术前胸肌指数预测非小细胞肺癌患者无远处转移生存:一项回顾性研究。

IF 3.2 3区 医学 Q2 RADIOLOGY, NUCLEAR MEDICINE & MEDICAL IMAGING
Zhihui Shi, Lin Wu, Dengke Jiang, Ruiling Yang, Rui Liao, Lizhu Liu, Ruimin You, Yanli Li, Xingxiang Dong, Dafu Zhang, Jing Wang, Xuewen Zhang, Xiaobo Chen, Zhenhui Li
{"title":"术前胸肌指数预测非小细胞肺癌患者无远处转移生存:一项回顾性研究。","authors":"Zhihui Shi, Lin Wu, Dengke Jiang, Ruiling Yang, Rui Liao, Lizhu Liu, Ruimin You, Yanli Li, Xingxiang Dong, Dafu Zhang, Jing Wang, Xuewen Zhang, Xiaobo Chen, Zhenhui Li","doi":"10.1186/s12880-025-01873-0","DOIUrl":null,"url":null,"abstract":"<p><strong>Background: </strong>Thoracic muscles contribute to respiration, is a crucial indicator for assessing functional recovery following lung resection. However, there is a lack of research on the long-term prognostic value of pectoralis muscle.</p><p><strong>Methods: </strong>Consecutive patients who underwent curative-intent resection for stage I to IIIA NSCLC between 2013 and 2018 at a cancer center were retrospectively identified. The Cox proportional hazard model was employed to analyze the correlation between pectoralis muscle index (PMI) and survival, with subgroup analyses conducted to explore potential heterogeneity among different subgroups. Finally, the relative influence of each parameter was compared using a gradient boosting model (GBM).</p><p><strong>Results: </strong>A total of 2110 patients (median (IQR) age 59 (52, 66) years) were evaluated. Kaplan-Meier survival analysis showed that the recurrence-free survival (RFS) and distant metastasis-free survival (DMFS) rate of patients in the high PMI group were higher than those in the low PMI group, all with P < 0.001. In the multivariable analysis, low PMI is still associated with shorter RFS (HR = 1.34, 95% CI: (1.10, 1.62), P = 0.004), DMFS (HR = 1.35, 95% CI: (1.11, 1.65), P = 0.003), lung MFS (HR = 1.47, 95% CI: (1.19, 1.81), P < 0.001) and bone MFS (HR = 1.38, 95% CI: (1.11, 1.73), P = 0.004). These associations were consistent in subgroup analysis of different gender, age, tumor stage, histologic type, and surgical approach group.</p><p><strong>Conclusions: </strong>Low PMI is significantly associated with worse distant metastasis-free survival (DMFS) and recurrence-free survival (RFS) in non-small cell lung cancer (NSCLC) patients, supporting its utility in refining preoperative risk stratification. When CT imaging lacks L3-level coverage, PMI offers a viable alternative for assessing muscle quality.</p>","PeriodicalId":9020,"journal":{"name":"BMC Medical Imaging","volume":"25 1","pages":"335"},"PeriodicalIF":3.2000,"publicationDate":"2025-08-19","publicationTypes":"Journal Article","fieldsOfStudy":null,"isOpenAccess":false,"openAccessPdf":"https://www.ncbi.nlm.nih.gov/pmc/articles/PMC12362906/pdf/","citationCount":"0","resultStr":"{\"title\":\"Preoperative pectoralis muscle index predicts distant metastasis-free survival in non-small cell lung cancer patients: a retrospective study.\",\"authors\":\"Zhihui Shi, Lin Wu, Dengke Jiang, Ruiling Yang, Rui Liao, Lizhu Liu, Ruimin You, Yanli Li, Xingxiang Dong, Dafu Zhang, Jing Wang, Xuewen Zhang, Xiaobo Chen, Zhenhui Li\",\"doi\":\"10.1186/s12880-025-01873-0\",\"DOIUrl\":null,\"url\":null,\"abstract\":\"<p><strong>Background: </strong>Thoracic muscles contribute to respiration, is a crucial indicator for assessing functional recovery following lung resection. However, there is a lack of research on the long-term prognostic value of pectoralis muscle.</p><p><strong>Methods: </strong>Consecutive patients who underwent curative-intent resection for stage I to IIIA NSCLC between 2013 and 2018 at a cancer center were retrospectively identified. The Cox proportional hazard model was employed to analyze the correlation between pectoralis muscle index (PMI) and survival, with subgroup analyses conducted to explore potential heterogeneity among different subgroups. Finally, the relative influence of each parameter was compared using a gradient boosting model (GBM).</p><p><strong>Results: </strong>A total of 2110 patients (median (IQR) age 59 (52, 66) years) were evaluated. Kaplan-Meier survival analysis showed that the recurrence-free survival (RFS) and distant metastasis-free survival (DMFS) rate of patients in the high PMI group were higher than those in the low PMI group, all with P < 0.001. In the multivariable analysis, low PMI is still associated with shorter RFS (HR = 1.34, 95% CI: (1.10, 1.62), P = 0.004), DMFS (HR = 1.35, 95% CI: (1.11, 1.65), P = 0.003), lung MFS (HR = 1.47, 95% CI: (1.19, 1.81), P < 0.001) and bone MFS (HR = 1.38, 95% CI: (1.11, 1.73), P = 0.004). These associations were consistent in subgroup analysis of different gender, age, tumor stage, histologic type, and surgical approach group.</p><p><strong>Conclusions: </strong>Low PMI is significantly associated with worse distant metastasis-free survival (DMFS) and recurrence-free survival (RFS) in non-small cell lung cancer (NSCLC) patients, supporting its utility in refining preoperative risk stratification. When CT imaging lacks L3-level coverage, PMI offers a viable alternative for assessing muscle quality.</p>\",\"PeriodicalId\":9020,\"journal\":{\"name\":\"BMC Medical Imaging\",\"volume\":\"25 1\",\"pages\":\"335\"},\"PeriodicalIF\":3.2000,\"publicationDate\":\"2025-08-19\",\"publicationTypes\":\"Journal Article\",\"fieldsOfStudy\":null,\"isOpenAccess\":false,\"openAccessPdf\":\"https://www.ncbi.nlm.nih.gov/pmc/articles/PMC12362906/pdf/\",\"citationCount\":\"0\",\"resultStr\":null,\"platform\":\"Semanticscholar\",\"paperid\":null,\"PeriodicalName\":\"BMC Medical Imaging\",\"FirstCategoryId\":\"3\",\"ListUrlMain\":\"https://doi.org/10.1186/s12880-025-01873-0\",\"RegionNum\":3,\"RegionCategory\":\"医学\",\"ArticlePicture\":[],\"TitleCN\":null,\"AbstractTextCN\":null,\"PMCID\":null,\"EPubDate\":\"\",\"PubModel\":\"\",\"JCR\":\"Q2\",\"JCRName\":\"RADIOLOGY, NUCLEAR MEDICINE & MEDICAL IMAGING\",\"Score\":null,\"Total\":0}","platform":"Semanticscholar","paperid":null,"PeriodicalName":"BMC Medical Imaging","FirstCategoryId":"3","ListUrlMain":"https://doi.org/10.1186/s12880-025-01873-0","RegionNum":3,"RegionCategory":"医学","ArticlePicture":[],"TitleCN":null,"AbstractTextCN":null,"PMCID":null,"EPubDate":"","PubModel":"","JCR":"Q2","JCRName":"RADIOLOGY, NUCLEAR MEDICINE & MEDICAL IMAGING","Score":null,"Total":0}
引用次数: 0

摘要

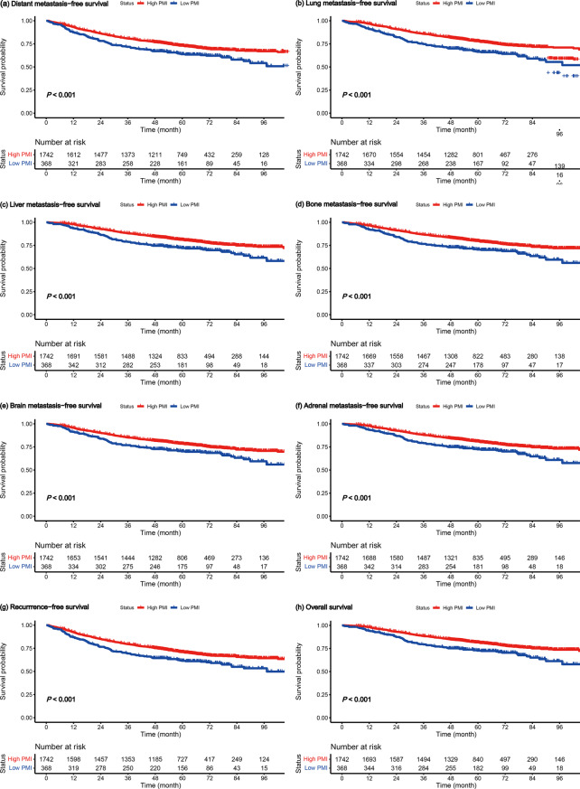
背景:胸肌参与呼吸,是评估肺切除术后功能恢复的重要指标。然而,关于胸肌的长期预后价值的研究缺乏。方法:回顾性分析2013年至2018年在癌症中心连续接受I期至IIIA期非小细胞肺癌治疗的患者。采用Cox比例风险模型分析胸肌指数(PMI)与生存率的相关性,并进行亚组分析,探讨不同亚组间潜在的异质性。最后,利用梯度增强模型(GBM)比较各参数的相对影响。结果:共评估了2110例患者(中位(IQR)年龄59(52,66)岁)。Kaplan-Meier生存分析显示,高PMI组患者的无复发生存率(RFS)和无远处转移生存率(DMFS)均高于低PMI组,均为P。结论:低PMI与非小细胞肺癌(NSCLC)患者较差的远端无转移生存率(DMFS)和无复发生存率(RFS)显著相关,支持其在完善术前风险分层中的应用。当CT成像缺乏l3水平覆盖时,PMI为评估肌肉质量提供了可行的替代方案。
本文章由计算机程序翻译,如有差异,请以英文原文为准。

Preoperative pectoralis muscle index predicts distant metastasis-free survival in non-small cell lung cancer patients: a retrospective study.

Preoperative pectoralis muscle index predicts distant metastasis-free survival in non-small cell lung cancer patients: a retrospective study.

Preoperative pectoralis muscle index predicts distant metastasis-free survival in non-small cell lung cancer patients: a retrospective study.

Preoperative pectoralis muscle index predicts distant metastasis-free survival in non-small cell lung cancer patients: a retrospective study.

Background: Thoracic muscles contribute to respiration, is a crucial indicator for assessing functional recovery following lung resection. However, there is a lack of research on the long-term prognostic value of pectoralis muscle.

Methods: Consecutive patients who underwent curative-intent resection for stage I to IIIA NSCLC between 2013 and 2018 at a cancer center were retrospectively identified. The Cox proportional hazard model was employed to analyze the correlation between pectoralis muscle index (PMI) and survival, with subgroup analyses conducted to explore potential heterogeneity among different subgroups. Finally, the relative influence of each parameter was compared using a gradient boosting model (GBM).

Results: A total of 2110 patients (median (IQR) age 59 (52, 66) years) were evaluated. Kaplan-Meier survival analysis showed that the recurrence-free survival (RFS) and distant metastasis-free survival (DMFS) rate of patients in the high PMI group were higher than those in the low PMI group, all with P < 0.001. In the multivariable analysis, low PMI is still associated with shorter RFS (HR = 1.34, 95% CI: (1.10, 1.62), P = 0.004), DMFS (HR = 1.35, 95% CI: (1.11, 1.65), P = 0.003), lung MFS (HR = 1.47, 95% CI: (1.19, 1.81), P < 0.001) and bone MFS (HR = 1.38, 95% CI: (1.11, 1.73), P = 0.004). These associations were consistent in subgroup analysis of different gender, age, tumor stage, histologic type, and surgical approach group.

Conclusions: Low PMI is significantly associated with worse distant metastasis-free survival (DMFS) and recurrence-free survival (RFS) in non-small cell lung cancer (NSCLC) patients, supporting its utility in refining preoperative risk stratification. When CT imaging lacks L3-level coverage, PMI offers a viable alternative for assessing muscle quality.

求助全文
通过发布文献求助,成功后即可免费获取论文全文。 去求助
来源期刊
BMC Medical Imaging
BMC Medical Imaging RADIOLOGY, NUCLEAR MEDICINE & MEDICAL IMAGING-
CiteScore
4.60
自引率
3.70%
发文量
198
审稿时长
27 weeks
期刊介绍: BMC Medical Imaging is an open access journal publishing original peer-reviewed research articles in the development, evaluation, and use of imaging techniques and image processing tools to diagnose and manage disease.
×
引用
GB/T 7714-2015
复制
MLA
复制
APA
复制
导出至
BibTeX EndNote RefMan NoteFirst NoteExpress
×
提示
您的信息不完整,为了账户安全,请先补充。
现在去补充
×
提示
您因"违规操作"
具体请查看互助需知
我知道了
×
提示
确定
请完成安全验证×
copy
已复制链接
快去分享给好友吧!
我知道了
右上角分享
点击右上角分享
0
联系我们:info@booksci.cn Book学术提供免费学术资源搜索服务,方便国内外学者检索中英文文献。致力于提供最便捷和优质的服务体验。 Copyright © 2023 布克学术 All rights reserved.
京ICP备2023020795号-1
ghs 京公网安备 11010802042870号
Book学术文献互助
Book学术文献互助群
群 号:604180095
Book学术官方微信