评估慢性肾脏疾病的心律失常风险:心电生理平衡指数的研究。

IF 1.5 4区 医学 Q2 MEDICINE, GENERAL & INTERNAL
Journal of Research in Medical Sciences Pub Date : 2025-07-15 eCollection Date: 2025-01-01 DOI:10.4103/jrms.jrms_67_25
Serdar Söner, Adnan Duha Cömert, Yusuf Hosoglu
{"title":"评估慢性肾脏疾病的心律失常风险:心电生理平衡指数的研究。","authors":"Serdar Söner, Adnan Duha Cömert, Yusuf Hosoglu","doi":"10.4103/jrms.jrms_67_25","DOIUrl":null,"url":null,"abstract":"<p><strong>Background: </strong>Chronic kidney disease (CKD) patients are at high risk of cardiovascular death and malignant arrhythmia. We aimed to determine at which CKD stage, the change in the index of cardiac-electrophysiological balance (ICEB) value is more evident. Consequently, we included patients across all CKD stages in our research.</p><p><strong>Materials and methods: </strong>A total of 429 patients were followed up at the nephrology and cardiology outpatient clinics between April and November 2023 enrolled in the study. Patients were categorized into five groups based on their glomerular filtration rate (GFR) - Group 1: GFR ≥90, Group 2: GFR = 60-89, Group 3: GFR = 30-59, Group 4: GFR = 15-29 and not on hemodialysis, and Group 5: GFR ≤15 and on hemodialysis. Electrocardiograms were recorded, and ICEB and corrected ICEB (ICEBc) values were calculated for all patients.</p><p><strong>Results: </strong>The mean age was 52.52 ± 14.58 years, and the total number of female patients was 235 (54.8%). In <i>post hoc</i> analysis, the difference of ICEBc value differed between Groups 1 and 5 (95% confidence interval: 0.0217-0.5226; <i>P</i> = 0.024). There were no statistically significant differences between Group 1 and the other groups. Corrected QT values were significantly different between Group 5 and Groups 1, 2, and 3 (<i>P</i> < 0.001, <i>P</i> < 0.001, and <i>P</i> = 0.005, respectively). The QT intervals were different between Group 1 and Groups 3, 4, and 5 (<i>P</i> = 0.003, <i>P</i> = 0.003, and <i>P</i> = 0.008, respectively).</p><p><strong>Conclusion: </strong>The study demonstrated that the ICEBc value gradually increased with the progression of CKD stages, with a statistically significant change observed in stage 5. However, there was no significant difference in ICEB values across stages.</p>","PeriodicalId":50062,"journal":{"name":"Journal of Research in Medical Sciences","volume":"30 ","pages":"36"},"PeriodicalIF":1.5000,"publicationDate":"2025-07-15","publicationTypes":"Journal Article","fieldsOfStudy":null,"isOpenAccess":false,"openAccessPdf":"https://www.ncbi.nlm.nih.gov/pmc/articles/PMC12352688/pdf/","citationCount":"0","resultStr":"{\"title\":\"Assessing arrhythmic risk in chronic kidney disease: A study of the index of cardiac-electrophysiological balance.\",\"authors\":\"Serdar Söner, Adnan Duha Cömert, Yusuf Hosoglu\",\"doi\":\"10.4103/jrms.jrms_67_25\",\"DOIUrl\":null,\"url\":null,\"abstract\":\"<p><strong>Background: </strong>Chronic kidney disease (CKD) patients are at high risk of cardiovascular death and malignant arrhythmia. We aimed to determine at which CKD stage, the change in the index of cardiac-electrophysiological balance (ICEB) value is more evident. Consequently, we included patients across all CKD stages in our research.</p><p><strong>Materials and methods: </strong>A total of 429 patients were followed up at the nephrology and cardiology outpatient clinics between April and November 2023 enrolled in the study. Patients were categorized into five groups based on their glomerular filtration rate (GFR) - Group 1: GFR ≥90, Group 2: GFR = 60-89, Group 3: GFR = 30-59, Group 4: GFR = 15-29 and not on hemodialysis, and Group 5: GFR ≤15 and on hemodialysis. Electrocardiograms were recorded, and ICEB and corrected ICEB (ICEBc) values were calculated for all patients.</p><p><strong>Results: </strong>The mean age was 52.52 ± 14.58 years, and the total number of female patients was 235 (54.8%). In <i>post hoc</i> analysis, the difference of ICEBc value differed between Groups 1 and 5 (95% confidence interval: 0.0217-0.5226; <i>P</i> = 0.024). There were no statistically significant differences between Group 1 and the other groups. Corrected QT values were significantly different between Group 5 and Groups 1, 2, and 3 (<i>P</i> < 0.001, <i>P</i> < 0.001, and <i>P</i> = 0.005, respectively). The QT intervals were different between Group 1 and Groups 3, 4, and 5 (<i>P</i> = 0.003, <i>P</i> = 0.003, and <i>P</i> = 0.008, respectively).</p><p><strong>Conclusion: </strong>The study demonstrated that the ICEBc value gradually increased with the progression of CKD stages, with a statistically significant change observed in stage 5. However, there was no significant difference in ICEB values across stages.</p>\",\"PeriodicalId\":50062,\"journal\":{\"name\":\"Journal of Research in Medical Sciences\",\"volume\":\"30 \",\"pages\":\"36\"},\"PeriodicalIF\":1.5000,\"publicationDate\":\"2025-07-15\",\"publicationTypes\":\"Journal Article\",\"fieldsOfStudy\":null,\"isOpenAccess\":false,\"openAccessPdf\":\"https://www.ncbi.nlm.nih.gov/pmc/articles/PMC12352688/pdf/\",\"citationCount\":\"0\",\"resultStr\":null,\"platform\":\"Semanticscholar\",\"paperid\":null,\"PeriodicalName\":\"Journal of Research in Medical Sciences\",\"FirstCategoryId\":\"3\",\"ListUrlMain\":\"https://doi.org/10.4103/jrms.jrms_67_25\",\"RegionNum\":4,\"RegionCategory\":\"医学\",\"ArticlePicture\":[],\"TitleCN\":null,\"AbstractTextCN\":null,\"PMCID\":null,\"EPubDate\":\"2025/1/1 0:00:00\",\"PubModel\":\"eCollection\",\"JCR\":\"Q2\",\"JCRName\":\"MEDICINE, GENERAL & INTERNAL\",\"Score\":null,\"Total\":0}","platform":"Semanticscholar","paperid":null,"PeriodicalName":"Journal of Research in Medical Sciences","FirstCategoryId":"3","ListUrlMain":"https://doi.org/10.4103/jrms.jrms_67_25","RegionNum":4,"RegionCategory":"医学","ArticlePicture":[],"TitleCN":null,"AbstractTextCN":null,"PMCID":null,"EPubDate":"2025/1/1 0:00:00","PubModel":"eCollection","JCR":"Q2","JCRName":"MEDICINE, GENERAL & INTERNAL","Score":null,"Total":0}
引用次数: 0

摘要

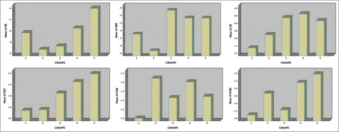
背景:慢性肾脏疾病(CKD)患者是心血管死亡和恶性心律失常的高危人群。我们旨在确定在哪个CKD阶段,心电生理平衡指数(ICEB)值的变化更为明显。因此,我们在研究中纳入了所有CKD阶段的患者。材料与方法:于2023年4月至11月在肾内科和心脏科门诊共随访429例患者。根据患者的肾小球滤过率(GFR)将患者分为五组:第1组:GFR≥90,第2组:GFR = 60-89,第3组:GFR = 30-59,第4组:GFR = 15-29且未进行血液透析,第5组:GFR≤15且进行血液透析。记录所有患者的心电图,计算icb和校正后的icb (ICEBc)值。结果:患者平均年龄为52.52±14.58岁,女性235例(54.8%)。事后分析,1组和5组ICEBc值差异有统计学意义(95%可信区间:0.0217-0.5226;P = 0.024)。第1组与其他组比较差异无统计学意义。校正后的QT值在第5组与第1、2、3组之间有显著差异(P < 0.001, P < 0.001, P = 0.005)。第1组与第3、4、5组间QT间期差异有统计学意义(P = 0.003、P = 0.003、P = 0.008)。结论:本研究显示ICEBc值随着CKD分期的进展逐渐升高,在第5期有统计学意义的变化。然而,不同阶段的ICEB值无显著差异。
本文章由计算机程序翻译,如有差异,请以英文原文为准。

Assessing arrhythmic risk in chronic kidney disease: A study of the index of cardiac-electrophysiological balance.

Assessing arrhythmic risk in chronic kidney disease: A study of the index of cardiac-electrophysiological balance.

Background: Chronic kidney disease (CKD) patients are at high risk of cardiovascular death and malignant arrhythmia. We aimed to determine at which CKD stage, the change in the index of cardiac-electrophysiological balance (ICEB) value is more evident. Consequently, we included patients across all CKD stages in our research.

Materials and methods: A total of 429 patients were followed up at the nephrology and cardiology outpatient clinics between April and November 2023 enrolled in the study. Patients were categorized into five groups based on their glomerular filtration rate (GFR) - Group 1: GFR ≥90, Group 2: GFR = 60-89, Group 3: GFR = 30-59, Group 4: GFR = 15-29 and not on hemodialysis, and Group 5: GFR ≤15 and on hemodialysis. Electrocardiograms were recorded, and ICEB and corrected ICEB (ICEBc) values were calculated for all patients.

Results: The mean age was 52.52 ± 14.58 years, and the total number of female patients was 235 (54.8%). In post hoc analysis, the difference of ICEBc value differed between Groups 1 and 5 (95% confidence interval: 0.0217-0.5226; P = 0.024). There were no statistically significant differences between Group 1 and the other groups. Corrected QT values were significantly different between Group 5 and Groups 1, 2, and 3 (P < 0.001, P < 0.001, and P = 0.005, respectively). The QT intervals were different between Group 1 and Groups 3, 4, and 5 (P = 0.003, P = 0.003, and P = 0.008, respectively).

Conclusion: The study demonstrated that the ICEBc value gradually increased with the progression of CKD stages, with a statistically significant change observed in stage 5. However, there was no significant difference in ICEB values across stages.

求助全文
通过发布文献求助,成功后即可免费获取论文全文。 去求助
来源期刊
Journal of Research in Medical Sciences
Journal of Research in Medical Sciences MEDICINE, GENERAL & INTERNAL-
CiteScore
2.60
自引率
6.20%
发文量
75
审稿时长
3-6 weeks
期刊介绍: Journal of Research in Medical Sciences, a publication of Isfahan University of Medical Sciences, is a peer-reviewed online continuous journal with print on demand compilation of issues published. The journal’s full text is available online at http://www.jmsjournal.net. The journal allows free access (Open Access) to its contents and permits authors to self-archive final accepted version of the articles on any OAI-compliant institutional / subject-based repository.
×
引用
GB/T 7714-2015
复制
MLA
复制
APA
复制
导出至
BibTeX EndNote RefMan NoteFirst NoteExpress
×
提示
您的信息不完整,为了账户安全,请先补充。
现在去补充
×
提示
您因"违规操作"
具体请查看互助需知
我知道了
×
提示
确定
请完成安全验证×
copy
已复制链接
快去分享给好友吧!
我知道了
右上角分享
点击右上角分享
0
联系我们:info@booksci.cn Book学术提供免费学术资源搜索服务,方便国内外学者检索中英文文献。致力于提供最便捷和优质的服务体验。 Copyright © 2023 布克学术 All rights reserved.
京ICP备2023020795号-1
ghs 京公网安备 11010802042870号
Book学术文献互助
Book学术文献互助群
群 号:604180095
Book学术官方微信