大学生受控自主神经扰动下心率变异性和瞳孔测量的可靠性和反应性。

IF 3.9 2区 心理学 Q1 PSYCHOLOGY, EXPERIMENTAL
Michael Matyevich, Michael I C Kingsley, Rodney Bice, Michael Mortimer, Ben Horan, Stefan Piantella, Bradley J Wright
{"title":"大学生受控自主神经扰动下心率变异性和瞳孔测量的可靠性和反应性。","authors":"Michael Matyevich, Michael I C Kingsley, Rodney Bice, Michael Mortimer, Ben Horan, Stefan Piantella, Bradley J Wright","doi":"10.3758/s13428-025-02793-1","DOIUrl":null,"url":null,"abstract":"<p><p>The aim of this test-retest reliability study was to evaluate the reliability and reactivity of heart rate variability (HRV) and pupillometry metrics under conditions with controlled cognitive stimulation and paced breathing within a virtual reality protocol. After habituation, 30 English-speaking university students completed a four-phase protocol on two occasions separated by 1 week. HRV and pupillometry were continuously measured during the following phases: baseline, cognitive testing, guided breathing with nature immersion, and spontaneous breathing with nature immersion. Strong day-to-day relative reliability was confirmed for both HRV (pooled ICC: 0.75 to 0.83) and pupillometry (pooled ICC: 0.66 to 0.87). HRV metrics of sympathovagal balance in the time, frequency, and non-linear domains showed reactivity with significant differences between all phases. Pupillometry metrics increased progressively from cognitive testing to guided breathing nature immersion to nature immersion, suggesting psychological rather than respiratory influences. Relatively large minimal detectable change values were determined across HRV (22 to 54% deviation from baseline) and pupillometry (33 to 88% deviation from baseline) metrics. Although the relatively large ratio limits of agreement and minimal detectable change values suggest that detecting systematic changes in these metrics over time might be difficult at the individual level, strong relative reliability supports the use of HRV and pupillometry metrics to detect differences in sympathovagal balance between groups. Additionally, the responsiveness of these metrics demonstrates the efficacy of the proposed virtual reality protocol in inducing detectable physiological reactivity across HRV and pupillometry metrics.</p>","PeriodicalId":8717,"journal":{"name":"Behavior Research Methods","volume":"57 9","pages":"267"},"PeriodicalIF":3.9000,"publicationDate":"2025-08-19","publicationTypes":"Journal Article","fieldsOfStudy":null,"isOpenAccess":false,"openAccessPdf":"https://www.ncbi.nlm.nih.gov/pmc/articles/PMC12364972/pdf/","citationCount":"0","resultStr":"{\"title\":\"Reliability and reactivity of heart rate variability and pupillometry in response to controlled autonomic perturbations in university students.\",\"authors\":\"Michael Matyevich, Michael I C Kingsley, Rodney Bice, Michael Mortimer, Ben Horan, Stefan Piantella, Bradley J Wright\",\"doi\":\"10.3758/s13428-025-02793-1\",\"DOIUrl\":null,\"url\":null,\"abstract\":\"<p><p>The aim of this test-retest reliability study was to evaluate the reliability and reactivity of heart rate variability (HRV) and pupillometry metrics under conditions with controlled cognitive stimulation and paced breathing within a virtual reality protocol. After habituation, 30 English-speaking university students completed a four-phase protocol on two occasions separated by 1 week. HRV and pupillometry were continuously measured during the following phases: baseline, cognitive testing, guided breathing with nature immersion, and spontaneous breathing with nature immersion. Strong day-to-day relative reliability was confirmed for both HRV (pooled ICC: 0.75 to 0.83) and pupillometry (pooled ICC: 0.66 to 0.87). HRV metrics of sympathovagal balance in the time, frequency, and non-linear domains showed reactivity with significant differences between all phases. Pupillometry metrics increased progressively from cognitive testing to guided breathing nature immersion to nature immersion, suggesting psychological rather than respiratory influences. Relatively large minimal detectable change values were determined across HRV (22 to 54% deviation from baseline) and pupillometry (33 to 88% deviation from baseline) metrics. Although the relatively large ratio limits of agreement and minimal detectable change values suggest that detecting systematic changes in these metrics over time might be difficult at the individual level, strong relative reliability supports the use of HRV and pupillometry metrics to detect differences in sympathovagal balance between groups. Additionally, the responsiveness of these metrics demonstrates the efficacy of the proposed virtual reality protocol in inducing detectable physiological reactivity across HRV and pupillometry metrics.</p>\",\"PeriodicalId\":8717,\"journal\":{\"name\":\"Behavior Research Methods\",\"volume\":\"57 9\",\"pages\":\"267\"},\"PeriodicalIF\":3.9000,\"publicationDate\":\"2025-08-19\",\"publicationTypes\":\"Journal Article\",\"fieldsOfStudy\":null,\"isOpenAccess\":false,\"openAccessPdf\":\"https://www.ncbi.nlm.nih.gov/pmc/articles/PMC12364972/pdf/\",\"citationCount\":\"0\",\"resultStr\":null,\"platform\":\"Semanticscholar\",\"paperid\":null,\"PeriodicalName\":\"Behavior Research Methods\",\"FirstCategoryId\":\"102\",\"ListUrlMain\":\"https://doi.org/10.3758/s13428-025-02793-1\",\"RegionNum\":2,\"RegionCategory\":\"心理学\",\"ArticlePicture\":[],\"TitleCN\":null,\"AbstractTextCN\":null,\"PMCID\":null,\"EPubDate\":\"\",\"PubModel\":\"\",\"JCR\":\"Q1\",\"JCRName\":\"PSYCHOLOGY, EXPERIMENTAL\",\"Score\":null,\"Total\":0}","platform":"Semanticscholar","paperid":null,"PeriodicalName":"Behavior Research Methods","FirstCategoryId":"102","ListUrlMain":"https://doi.org/10.3758/s13428-025-02793-1","RegionNum":2,"RegionCategory":"心理学","ArticlePicture":[],"TitleCN":null,"AbstractTextCN":null,"PMCID":null,"EPubDate":"","PubModel":"","JCR":"Q1","JCRName":"PSYCHOLOGY, EXPERIMENTAL","Score":null,"Total":0}
引用次数: 0

摘要

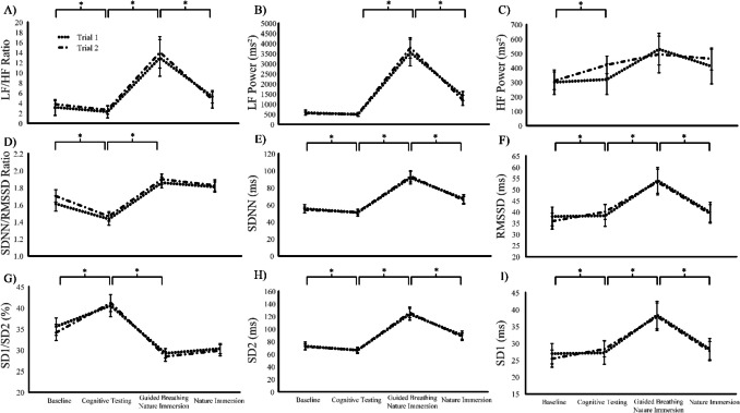
这项测试-重测可靠性研究的目的是评估在虚拟现实协议下控制认知刺激和有节奏呼吸条件下心率变异性(HRV)和瞳孔测量指标的可靠性和反应性。在适应后,30名说英语的大学生分两次完成了四个阶段的协议,每次间隔一周。在基线、认知测试、自然浸入式引导呼吸和自然浸入式自主呼吸阶段连续测量HRV和瞳孔测量。HRV(合并ICC: 0.75 - 0.83)和瞳孔测量(合并ICC: 0.66 - 0.87)的日常相对可靠性都得到了证实。交感迷走神经平衡的HRV指标在时间、频率和非线性域均表现出反应性,各阶段间差异显著。瞳孔测量指标从认知测试到引导呼吸自然沉浸再到自然沉浸,逐渐增加,表明心理影响而不是呼吸影响。在HRV(与基线偏差22%至54%)和瞳孔测量(与基线偏差33%至88%)指标中确定了相对较大的最小可检测变化值。尽管相对较大的一致性比例限制和最小的可检测变化值表明,在个体水平上检测这些指标随时间的系统性变化可能很困难,但较强的相对可靠性支持使用HRV和瞳孔测量指标来检测群体间交感迷走神经平衡的差异。此外,这些指标的响应性证明了所提出的虚拟现实方案在诱导HRV和瞳孔测量指标可检测的生理反应性方面的有效性。
本文章由计算机程序翻译,如有差异,请以英文原文为准。

Reliability and reactivity of heart rate variability and pupillometry in response to controlled autonomic perturbations in university students.

Reliability and reactivity of heart rate variability and pupillometry in response to controlled autonomic perturbations in university students.

Reliability and reactivity of heart rate variability and pupillometry in response to controlled autonomic perturbations in university students.

Reliability and reactivity of heart rate variability and pupillometry in response to controlled autonomic perturbations in university students.

The aim of this test-retest reliability study was to evaluate the reliability and reactivity of heart rate variability (HRV) and pupillometry metrics under conditions with controlled cognitive stimulation and paced breathing within a virtual reality protocol. After habituation, 30 English-speaking university students completed a four-phase protocol on two occasions separated by 1 week. HRV and pupillometry were continuously measured during the following phases: baseline, cognitive testing, guided breathing with nature immersion, and spontaneous breathing with nature immersion. Strong day-to-day relative reliability was confirmed for both HRV (pooled ICC: 0.75 to 0.83) and pupillometry (pooled ICC: 0.66 to 0.87). HRV metrics of sympathovagal balance in the time, frequency, and non-linear domains showed reactivity with significant differences between all phases. Pupillometry metrics increased progressively from cognitive testing to guided breathing nature immersion to nature immersion, suggesting psychological rather than respiratory influences. Relatively large minimal detectable change values were determined across HRV (22 to 54% deviation from baseline) and pupillometry (33 to 88% deviation from baseline) metrics. Although the relatively large ratio limits of agreement and minimal detectable change values suggest that detecting systematic changes in these metrics over time might be difficult at the individual level, strong relative reliability supports the use of HRV and pupillometry metrics to detect differences in sympathovagal balance between groups. Additionally, the responsiveness of these metrics demonstrates the efficacy of the proposed virtual reality protocol in inducing detectable physiological reactivity across HRV and pupillometry metrics.

求助全文
通过发布文献求助,成功后即可免费获取论文全文。 去求助
来源期刊
CiteScore
10.30
自引率
9.30%
发文量
266
期刊介绍: Behavior Research Methods publishes articles concerned with the methods, techniques, and instrumentation of research in experimental psychology. The journal focuses particularly on the use of computer technology in psychological research. An annual special issue is devoted to this field.
×
引用
GB/T 7714-2015
复制
MLA
复制
APA
复制
导出至
BibTeX EndNote RefMan NoteFirst NoteExpress
×
提示
您的信息不完整,为了账户安全,请先补充。
现在去补充
×
提示
您因"违规操作"
具体请查看互助需知
我知道了
×
提示
确定
请完成安全验证×
copy
已复制链接
快去分享给好友吧!
我知道了
右上角分享
点击右上角分享
0
联系我们:info@booksci.cn Book学术提供免费学术资源搜索服务,方便国内外学者检索中英文文献。致力于提供最便捷和优质的服务体验。 Copyright © 2023 布克学术 All rights reserved.
京ICP备2023020795号-1
ghs 京公网安备 11010802042870号
Book学术文献互助
Book学术文献互助群
群 号:604180095
Book学术官方微信