新型共催化体系在聚对苯二甲酸乙酯废弃物化学回收中的应用

IF 2.8 3区 化学 Q3 POLYMER SCIENCE
Tarek Salem, Mustafa Elshahat, A. A. Saafan, El-Refaie Kenawy
{"title":"新型共催化体系在聚对苯二甲酸乙酯废弃物化学回收中的应用","authors":"Tarek Salem,&nbsp;Mustafa Elshahat,&nbsp;A. A. Saafan,&nbsp;El-Refaie Kenawy","doi":"10.1007/s13726-024-01429-z","DOIUrl":null,"url":null,"abstract":"<div><p>Glycolysis of various PET waste materials reduces environmental threats and recovers the starting raw materials, which in turn accelerates the process of rapid and selective depolymerization of PET waste. This chemical recycling process is crucial for the circular economy of plastic waste. The conversion of PET is carried out with two different types of alcoholysis solvents (ethylene glycol and diethylene glycol) in the presence of a new catalytic system (zinc acetate with dimethyl aniline as co-catalyst), aiming to maximize the conversion and degradation of PET waste for high-yield production of intermediate monomers. The recovered raw materials were used as precursors to prepare unsaturated polyester resins with maleic anhydride and styrene monomers as reactive diluents. In this study, two different grades of polyethylene terephthalate (PET) waste materials were depolymerized through glycolysis to produce bis-hydroxyethyl terephthalate (BHET) using ethylene glycol (EG) or bis (2(2-hydroxy ethoxy) ethyl) terephthalate (BHDET) using diethylene glycol (DEG). The effects of reaction temperature, amount of co-catalyst, glycolysis time, and glycol/PET ratio on the conversion of PET waste materials and the isolated yield of intermediate monomers BHET and BHDET were investigated. FTIR, <sup>1</sup>H NMR, <sup>13</sup>C NMR, GPC, DSC, and mechanical testing were used to characterize the properties of the reaction products in each step. It was found that the glycolysis of PET waste in the presence of a co-catalytic system proceeded faster than the zinc acetate-catalyzed reaction, as well as the unsaturated polyester resins synthesis.</p><h3>Graphical abstract</h3><div><figure><div><div><picture><source><img></source></picture></div></div></figure></div></div>","PeriodicalId":601,"journal":{"name":"Iranian Polymer Journal","volume":"34 9","pages":"1305 - 1319"},"PeriodicalIF":2.8000,"publicationDate":"2025-01-07","publicationTypes":"Journal Article","fieldsOfStudy":null,"isOpenAccess":false,"openAccessPdf":"","citationCount":"0","resultStr":"{\"title\":\"Chemical recycling of poly(ethylene terephthalate) waste using a new co-catalytic system\",\"authors\":\"Tarek Salem,&nbsp;Mustafa Elshahat,&nbsp;A. A. Saafan,&nbsp;El-Refaie Kenawy\",\"doi\":\"10.1007/s13726-024-01429-z\",\"DOIUrl\":null,\"url\":null,\"abstract\":\"<div><p>Glycolysis of various PET waste materials reduces environmental threats and recovers the starting raw materials, which in turn accelerates the process of rapid and selective depolymerization of PET waste. This chemical recycling process is crucial for the circular economy of plastic waste. The conversion of PET is carried out with two different types of alcoholysis solvents (ethylene glycol and diethylene glycol) in the presence of a new catalytic system (zinc acetate with dimethyl aniline as co-catalyst), aiming to maximize the conversion and degradation of PET waste for high-yield production of intermediate monomers. The recovered raw materials were used as precursors to prepare unsaturated polyester resins with maleic anhydride and styrene monomers as reactive diluents. In this study, two different grades of polyethylene terephthalate (PET) waste materials were depolymerized through glycolysis to produce bis-hydroxyethyl terephthalate (BHET) using ethylene glycol (EG) or bis (2(2-hydroxy ethoxy) ethyl) terephthalate (BHDET) using diethylene glycol (DEG). The effects of reaction temperature, amount of co-catalyst, glycolysis time, and glycol/PET ratio on the conversion of PET waste materials and the isolated yield of intermediate monomers BHET and BHDET were investigated. FTIR, <sup>1</sup>H NMR, <sup>13</sup>C NMR, GPC, DSC, and mechanical testing were used to characterize the properties of the reaction products in each step. It was found that the glycolysis of PET waste in the presence of a co-catalytic system proceeded faster than the zinc acetate-catalyzed reaction, as well as the unsaturated polyester resins synthesis.</p><h3>Graphical abstract</h3><div><figure><div><div><picture><source><img></source></picture></div></div></figure></div></div>\",\"PeriodicalId\":601,\"journal\":{\"name\":\"Iranian Polymer Journal\",\"volume\":\"34 9\",\"pages\":\"1305 - 1319\"},\"PeriodicalIF\":2.8000,\"publicationDate\":\"2025-01-07\",\"publicationTypes\":\"Journal Article\",\"fieldsOfStudy\":null,\"isOpenAccess\":false,\"openAccessPdf\":\"\",\"citationCount\":\"0\",\"resultStr\":null,\"platform\":\"Semanticscholar\",\"paperid\":null,\"PeriodicalName\":\"Iranian Polymer Journal\",\"FirstCategoryId\":\"92\",\"ListUrlMain\":\"https://link.springer.com/article/10.1007/s13726-024-01429-z\",\"RegionNum\":3,\"RegionCategory\":\"化学\",\"ArticlePicture\":[],\"TitleCN\":null,\"AbstractTextCN\":null,\"PMCID\":null,\"EPubDate\":\"\",\"PubModel\":\"\",\"JCR\":\"Q3\",\"JCRName\":\"POLYMER SCIENCE\",\"Score\":null,\"Total\":0}","platform":"Semanticscholar","paperid":null,"PeriodicalName":"Iranian Polymer Journal","FirstCategoryId":"92","ListUrlMain":"https://link.springer.com/article/10.1007/s13726-024-01429-z","RegionNum":3,"RegionCategory":"化学","ArticlePicture":[],"TitleCN":null,"AbstractTextCN":null,"PMCID":null,"EPubDate":"","PubModel":"","JCR":"Q3","JCRName":"POLYMER SCIENCE","Score":null,"Total":0}
引用次数: 0

摘要

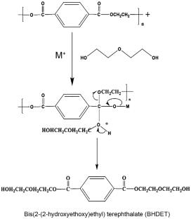
各种PET废料的糖酵解减少了对环境的威胁,回收了起始原料,从而加速了PET废料的快速、选择性解聚过程。这种化学回收过程对塑料废物的循环经济至关重要。在一种新的催化体系(醋酸锌与二甲基苯胺共催化剂)的存在下,用两种不同类型的醇解溶剂(乙二醇和二乙二醇)进行PET的转化,旨在最大限度地提高PET废物的转化和降解,以高产出中间单体。以回收的原料为前驱体,以马来酸酐和苯乙烯单体为反应稀释剂制备不饱和聚酯树脂。本研究利用乙二醇(EG)和二甘醇(DEG)对两种不同等级的聚对苯二甲酸乙二醇酯(PET)废料进行糖解聚,分别制备了二(2(2-羟基乙氧基)乙基)对苯二甲酸乙二醇酯(BHDET)和二(2(2-羟基乙氧基)乙基)对苯二甲酸乙二醇酯(BHDET)。考察了反应温度、助催化剂用量、糖酵解时间、乙二醇/PET比等因素对PET废料转化率及中间单体BHET和BHDET分离收率的影响。采用FTIR、1H NMR、13C NMR、GPC、DSC、力学性能等方法对反应产物进行表征。研究发现,在共催化体系存在下,PET废弃物的糖酵解比醋酸锌催化的反应和不饱和聚酯树脂的合成都要快。图形抽象
本文章由计算机程序翻译,如有差异,请以英文原文为准。

Chemical recycling of poly(ethylene terephthalate) waste using a new co-catalytic system

Chemical recycling of poly(ethylene terephthalate) waste using a new co-catalytic system

Chemical recycling of poly(ethylene terephthalate) waste using a new co-catalytic system

Glycolysis of various PET waste materials reduces environmental threats and recovers the starting raw materials, which in turn accelerates the process of rapid and selective depolymerization of PET waste. This chemical recycling process is crucial for the circular economy of plastic waste. The conversion of PET is carried out with two different types of alcoholysis solvents (ethylene glycol and diethylene glycol) in the presence of a new catalytic system (zinc acetate with dimethyl aniline as co-catalyst), aiming to maximize the conversion and degradation of PET waste for high-yield production of intermediate monomers. The recovered raw materials were used as precursors to prepare unsaturated polyester resins with maleic anhydride and styrene monomers as reactive diluents. In this study, two different grades of polyethylene terephthalate (PET) waste materials were depolymerized through glycolysis to produce bis-hydroxyethyl terephthalate (BHET) using ethylene glycol (EG) or bis (2(2-hydroxy ethoxy) ethyl) terephthalate (BHDET) using diethylene glycol (DEG). The effects of reaction temperature, amount of co-catalyst, glycolysis time, and glycol/PET ratio on the conversion of PET waste materials and the isolated yield of intermediate monomers BHET and BHDET were investigated. FTIR, 1H NMR, 13C NMR, GPC, DSC, and mechanical testing were used to characterize the properties of the reaction products in each step. It was found that the glycolysis of PET waste in the presence of a co-catalytic system proceeded faster than the zinc acetate-catalyzed reaction, as well as the unsaturated polyester resins synthesis.

Graphical abstract

求助全文
通过发布文献求助,成功后即可免费获取论文全文。 去求助
来源期刊
Iranian Polymer Journal
Iranian Polymer Journal 化学-高分子科学
CiteScore
4.90
自引率
9.70%
发文量
107
审稿时长
2.8 months
期刊介绍: Iranian Polymer Journal, a monthly peer-reviewed international journal, provides a continuous forum for the dissemination of the original research and latest advances made in science and technology of polymers, covering diverse areas of polymer synthesis, characterization, polymer physics, rubber, plastics and composites, processing and engineering, biopolymers, drug delivery systems and natural polymers to meet specific applications. Also contributions from nano-related fields are regarded especially important for its versatility in modern scientific development.
×
引用
GB/T 7714-2015
复制
MLA
复制
APA
复制
导出至
BibTeX EndNote RefMan NoteFirst NoteExpress
×
提示
您的信息不完整,为了账户安全,请先补充。
现在去补充
×
提示
您因"违规操作"
具体请查看互助需知
我知道了
×
提示
确定
请完成安全验证×
copy
已复制链接
快去分享给好友吧!
我知道了
右上角分享
点击右上角分享
0
联系我们:info@booksci.cn Book学术提供免费学术资源搜索服务,方便国内外学者检索中英文文献。致力于提供最便捷和优质的服务体验。 Copyright © 2023 布克学术 All rights reserved.
京ICP备2023020795号-1
ghs 京公网安备 11010802042870号
Book学术文献互助
Book学术文献互助群
群 号:604180095
Book学术官方微信