成人弱视的模式视觉诱发电位参考韩国兵务厅中央征兵体检办公室。

Korean journal of ophthalmology : KJO Pub Date : 2025-08-01 Epub Date: 2025-08-05 DOI:10.3341/kjo.2024.0149
Shin-Myeong Choi
{"title":"成人弱视的模式视觉诱发电位参考韩国兵务厅中央征兵体检办公室。","authors":"Shin-Myeong Choi","doi":"10.3341/kjo.2024.0149","DOIUrl":null,"url":null,"abstract":"<p><strong>Purpose: </strong>To evaluate visual evoked potential (VEP) as a diagnostic tool for amblyopia and determine threshold values for conscription grading.</p><p><strong>Methods: </strong>Between February 2023 and April 2024, 148 men (mean age, 21.68 ± 3.22 years; range, 19-25 years) who underwent conscription examination were retrospectively reviewed and categorized into three groups based on their best-corrected visual acuity (BCVA) of the eye with poorer vision using Snellen chart criteria: mild amblyopia (active duty [group A], BCVA >0.6), Moderate amblyopia (supplementary service [group B], 0.1< BCVA ≤0.6), or severe amblyopia (wartime labor [group C], BCVA ≤0.1). The primary outcome measures were VEP parameters selected to objectively classify amblyopia severity (groups A-C) and determine diagnostic thresholds relevant to military service grading. These included P100 amplitude, P100 latency, interocular amplitude difference ratio (IADR), interocular latency difference ratio (ILDR), as well as the ratios of P100 amplitude and latency between the amblyopic and nonamblyopic eyes.</p><p><strong>Results: </strong>With increasing amblyopia severity, P100 amplitude decreased (group A, 9.86 ± 2.87 μV; group B, 6.52 ± 1.96 μV; group C, 4.56 ± 2.00 μV), while P100 latency increased (group A, 114.79 ± 4.81 msec; group B, 117.67 ± 6.20 msec; group C, 122.35 ± 11.84 msec). Significant differences in P100 amplitude were observed among all three groups (p < 0.001). P100 latency showed a statistically significant difference between group C and the other groups (p < 0.001). Receiver operating characteristic analysis revealed that P100 amplitude (5.5 μV), IADR (0.4), and P100 amplitude ratio (0.6) effectively distinguished group A from groups B and C (area under the curve >0.8), while ILDR (0.08) differentiated group B from group C (area under the curve, 0.751).</p><p><strong>Conclusions: </strong>VEP measures, including P100 amplitude, IADR, and ILDR, show potential for amblyopia diagnosis and differentiation of conscription grades.</p>","PeriodicalId":101356,"journal":{"name":"Korean journal of ophthalmology : KJO","volume":"39 4","pages":"345-352"},"PeriodicalIF":0.0000,"publicationDate":"2025-08-01","publicationTypes":"Journal Article","fieldsOfStudy":null,"isOpenAccess":false,"openAccessPdf":"https://www.ncbi.nlm.nih.gov/pmc/articles/PMC12358720/pdf/","citationCount":"0","resultStr":"{\"title\":\"Pattern Visual Evoked Potential in Adult Amblyopia Referred to the Central Draft Physical Examination Office of the Military Manpower Administration in South Korea.\",\"authors\":\"Shin-Myeong Choi\",\"doi\":\"10.3341/kjo.2024.0149\",\"DOIUrl\":null,\"url\":null,\"abstract\":\"<p><strong>Purpose: </strong>To evaluate visual evoked potential (VEP) as a diagnostic tool for amblyopia and determine threshold values for conscription grading.</p><p><strong>Methods: </strong>Between February 2023 and April 2024, 148 men (mean age, 21.68 ± 3.22 years; range, 19-25 years) who underwent conscription examination were retrospectively reviewed and categorized into three groups based on their best-corrected visual acuity (BCVA) of the eye with poorer vision using Snellen chart criteria: mild amblyopia (active duty [group A], BCVA >0.6), Moderate amblyopia (supplementary service [group B], 0.1< BCVA ≤0.6), or severe amblyopia (wartime labor [group C], BCVA ≤0.1). The primary outcome measures were VEP parameters selected to objectively classify amblyopia severity (groups A-C) and determine diagnostic thresholds relevant to military service grading. These included P100 amplitude, P100 latency, interocular amplitude difference ratio (IADR), interocular latency difference ratio (ILDR), as well as the ratios of P100 amplitude and latency between the amblyopic and nonamblyopic eyes.</p><p><strong>Results: </strong>With increasing amblyopia severity, P100 amplitude decreased (group A, 9.86 ± 2.87 μV; group B, 6.52 ± 1.96 μV; group C, 4.56 ± 2.00 μV), while P100 latency increased (group A, 114.79 ± 4.81 msec; group B, 117.67 ± 6.20 msec; group C, 122.35 ± 11.84 msec). Significant differences in P100 amplitude were observed among all three groups (p < 0.001). P100 latency showed a statistically significant difference between group C and the other groups (p < 0.001). Receiver operating characteristic analysis revealed that P100 amplitude (5.5 μV), IADR (0.4), and P100 amplitude ratio (0.6) effectively distinguished group A from groups B and C (area under the curve >0.8), while ILDR (0.08) differentiated group B from group C (area under the curve, 0.751).</p><p><strong>Conclusions: </strong>VEP measures, including P100 amplitude, IADR, and ILDR, show potential for amblyopia diagnosis and differentiation of conscription grades.</p>\",\"PeriodicalId\":101356,\"journal\":{\"name\":\"Korean journal of ophthalmology : KJO\",\"volume\":\"39 4\",\"pages\":\"345-352\"},\"PeriodicalIF\":0.0000,\"publicationDate\":\"2025-08-01\",\"publicationTypes\":\"Journal Article\",\"fieldsOfStudy\":null,\"isOpenAccess\":false,\"openAccessPdf\":\"https://www.ncbi.nlm.nih.gov/pmc/articles/PMC12358720/pdf/\",\"citationCount\":\"0\",\"resultStr\":null,\"platform\":\"Semanticscholar\",\"paperid\":null,\"PeriodicalName\":\"Korean journal of ophthalmology : KJO\",\"FirstCategoryId\":\"1085\",\"ListUrlMain\":\"https://doi.org/10.3341/kjo.2024.0149\",\"RegionNum\":0,\"RegionCategory\":null,\"ArticlePicture\":[],\"TitleCN\":null,\"AbstractTextCN\":null,\"PMCID\":null,\"EPubDate\":\"2025/8/5 0:00:00\",\"PubModel\":\"Epub\",\"JCR\":\"\",\"JCRName\":\"\",\"Score\":null,\"Total\":0}","platform":"Semanticscholar","paperid":null,"PeriodicalName":"Korean journal of ophthalmology : KJO","FirstCategoryId":"1085","ListUrlMain":"https://doi.org/10.3341/kjo.2024.0149","RegionNum":0,"RegionCategory":null,"ArticlePicture":[],"TitleCN":null,"AbstractTextCN":null,"PMCID":null,"EPubDate":"2025/8/5 0:00:00","PubModel":"Epub","JCR":"","JCRName":"","Score":null,"Total":0}
引用次数: 0

摘要

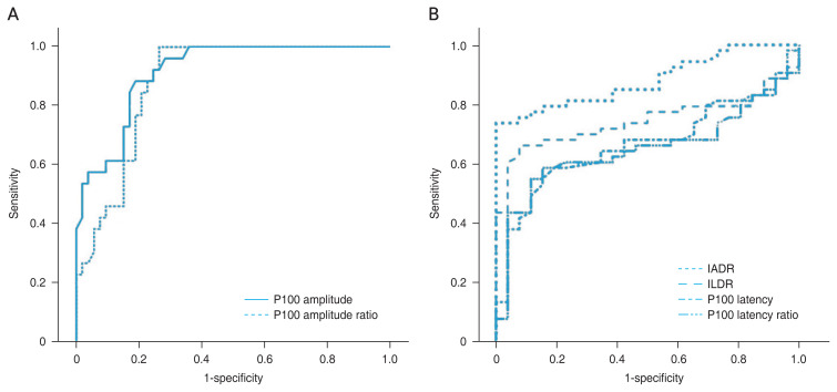
目的:评价视觉诱发电位(VEP)作为弱视的诊断工具,并确定征召分级的阈值。方法:对2023年2月至2024年4月接受征兵检查的148名男性(平均年龄21.68±3.22岁,年龄范围19-25岁)进行回顾性分析,根据视力较差的眼睛的最佳矫正视力(BCVA)按Snellen视力表标准分为轻度弱视(现役[A组],BCVA≤0.6)、中度弱视(补充服役[B组],0.1< BCVA≤0.6)、重度弱视(战时劳动[C组],BCVA≤0.1)3组。主要观察指标为选择VEP参数客观划分弱视严重程度(A-C组),并确定与兵役分级相关的诊断阈值。包括P100振幅、P100潜伏期、眼间振幅差比(IADR)、眼间潜伏期差比(ILDR)以及弱视和非弱视眼间P100振幅和潜伏期之比。结果:随着弱视程度增加,P100振幅下降(A组,9.86 ± 2.87μV; B组,6.52 ± 1.96μV; C组,4.56 ± 2.00μV),而P100延迟增加(A组,114.79 ±4.81 msec; B组, 117.67±6.20 msec; C组,122.35 ± 11.84毫秒)。三组间P100振幅差异有统计学意义(p < 0.001)。P100潜伏期C组与其他组比较差异有统计学意义(p < 0.001)。受试者工作特征分析显示,P100振幅(5.5 μV)、IADR(0.4)和P100振幅比(0.6)能有效区分A组与B、C组(曲线下面积>0.8),ILDR(0.08)能有效区分B组与C组(曲线下面积0.751)。结论:包括P100振幅、IADR和ILDR在内的VEP测量显示了弱视诊断和征兵等级区分的潜力。
本文章由计算机程序翻译,如有差异,请以英文原文为准。

Pattern Visual Evoked Potential in Adult Amblyopia Referred to the Central Draft Physical Examination Office of the Military Manpower Administration in South Korea.

Pattern Visual Evoked Potential in Adult Amblyopia Referred to the Central Draft Physical Examination Office of the Military Manpower Administration in South Korea.

Pattern Visual Evoked Potential in Adult Amblyopia Referred to the Central Draft Physical Examination Office of the Military Manpower Administration in South Korea.

Purpose: To evaluate visual evoked potential (VEP) as a diagnostic tool for amblyopia and determine threshold values for conscription grading.

Methods: Between February 2023 and April 2024, 148 men (mean age, 21.68 ± 3.22 years; range, 19-25 years) who underwent conscription examination were retrospectively reviewed and categorized into three groups based on their best-corrected visual acuity (BCVA) of the eye with poorer vision using Snellen chart criteria: mild amblyopia (active duty [group A], BCVA >0.6), Moderate amblyopia (supplementary service [group B], 0.1< BCVA ≤0.6), or severe amblyopia (wartime labor [group C], BCVA ≤0.1). The primary outcome measures were VEP parameters selected to objectively classify amblyopia severity (groups A-C) and determine diagnostic thresholds relevant to military service grading. These included P100 amplitude, P100 latency, interocular amplitude difference ratio (IADR), interocular latency difference ratio (ILDR), as well as the ratios of P100 amplitude and latency between the amblyopic and nonamblyopic eyes.

Results: With increasing amblyopia severity, P100 amplitude decreased (group A, 9.86 ± 2.87 μV; group B, 6.52 ± 1.96 μV; group C, 4.56 ± 2.00 μV), while P100 latency increased (group A, 114.79 ± 4.81 msec; group B, 117.67 ± 6.20 msec; group C, 122.35 ± 11.84 msec). Significant differences in P100 amplitude were observed among all three groups (p < 0.001). P100 latency showed a statistically significant difference between group C and the other groups (p < 0.001). Receiver operating characteristic analysis revealed that P100 amplitude (5.5 μV), IADR (0.4), and P100 amplitude ratio (0.6) effectively distinguished group A from groups B and C (area under the curve >0.8), while ILDR (0.08) differentiated group B from group C (area under the curve, 0.751).

Conclusions: VEP measures, including P100 amplitude, IADR, and ILDR, show potential for amblyopia diagnosis and differentiation of conscription grades.

求助全文
通过发布文献求助,成功后即可免费获取论文全文。 去求助
来源期刊
自引率
0.00%
发文量
0
×
引用
GB/T 7714-2015
复制
MLA
复制
APA
复制
导出至
BibTeX EndNote RefMan NoteFirst NoteExpress
×
提示
您的信息不完整,为了账户安全,请先补充。
现在去补充
×
提示
您因"违规操作"
具体请查看互助需知
我知道了
×
提示
确定
请完成安全验证×
copy
已复制链接
快去分享给好友吧!
我知道了
右上角分享
点击右上角分享
0
联系我们:info@booksci.cn Book学术提供免费学术资源搜索服务,方便国内外学者检索中英文文献。致力于提供最便捷和优质的服务体验。 Copyright © 2023 布克学术 All rights reserved.
京ICP备2023020795号-1
ghs 京公网安备 11010802042870号
Book学术文献互助
Book学术文献互助群
群 号:604180095
Book学术官方微信