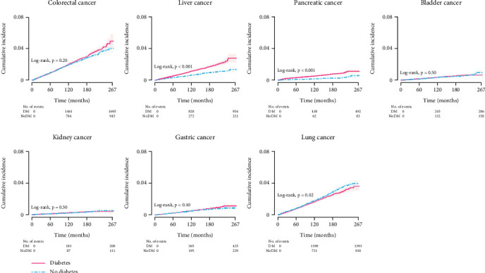
本研究旨在调查(i)糖尿病是否与每个部位特异性癌症相关,(ii)代谢因子(脂质和肝酶)是否因糖尿病状态而与不同部位特异性癌症存在差异。采用香港电子健康档案进行回顾性队列研究。在1997年至2021年期间使用公共医疗保健服务、有完整实验室记录且无癌症病史的患者被纳入研究对象。患者随访至2021年12月31日。使用Cox回归评估与每个部位特异性癌症(结肠和直肠、肝脏、胰腺、膀胱、肾脏、胃和肺)的相关性。共纳入197906例患者。与没有糖尿病的患者相比,主要患有2型糖尿病的患者患肝癌和胰腺癌的风险更高(肝脏ahr: 1.39, 95% CI = 1.11-1.75;胰腺ahr: 2.04, 95% CI = 1.40-2.96)。空腹血糖每增加1 mmol/L,患肝癌和胰腺癌的风险分别增加4%和8%。一般来说,低脂与几种恶性肿瘤(肝脏、胰腺、肾脏和胃)的风险增加有关。总之,糖尿病与肝癌和胰腺癌的风险升高有关。基线脂质和肝酶与不同器官部位的癌症风险可能因糖尿病状态而存在差异。
本文章由计算机程序翻译,如有差异,请以英文原文为准。

Association Between Diabetes and Site-Specific Cancer Risk: A Population-Based Cohort Study on the Differential Role of Metabolic Profiles.

Association Between Diabetes and Site-Specific Cancer Risk: A Population-Based Cohort Study on the Differential Role of Metabolic Profiles.

Association Between Diabetes and Site-Specific Cancer Risk: A Population-Based Cohort Study on the Differential Role of Metabolic Profiles.

This study is aimed at investigating (i) whether diabetes is associated with each site-specific cancer and (ii) whether metabolic factors (lipids and liver enzyme) are differentially linked to different site-specific cancers by diabetes status. A retrospective cohort study was performed using electronic health records of Hong Kong. Patients who utilized public healthcare services between the year 1997 and 2021 with complete laboratory records and no cancer history were included. Patients were followed up until December 31, 2021. The associations with each site-specific cancer (colon and rectum, liver, pancreas, bladder, kidney, stomach, and lung) were assessed using Cox regression. A total of 197,906 patients were included. Patients with primarily Type 2 diabetes had a higher risk of developing liver and pancreatic cancers (aHRs for liver: 1.39, 95% CI = 1.11-1.75; pancreas: 2.04, 95% CI = 1.40-2.96) when compared to those without diabetes. Each 1 mmol/L increase in fasting glucose was associated with a 4% and 8% elevated risk of developing liver and pancreatic cancers, respectively. In general, lower lipids were linked to an increased risk of several malignancies (liver, pancreas, kidney, and stomach). In conclusion, diabetes is associated with an elevated risk of liver and pancreatic cancers. Baseline lipids and liver enzyme could be differentially linked to the risk of cancers at different organ sites by diabetes status.

求助全文
通过发布文献求助,成功后即可免费获取论文全文。 去求助
来源期刊
Journal of Diabetes Research
Journal of Diabetes Research ENDOCRINOLOGY & METABOLISM-MEDICINE, RESEARCH & EXPERIMENTAL
CiteScore
8.40
自引率
2.30%
发文量
152
审稿时长
14 weeks
期刊介绍: Journal of Diabetes Research is a peer-reviewed, Open Access journal that publishes research articles, review articles, and clinical studies related to type 1 and type 2 diabetes. The journal welcomes submissions focusing on the epidemiology, etiology, pathogenesis, management, and prevention of diabetes, as well as associated complications, such as diabetic retinopathy, neuropathy and nephropathy.
×
引用
GB/T 7714-2015
复制
MLA
复制
APA
复制
导出至
BibTeX EndNote RefMan NoteFirst NoteExpress
×
提示
您的信息不完整,为了账户安全,请先补充。
现在去补充
×
提示
您因"违规操作"
具体请查看互助需知
我知道了
×
提示
确定
请完成安全验证×
copy
已复制链接
快去分享给好友吧!
我知道了
右上角分享
点击右上角分享
0
联系我们:info@booksci.cn Book学术提供免费学术资源搜索服务,方便国内外学者检索中英文文献。致力于提供最便捷和优质的服务体验。 Copyright © 2023 布克学术 All rights reserved.
京ICP备2023020795号-1
ghs 京公网安备 11010802042870号
Book学术文献互助
Book学术文献互助群
群 号:604180095
Book学术官方微信