2-取代与2,9-二取代菲罗啉- niii -卤化物:溶液中的物种控制和结构解析。

IF 4.7 2区 化学 Q1 CHEMISTRY, INORGANIC & NUCLEAR
Ana Mateos-Calbet, Markus Leutzsch, Maurice van Gastel, Daniel J. SantaLucia and Josep Cornella*, 
{"title":"2-取代与2,9-二取代菲罗啉- niii -卤化物:溶液中的物种控制和结构解析。","authors":"Ana Mateos-Calbet,&nbsp;Markus Leutzsch,&nbsp;Maurice van Gastel,&nbsp;Daniel J. SantaLucia and Josep Cornella*,&nbsp;","doi":"10.1021/acs.inorgchem.5c02704","DOIUrl":null,"url":null,"abstract":"<p >Herein we study the structures of selected 2,9-disubstituted and 2-monosubstituted phenanthroline Ni<sup>II</sup>-dibromido and diiodido complexes via SC-XRD, SQUID magnetometry, UV–vis–NIR and DOSY NMR. In spite of the divergent speciation in solid state and in DMF solution, the Ni<sup>II</sup>-dibromido complexes of both mono- and disubstituted phenanthrolines converge to monomeric species in both THF and CDCl<sub>3</sub>. On the other hand, the nickel iodide complexes remain as monomers both in solid state and in solution, regardless of ligand substitution patterns.</p><p >The structures of selected 2,9-disubstituted and 2-monosubstituted phenanthroline Ni<sup>II</sup>-dibromido and diiodido complexes are studied via SC-XRD, SQUID magnetometry, UV−vis−NIR and DOSY NMR. The Ni<sup>II</sup>-dibromido complexes of both mono- and disubstituted phenanthrolines converge to monomeric species in both THF and CDCl<sub>3</sub>. The nickel iodide complexes remain as monomers both in solid state and in solution.</p>","PeriodicalId":40,"journal":{"name":"Inorganic Chemistry","volume":"64 34","pages":"17093–17097"},"PeriodicalIF":4.7000,"publicationDate":"2025-08-19","publicationTypes":"Journal Article","fieldsOfStudy":null,"isOpenAccess":false,"openAccessPdf":"https://pubs.acs.org/doi/pdf/10.1021/acs.inorgchem.5c02704","citationCount":"0","resultStr":"{\"title\":\"2-Substituted vs 2,9-Disubstituted Phenanthroline-NiII-halides: Speciation Control and Structural Elucidation in Solution\",\"authors\":\"Ana Mateos-Calbet,&nbsp;Markus Leutzsch,&nbsp;Maurice van Gastel,&nbsp;Daniel J. SantaLucia and Josep Cornella*,&nbsp;\",\"doi\":\"10.1021/acs.inorgchem.5c02704\",\"DOIUrl\":null,\"url\":null,\"abstract\":\"<p >Herein we study the structures of selected 2,9-disubstituted and 2-monosubstituted phenanthroline Ni<sup>II</sup>-dibromido and diiodido complexes via SC-XRD, SQUID magnetometry, UV–vis–NIR and DOSY NMR. In spite of the divergent speciation in solid state and in DMF solution, the Ni<sup>II</sup>-dibromido complexes of both mono- and disubstituted phenanthrolines converge to monomeric species in both THF and CDCl<sub>3</sub>. On the other hand, the nickel iodide complexes remain as monomers both in solid state and in solution, regardless of ligand substitution patterns.</p><p >The structures of selected 2,9-disubstituted and 2-monosubstituted phenanthroline Ni<sup>II</sup>-dibromido and diiodido complexes are studied via SC-XRD, SQUID magnetometry, UV−vis−NIR and DOSY NMR. The Ni<sup>II</sup>-dibromido complexes of both mono- and disubstituted phenanthrolines converge to monomeric species in both THF and CDCl<sub>3</sub>. The nickel iodide complexes remain as monomers both in solid state and in solution.</p>\",\"PeriodicalId\":40,\"journal\":{\"name\":\"Inorganic Chemistry\",\"volume\":\"64 34\",\"pages\":\"17093–17097\"},\"PeriodicalIF\":4.7000,\"publicationDate\":\"2025-08-19\",\"publicationTypes\":\"Journal Article\",\"fieldsOfStudy\":null,\"isOpenAccess\":false,\"openAccessPdf\":\"https://pubs.acs.org/doi/pdf/10.1021/acs.inorgchem.5c02704\",\"citationCount\":\"0\",\"resultStr\":null,\"platform\":\"Semanticscholar\",\"paperid\":null,\"PeriodicalName\":\"Inorganic Chemistry\",\"FirstCategoryId\":\"92\",\"ListUrlMain\":\"https://pubs.acs.org/doi/10.1021/acs.inorgchem.5c02704\",\"RegionNum\":2,\"RegionCategory\":\"化学\",\"ArticlePicture\":[],\"TitleCN\":null,\"AbstractTextCN\":null,\"PMCID\":null,\"EPubDate\":\"\",\"PubModel\":\"\",\"JCR\":\"Q1\",\"JCRName\":\"CHEMISTRY, INORGANIC & NUCLEAR\",\"Score\":null,\"Total\":0}","platform":"Semanticscholar","paperid":null,"PeriodicalName":"Inorganic Chemistry","FirstCategoryId":"92","ListUrlMain":"https://pubs.acs.org/doi/10.1021/acs.inorgchem.5c02704","RegionNum":2,"RegionCategory":"化学","ArticlePicture":[],"TitleCN":null,"AbstractTextCN":null,"PMCID":null,"EPubDate":"","PubModel":"","JCR":"Q1","JCRName":"CHEMISTRY, INORGANIC & NUCLEAR","Score":null,"Total":0}
引用次数: 0

摘要

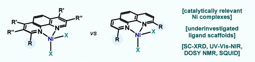
本文采用SC-XRD、SQUID磁强分析、UV-vis-NIR和DOSY NMR等方法,研究了选定的2,9-二取代和2-单取代菲罗啉niii -二溴和二碘配合物的结构。尽管在固态和DMF溶液中存在不同的物种形成,但在THF和CDCl3中,单取代和双取代菲罗啉的niii -二溴配合物都收敛为单体物种。另一方面,碘化镍配合物在固体和溶液中都保持单体状态,与配体取代模式无关。
本文章由计算机程序翻译,如有差异,请以英文原文为准。

2-Substituted vs 2,9-Disubstituted Phenanthroline-NiII-halides: Speciation Control and Structural Elucidation in Solution

2-Substituted vs 2,9-Disubstituted Phenanthroline-NiII-halides: Speciation Control and Structural Elucidation in Solution

Herein we study the structures of selected 2,9-disubstituted and 2-monosubstituted phenanthroline NiII-dibromido and diiodido complexes via SC-XRD, SQUID magnetometry, UV–vis–NIR and DOSY NMR. In spite of the divergent speciation in solid state and in DMF solution, the NiII-dibromido complexes of both mono- and disubstituted phenanthrolines converge to monomeric species in both THF and CDCl3. On the other hand, the nickel iodide complexes remain as monomers both in solid state and in solution, regardless of ligand substitution patterns.

The structures of selected 2,9-disubstituted and 2-monosubstituted phenanthroline NiII-dibromido and diiodido complexes are studied via SC-XRD, SQUID magnetometry, UV−vis−NIR and DOSY NMR. The NiII-dibromido complexes of both mono- and disubstituted phenanthrolines converge to monomeric species in both THF and CDCl3. The nickel iodide complexes remain as monomers both in solid state and in solution.

求助全文
通过发布文献求助,成功后即可免费获取论文全文。 去求助
来源期刊
Inorganic Chemistry
Inorganic Chemistry 化学-无机化学与核化学
CiteScore
7.60
自引率
13.00%
发文量
1960
审稿时长
1.9 months
期刊介绍: Inorganic Chemistry publishes fundamental studies in all phases of inorganic chemistry. Coverage includes experimental and theoretical reports on quantitative studies of structure and thermodynamics, kinetics, mechanisms of inorganic reactions, bioinorganic chemistry, and relevant aspects of organometallic chemistry, solid-state phenomena, and chemical bonding theory. Emphasis is placed on the synthesis, structure, thermodynamics, reactivity, spectroscopy, and bonding properties of significant new and known compounds.
×
引用
GB/T 7714-2015
复制
MLA
复制
APA
复制
导出至
BibTeX EndNote RefMan NoteFirst NoteExpress
×
提示
您的信息不完整,为了账户安全,请先补充。
现在去补充
×
提示
您因"违规操作"
具体请查看互助需知
我知道了
×
提示
确定
请完成安全验证×
copy
已复制链接
快去分享给好友吧!
我知道了
右上角分享
点击右上角分享
0
联系我们:info@booksci.cn Book学术提供免费学术资源搜索服务,方便国内外学者检索中英文文献。致力于提供最便捷和优质的服务体验。 Copyright © 2023 布克学术 All rights reserved.
京ICP备2023020795号-1
ghs 京公网安备 11010802042870号
Book学术文献互助
Book学术文献互助群
群 号:604180095
Book学术官方微信