预测乳腺癌幸存者自我效能的机器学习方法。

IF 3.8 3区 医学 Q2 MEDICAL INFORMATICS
İsmail Toygar, Su Özgür, Gülcan Bağçivan, Ezgi Karaçam, Hilal Benzer, Ferda Akyüz Özdemir, Halise Taşkın Duman, Özlem Ovayolu
{"title":"预测乳腺癌幸存者自我效能的机器学习方法。","authors":"İsmail Toygar, Su Özgür, Gülcan Bağçivan, Ezgi Karaçam, Hilal Benzer, Ferda Akyüz Özdemir, Halise Taşkın Duman, Özlem Ovayolu","doi":"10.1186/s12911-025-03155-9","DOIUrl":null,"url":null,"abstract":"<p><strong>Purpose: </strong>To determine predictors of self-efficacy in breast cancer survivors and identify vulnerable groups.</p><p><strong>Methods: </strong>This descriptive study was conducted between November 2023 and April 2024 at three hospitals in Türkiye and involved 430 breast cancer survivors. Data were collected through face-to-face surveys using a patient identification form and the Breast Cancer Survivor Self-Efficacy Scale. This study identified patient characteristics that indicate a tendency towards higher self-efficacy using four machine learning models; Logistic Regression (LR), Random Forest (RF), Support Vector Machine (SVM), XGBoost (XGB).</p><p><strong>Results: </strong>The mean age of participants was 50.7 ± 11.5 years. Majority of the participants (n = 425) were female. AUC values were used as ranker for the machine learning models. The ranks of the models were as follows; logistic regression model (0.715), RF (0.710), SVM (0.704), and XGBoost (0.694). Education level ranked first in the LR (0.3874), RF (0.3290), and SVM (0.1250) models, and was the second most important variable in the XGB (0.2327) model. Conversely, the cancer stage stood out in the LR (0.2466) and RF (0.1935) models, ranking third and fourth, respectively, while it ranked third in SVM (0.0683) and fourth in XGB (0.1872). Additionally, comorbidity ranked third in importance in the LR (0.2213) and RF (0.1681) models, but second in SVM (0.0705) and seventh in XGB (0.1393).</p><p><strong>Conclusion: </strong>The study demonstrated that the self-efficacy of breast cancer survivors was associated with their sociodemographic and medical characteristics. These characteristics may assist healthcare professionals in enhancing the care provided to breast cancer survivors. It is of the utmost importance to consider the aforementioned patient group as being vulnerable with regard to breast cancer survivor self-efficacy. There is a clear need for a focus on this vulnerable cohort.</p>","PeriodicalId":9340,"journal":{"name":"BMC Medical Informatics and Decision Making","volume":"25 1","pages":"313"},"PeriodicalIF":3.8000,"publicationDate":"2025-08-19","publicationTypes":"Journal Article","fieldsOfStudy":null,"isOpenAccess":false,"openAccessPdf":"https://www.ncbi.nlm.nih.gov/pmc/articles/PMC12366306/pdf/","citationCount":"0","resultStr":"{\"title\":\"A machine learning approach to predict self-efficacy in breast cancer survivors.\",\"authors\":\"İsmail Toygar, Su Özgür, Gülcan Bağçivan, Ezgi Karaçam, Hilal Benzer, Ferda Akyüz Özdemir, Halise Taşkın Duman, Özlem Ovayolu\",\"doi\":\"10.1186/s12911-025-03155-9\",\"DOIUrl\":null,\"url\":null,\"abstract\":\"<p><strong>Purpose: </strong>To determine predictors of self-efficacy in breast cancer survivors and identify vulnerable groups.</p><p><strong>Methods: </strong>This descriptive study was conducted between November 2023 and April 2024 at three hospitals in Türkiye and involved 430 breast cancer survivors. Data were collected through face-to-face surveys using a patient identification form and the Breast Cancer Survivor Self-Efficacy Scale. This study identified patient characteristics that indicate a tendency towards higher self-efficacy using four machine learning models; Logistic Regression (LR), Random Forest (RF), Support Vector Machine (SVM), XGBoost (XGB).</p><p><strong>Results: </strong>The mean age of participants was 50.7 ± 11.5 years. Majority of the participants (n = 425) were female. AUC values were used as ranker for the machine learning models. The ranks of the models were as follows; logistic regression model (0.715), RF (0.710), SVM (0.704), and XGBoost (0.694). Education level ranked first in the LR (0.3874), RF (0.3290), and SVM (0.1250) models, and was the second most important variable in the XGB (0.2327) model. Conversely, the cancer stage stood out in the LR (0.2466) and RF (0.1935) models, ranking third and fourth, respectively, while it ranked third in SVM (0.0683) and fourth in XGB (0.1872). Additionally, comorbidity ranked third in importance in the LR (0.2213) and RF (0.1681) models, but second in SVM (0.0705) and seventh in XGB (0.1393).</p><p><strong>Conclusion: </strong>The study demonstrated that the self-efficacy of breast cancer survivors was associated with their sociodemographic and medical characteristics. These characteristics may assist healthcare professionals in enhancing the care provided to breast cancer survivors. It is of the utmost importance to consider the aforementioned patient group as being vulnerable with regard to breast cancer survivor self-efficacy. There is a clear need for a focus on this vulnerable cohort.</p>\",\"PeriodicalId\":9340,\"journal\":{\"name\":\"BMC Medical Informatics and Decision Making\",\"volume\":\"25 1\",\"pages\":\"313\"},\"PeriodicalIF\":3.8000,\"publicationDate\":\"2025-08-19\",\"publicationTypes\":\"Journal Article\",\"fieldsOfStudy\":null,\"isOpenAccess\":false,\"openAccessPdf\":\"https://www.ncbi.nlm.nih.gov/pmc/articles/PMC12366306/pdf/\",\"citationCount\":\"0\",\"resultStr\":null,\"platform\":\"Semanticscholar\",\"paperid\":null,\"PeriodicalName\":\"BMC Medical Informatics and Decision Making\",\"FirstCategoryId\":\"3\",\"ListUrlMain\":\"https://doi.org/10.1186/s12911-025-03155-9\",\"RegionNum\":3,\"RegionCategory\":\"医学\",\"ArticlePicture\":[],\"TitleCN\":null,\"AbstractTextCN\":null,\"PMCID\":null,\"EPubDate\":\"\",\"PubModel\":\"\",\"JCR\":\"Q2\",\"JCRName\":\"MEDICAL INFORMATICS\",\"Score\":null,\"Total\":0}","platform":"Semanticscholar","paperid":null,"PeriodicalName":"BMC Medical Informatics and Decision Making","FirstCategoryId":"3","ListUrlMain":"https://doi.org/10.1186/s12911-025-03155-9","RegionNum":3,"RegionCategory":"医学","ArticlePicture":[],"TitleCN":null,"AbstractTextCN":null,"PMCID":null,"EPubDate":"","PubModel":"","JCR":"Q2","JCRName":"MEDICAL INFORMATICS","Score":null,"Total":0}
引用次数: 0

摘要

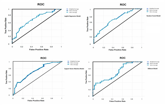
目的:确定乳腺癌幸存者自我效能感的预测因素并识别弱势群体。方法:这项描述性研究于2023年11月至2024年4月在基耶省的三家医院进行,涉及430名乳腺癌幸存者。数据是通过面对面的调查收集的,使用患者身份表和乳腺癌幸存者自我效能量表。本研究使用四种机器学习模型确定了表明更高自我效能倾向的患者特征;逻辑回归(LR),随机森林(RF),支持向量机(SVM), XGBoost (XGB)。结果:参与者平均年龄为50.7±11.5岁。大多数参与者(n = 425)是女性。AUC值被用作机器学习模型的排名。模型的等级如下:logistic回归模型(0.715),RF (0.710), SVM (0.704), XGBoost(0.694)。教育水平在LR(0.3874)、RF(0.3290)和SVM(0.1250)模型中排名第一,在XGB(0.2327)模型中排名第二。相反,癌症分期在LR(0.2466)和RF(0.1935)模型中分别排名第三和第四,而在SVM(0.0683)和XGB(0.1872)模型中排名第三和第四。此外,共病的重要性在LR(0.2213)和RF(0.1681)模型中排名第三,在SVM(0.0705)模型中排名第二,在XGB模型中排名第七(0.1393)。结论:研究表明,乳腺癌幸存者的自我效能感与其社会人口学特征和医学特征有关。这些特征可以帮助医疗保健专业人员加强对乳腺癌幸存者的护理。考虑到上述患者群体在乳腺癌幸存者自我效能方面是脆弱的,这是至关重要的。显然有必要关注这一弱势群体。
本文章由计算机程序翻译,如有差异,请以英文原文为准。

A machine learning approach to predict self-efficacy in breast cancer survivors.

A machine learning approach to predict self-efficacy in breast cancer survivors.

A machine learning approach to predict self-efficacy in breast cancer survivors.

Purpose: To determine predictors of self-efficacy in breast cancer survivors and identify vulnerable groups.

Methods: This descriptive study was conducted between November 2023 and April 2024 at three hospitals in Türkiye and involved 430 breast cancer survivors. Data were collected through face-to-face surveys using a patient identification form and the Breast Cancer Survivor Self-Efficacy Scale. This study identified patient characteristics that indicate a tendency towards higher self-efficacy using four machine learning models; Logistic Regression (LR), Random Forest (RF), Support Vector Machine (SVM), XGBoost (XGB).

Results: The mean age of participants was 50.7 ± 11.5 years. Majority of the participants (n = 425) were female. AUC values were used as ranker for the machine learning models. The ranks of the models were as follows; logistic regression model (0.715), RF (0.710), SVM (0.704), and XGBoost (0.694). Education level ranked first in the LR (0.3874), RF (0.3290), and SVM (0.1250) models, and was the second most important variable in the XGB (0.2327) model. Conversely, the cancer stage stood out in the LR (0.2466) and RF (0.1935) models, ranking third and fourth, respectively, while it ranked third in SVM (0.0683) and fourth in XGB (0.1872). Additionally, comorbidity ranked third in importance in the LR (0.2213) and RF (0.1681) models, but second in SVM (0.0705) and seventh in XGB (0.1393).

Conclusion: The study demonstrated that the self-efficacy of breast cancer survivors was associated with their sociodemographic and medical characteristics. These characteristics may assist healthcare professionals in enhancing the care provided to breast cancer survivors. It is of the utmost importance to consider the aforementioned patient group as being vulnerable with regard to breast cancer survivor self-efficacy. There is a clear need for a focus on this vulnerable cohort.

求助全文
通过发布文献求助,成功后即可免费获取论文全文。 去求助
来源期刊
CiteScore
7.20
自引率
5.70%
发文量
297
审稿时长
1 months
期刊介绍: BMC Medical Informatics and Decision Making is an open access journal publishing original peer-reviewed research articles in relation to the design, development, implementation, use, and evaluation of health information technologies and decision-making for human health.
×
引用
GB/T 7714-2015
复制
MLA
复制
APA
复制
导出至
BibTeX EndNote RefMan NoteFirst NoteExpress
×
提示
您的信息不完整,为了账户安全,请先补充。
现在去补充
×
提示
您因"违规操作"
具体请查看互助需知
我知道了
×
提示
确定
请完成安全验证×
copy
已复制链接
快去分享给好友吧!
我知道了
右上角分享
点击右上角分享
0
联系我们:info@booksci.cn Book学术提供免费学术资源搜索服务,方便国内外学者检索中英文文献。致力于提供最便捷和优质的服务体验。 Copyright © 2023 布克学术 All rights reserved.
京ICP备2023020795号-1
ghs 京公网安备 11010802042870号
Book学术文献互助
Book学术文献互助群
群 号:604180095
Book学术官方微信