机械瓣膜置换术对患有Fontan生理的成人患者是一种有效的缓解方法。

IF 1.2 Q4 CARDIAC & CARDIOVASCULAR SYSTEMS
Amr Moustafa, Ahmed T Abdelhalim, William R Miranda, Heidi M Connolly, Elizabeth H Stephens, Joseph A Dearani, Alexander C Egbe
{"title":"机械瓣膜置换术对患有Fontan生理的成人患者是一种有效的缓解方法。","authors":"Amr Moustafa, Ahmed T Abdelhalim, William R Miranda, Heidi M Connolly, Elizabeth H Stephens, Joseph A Dearani, Alexander C Egbe","doi":"10.1016/j.ijcchd.2025.100612","DOIUrl":null,"url":null,"abstract":"<p><strong>Background: </strong>Valve regurgitation is associated with systemic ventricular dysfunction and mortality in patients with Fontan palliation. Valve repair and valve replacement with bioprostheses have limited durability, and outcomes after valve replacement with mechanical prostheses are poorly defined. The study objectives were to assess: (1) Operative mortality, valve-related complications (stroke, mechanical valve thrombosis, major bleeding complication, prosthetic valve endocarditis, and valve reoperation), and late mortality/transplant. (2) Postoperative changes in ventricular volumes and ejection fraction; (3) Postoperative changes in the clinical indices of disease severity.</p><p><strong>Method: </strong>Retrospective cohort study of adults (age ≥18 years) with Fontan palliation who underwent isolated aortic or atrioventricular valve replacement at Mayo Clinic (2003-2023). Preoperative and postoperative evaluations (clinical evaluation, echocardiogram, biomarkers) were performed 6 months preoperatively and 6-24 months postoperatively, respectively.</p><p><strong>Results: </strong>Overall, 17 patients underwent isolated atrioventricular (N = 9) or aortic valve (N = 8) replacement with mechanical prosthesis (age 27 ± 8 years; 9 [53 %] males). There was no operative mortality. There was postoperative improvement in functional capacity (NYHA class), heart failure indices (NT proBNP), and hepatorenal function (MELD-XI score). There was a postoperative decrease in systemic ventricular volumes, without change in ejection fraction. The 10-year cumulative incidence of valve-related complications and death/transplant was 15 % and 18 %, respectively.</p><p><strong>Conclusions: </strong>Atrioventricular valve and aortic valve replacement with mechanical prostheses was associated with low (zero) operative mortality, low risk of valve-related complications, and clinical improvement. This suggests that valve replacement with mechanical prostheses may be an effective palliation in selected patients and may delay the need for transplant in this population.</p>","PeriodicalId":73429,"journal":{"name":"International journal of cardiology. Congenital heart disease","volume":"21 ","pages":"100612"},"PeriodicalIF":1.2000,"publicationDate":"2025-07-26","publicationTypes":"Journal Article","fieldsOfStudy":null,"isOpenAccess":false,"openAccessPdf":"https://www.ncbi.nlm.nih.gov/pmc/articles/PMC12356454/pdf/","citationCount":"0","resultStr":"{\"title\":\"Mechanical valve replacement in adults with Fontan physiology is an effective palliation in selected patients.\",\"authors\":\"Amr Moustafa, Ahmed T Abdelhalim, William R Miranda, Heidi M Connolly, Elizabeth H Stephens, Joseph A Dearani, Alexander C Egbe\",\"doi\":\"10.1016/j.ijcchd.2025.100612\",\"DOIUrl\":null,\"url\":null,\"abstract\":\"<p><strong>Background: </strong>Valve regurgitation is associated with systemic ventricular dysfunction and mortality in patients with Fontan palliation. Valve repair and valve replacement with bioprostheses have limited durability, and outcomes after valve replacement with mechanical prostheses are poorly defined. The study objectives were to assess: (1) Operative mortality, valve-related complications (stroke, mechanical valve thrombosis, major bleeding complication, prosthetic valve endocarditis, and valve reoperation), and late mortality/transplant. (2) Postoperative changes in ventricular volumes and ejection fraction; (3) Postoperative changes in the clinical indices of disease severity.</p><p><strong>Method: </strong>Retrospective cohort study of adults (age ≥18 years) with Fontan palliation who underwent isolated aortic or atrioventricular valve replacement at Mayo Clinic (2003-2023). Preoperative and postoperative evaluations (clinical evaluation, echocardiogram, biomarkers) were performed 6 months preoperatively and 6-24 months postoperatively, respectively.</p><p><strong>Results: </strong>Overall, 17 patients underwent isolated atrioventricular (N = 9) or aortic valve (N = 8) replacement with mechanical prosthesis (age 27 ± 8 years; 9 [53 %] males). There was no operative mortality. There was postoperative improvement in functional capacity (NYHA class), heart failure indices (NT proBNP), and hepatorenal function (MELD-XI score). There was a postoperative decrease in systemic ventricular volumes, without change in ejection fraction. The 10-year cumulative incidence of valve-related complications and death/transplant was 15 % and 18 %, respectively.</p><p><strong>Conclusions: </strong>Atrioventricular valve and aortic valve replacement with mechanical prostheses was associated with low (zero) operative mortality, low risk of valve-related complications, and clinical improvement. This suggests that valve replacement with mechanical prostheses may be an effective palliation in selected patients and may delay the need for transplant in this population.</p>\",\"PeriodicalId\":73429,\"journal\":{\"name\":\"International journal of cardiology. Congenital heart disease\",\"volume\":\"21 \",\"pages\":\"100612\"},\"PeriodicalIF\":1.2000,\"publicationDate\":\"2025-07-26\",\"publicationTypes\":\"Journal Article\",\"fieldsOfStudy\":null,\"isOpenAccess\":false,\"openAccessPdf\":\"https://www.ncbi.nlm.nih.gov/pmc/articles/PMC12356454/pdf/\",\"citationCount\":\"0\",\"resultStr\":null,\"platform\":\"Semanticscholar\",\"paperid\":null,\"PeriodicalName\":\"International journal of cardiology. Congenital heart disease\",\"FirstCategoryId\":\"1085\",\"ListUrlMain\":\"https://doi.org/10.1016/j.ijcchd.2025.100612\",\"RegionNum\":0,\"RegionCategory\":null,\"ArticlePicture\":[],\"TitleCN\":null,\"AbstractTextCN\":null,\"PMCID\":null,\"EPubDate\":\"2025/9/1 0:00:00\",\"PubModel\":\"eCollection\",\"JCR\":\"Q4\",\"JCRName\":\"CARDIAC & CARDIOVASCULAR SYSTEMS\",\"Score\":null,\"Total\":0}","platform":"Semanticscholar","paperid":null,"PeriodicalName":"International journal of cardiology. Congenital heart disease","FirstCategoryId":"1085","ListUrlMain":"https://doi.org/10.1016/j.ijcchd.2025.100612","RegionNum":0,"RegionCategory":null,"ArticlePicture":[],"TitleCN":null,"AbstractTextCN":null,"PMCID":null,"EPubDate":"2025/9/1 0:00:00","PubModel":"eCollection","JCR":"Q4","JCRName":"CARDIAC & CARDIOVASCULAR SYSTEMS","Score":null,"Total":0}
引用次数: 0

摘要

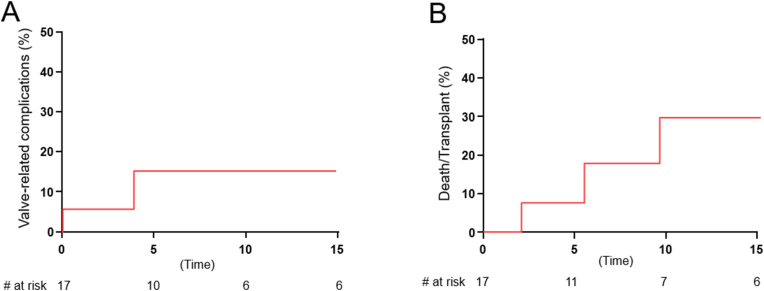
背景:Fontan姑息治疗患者的瓣膜返流与全身性心室功能障碍和死亡率相关。生物假体瓣膜修复和瓣膜置换术的耐久性有限,机械假体瓣膜置换术后的结果也不明确。研究目的是评估:(1)手术死亡率、瓣膜相关并发症(中风、机械性瓣膜血栓形成、大出血并发症、人工瓣膜心内膜炎和瓣膜再手术)和晚期死亡率/移植。(2)术后心室容积和射血分数的变化;(3)术后疾病严重程度临床指标的变化。方法:回顾性队列研究2003-2023年在梅奥诊所(Mayo Clinic)接受Fontan姑息治疗的孤立主动脉瓣或房室瓣置换术的成人(年龄≥18岁)。术前6个月和术后6-24个月分别进行术前和术后评价(临床评价、超声心动图、生物标志物)。结果:总的来说,17例患者接受了孤立房室(N = 9)或主动脉瓣(N = 8)机械假体置换术(年龄27±8岁;9例[53%]男性)。无手术死亡率。术后功能容量(NYHA分级)、心力衰竭指数(NT proBNP)和肝肾功能(MELD-XI评分)均有改善。术后全身心室容积下降,射血分数无变化。瓣膜相关并发症和死亡/移植的10年累积发生率分别为15%和18%。结论:采用机械假体替代房室瓣和主动脉瓣与低(零)手术死亡率、低瓣膜相关并发症风险和临床改善相关。这表明,在某些患者中,机械假体瓣膜置换术可能是一种有效的缓解方法,并可能延迟移植的需要。
本文章由计算机程序翻译,如有差异,请以英文原文为准。

Mechanical valve replacement in adults with Fontan physiology is an effective palliation in selected patients.

Mechanical valve replacement in adults with Fontan physiology is an effective palliation in selected patients.

Background: Valve regurgitation is associated with systemic ventricular dysfunction and mortality in patients with Fontan palliation. Valve repair and valve replacement with bioprostheses have limited durability, and outcomes after valve replacement with mechanical prostheses are poorly defined. The study objectives were to assess: (1) Operative mortality, valve-related complications (stroke, mechanical valve thrombosis, major bleeding complication, prosthetic valve endocarditis, and valve reoperation), and late mortality/transplant. (2) Postoperative changes in ventricular volumes and ejection fraction; (3) Postoperative changes in the clinical indices of disease severity.

Method: Retrospective cohort study of adults (age ≥18 years) with Fontan palliation who underwent isolated aortic or atrioventricular valve replacement at Mayo Clinic (2003-2023). Preoperative and postoperative evaluations (clinical evaluation, echocardiogram, biomarkers) were performed 6 months preoperatively and 6-24 months postoperatively, respectively.

Results: Overall, 17 patients underwent isolated atrioventricular (N = 9) or aortic valve (N = 8) replacement with mechanical prosthesis (age 27 ± 8 years; 9 [53 %] males). There was no operative mortality. There was postoperative improvement in functional capacity (NYHA class), heart failure indices (NT proBNP), and hepatorenal function (MELD-XI score). There was a postoperative decrease in systemic ventricular volumes, without change in ejection fraction. The 10-year cumulative incidence of valve-related complications and death/transplant was 15 % and 18 %, respectively.

Conclusions: Atrioventricular valve and aortic valve replacement with mechanical prostheses was associated with low (zero) operative mortality, low risk of valve-related complications, and clinical improvement. This suggests that valve replacement with mechanical prostheses may be an effective palliation in selected patients and may delay the need for transplant in this population.

求助全文
通过发布文献求助,成功后即可免费获取论文全文。 去求助
来源期刊
International journal of cardiology. Congenital heart disease
International journal of cardiology. Congenital heart disease Cardiology and Cardiovascular Medicine
自引率
0.00%
发文量
0
审稿时长
83 days
×
引用
GB/T 7714-2015
复制
MLA
复制
APA
复制
导出至
BibTeX EndNote RefMan NoteFirst NoteExpress
×
提示
您的信息不完整,为了账户安全,请先补充。
现在去补充
×
提示
您因"违规操作"
具体请查看互助需知
我知道了
×
提示
确定
请完成安全验证×
copy
已复制链接
快去分享给好友吧!
我知道了
右上角分享
点击右上角分享
0
联系我们:info@booksci.cn Book学术提供免费学术资源搜索服务,方便国内外学者检索中英文文献。致力于提供最便捷和优质的服务体验。 Copyright © 2023 布克学术 All rights reserved.
京ICP备2023020795号-1
ghs 京公网安备 11010802042870号
Book学术文献互助
Book学术文献互助群
群 号:604180095
Book学术官方微信