创伤、人格结构和精神病理学:心理动力学构念的制图。

IF 2.7 2区 医学 Q1 PSYCHIATRY
Jürgen Fuchshuber, Victor Blüml, Nestor Kapusta, Henriette Löffler-Stastka, Johanna Alexopoulos, Elisa Renner, Hugo Senra, Human-Friedrich Unterrainer
{"title":"创伤、人格结构和精神病理学:心理动力学构念的制图。","authors":"Jürgen Fuchshuber, Victor Blüml, Nestor Kapusta, Henriette Löffler-Stastka, Johanna Alexopoulos, Elisa Renner, Hugo Senra, Human-Friedrich Unterrainer","doi":"10.1186/s40479-025-00308-0","DOIUrl":null,"url":null,"abstract":"<p><strong>Background: </strong>In this study, network analysis technique is applied to dissect the links between personality organization, reflective functioning, attachment security, primary affective traits, childhood trauma and psychopathological symptoms.</p><p><strong>Methods: </strong>A total sample of 498 (77% female) participants from the general population was investigated. A cross-sectional network between personality organization [IPO-16], hypomentalizing [RFQ-6], attachment [ECR-RD8]), primary affective traits [BANPS-GL], depression, anxiety and somatization symptoms [BSI-18], addiction [WHO-ASSIST] and childhood trauma [CTQ] was estimated via the EBICglasso and relimp algorithm. Regularized partial correlation edge weights, node centrality, predictability, bridge centrality, relative importance and stability coefficients were analyzed.</p><p><strong>Results: </strong>We observed personality organization, SADNESS and hypomentalizing as the most influential personality constructs within the investigated network. Personality organization and hypomentalizing were also observed as nodes with the highest bridge centrality, signifying their potential relevance as mediator between trauma, affect and psychiatric symptom severity.</p><p><strong>Conclusions: </strong>The results enable a data-driven, in-depth examination of the complex and often reciprocal relations among psychopathological symptoms, childhood adversity and psychodynamic personality constructs. Our observations highlight critical interconnections among childhood trauma, primary affects, personality functioning and psychopathology and pinpoint personality organization, hypomentalizing and SADNESS as central psychodynamic personality constructs.</p>","PeriodicalId":48586,"journal":{"name":"Borderline Personality Disorder and Emotion Dysregulation","volume":"12 1","pages":"31"},"PeriodicalIF":2.7000,"publicationDate":"2025-08-18","publicationTypes":"Journal Article","fieldsOfStudy":null,"isOpenAccess":false,"openAccessPdf":"https://www.ncbi.nlm.nih.gov/pmc/articles/PMC12363119/pdf/","citationCount":"0","resultStr":"{\"title\":\"Trauma, personality structure and psychopathology: a cartography of psychodynamic constructs.\",\"authors\":\"Jürgen Fuchshuber, Victor Blüml, Nestor Kapusta, Henriette Löffler-Stastka, Johanna Alexopoulos, Elisa Renner, Hugo Senra, Human-Friedrich Unterrainer\",\"doi\":\"10.1186/s40479-025-00308-0\",\"DOIUrl\":null,\"url\":null,\"abstract\":\"<p><strong>Background: </strong>In this study, network analysis technique is applied to dissect the links between personality organization, reflective functioning, attachment security, primary affective traits, childhood trauma and psychopathological symptoms.</p><p><strong>Methods: </strong>A total sample of 498 (77% female) participants from the general population was investigated. A cross-sectional network between personality organization [IPO-16], hypomentalizing [RFQ-6], attachment [ECR-RD8]), primary affective traits [BANPS-GL], depression, anxiety and somatization symptoms [BSI-18], addiction [WHO-ASSIST] and childhood trauma [CTQ] was estimated via the EBICglasso and relimp algorithm. Regularized partial correlation edge weights, node centrality, predictability, bridge centrality, relative importance and stability coefficients were analyzed.</p><p><strong>Results: </strong>We observed personality organization, SADNESS and hypomentalizing as the most influential personality constructs within the investigated network. Personality organization and hypomentalizing were also observed as nodes with the highest bridge centrality, signifying their potential relevance as mediator between trauma, affect and psychiatric symptom severity.</p><p><strong>Conclusions: </strong>The results enable a data-driven, in-depth examination of the complex and often reciprocal relations among psychopathological symptoms, childhood adversity and psychodynamic personality constructs. Our observations highlight critical interconnections among childhood trauma, primary affects, personality functioning and psychopathology and pinpoint personality organization, hypomentalizing and SADNESS as central psychodynamic personality constructs.</p>\",\"PeriodicalId\":48586,\"journal\":{\"name\":\"Borderline Personality Disorder and Emotion Dysregulation\",\"volume\":\"12 1\",\"pages\":\"31\"},\"PeriodicalIF\":2.7000,\"publicationDate\":\"2025-08-18\",\"publicationTypes\":\"Journal Article\",\"fieldsOfStudy\":null,\"isOpenAccess\":false,\"openAccessPdf\":\"https://www.ncbi.nlm.nih.gov/pmc/articles/PMC12363119/pdf/\",\"citationCount\":\"0\",\"resultStr\":null,\"platform\":\"Semanticscholar\",\"paperid\":null,\"PeriodicalName\":\"Borderline Personality Disorder and Emotion Dysregulation\",\"FirstCategoryId\":\"3\",\"ListUrlMain\":\"https://doi.org/10.1186/s40479-025-00308-0\",\"RegionNum\":2,\"RegionCategory\":\"医学\",\"ArticlePicture\":[],\"TitleCN\":null,\"AbstractTextCN\":null,\"PMCID\":null,\"EPubDate\":\"\",\"PubModel\":\"\",\"JCR\":\"Q1\",\"JCRName\":\"PSYCHIATRY\",\"Score\":null,\"Total\":0}","platform":"Semanticscholar","paperid":null,"PeriodicalName":"Borderline Personality Disorder and Emotion Dysregulation","FirstCategoryId":"3","ListUrlMain":"https://doi.org/10.1186/s40479-025-00308-0","RegionNum":2,"RegionCategory":"医学","ArticlePicture":[],"TitleCN":null,"AbstractTextCN":null,"PMCID":null,"EPubDate":"","PubModel":"","JCR":"Q1","JCRName":"PSYCHIATRY","Score":null,"Total":0}
引用次数: 0

摘要

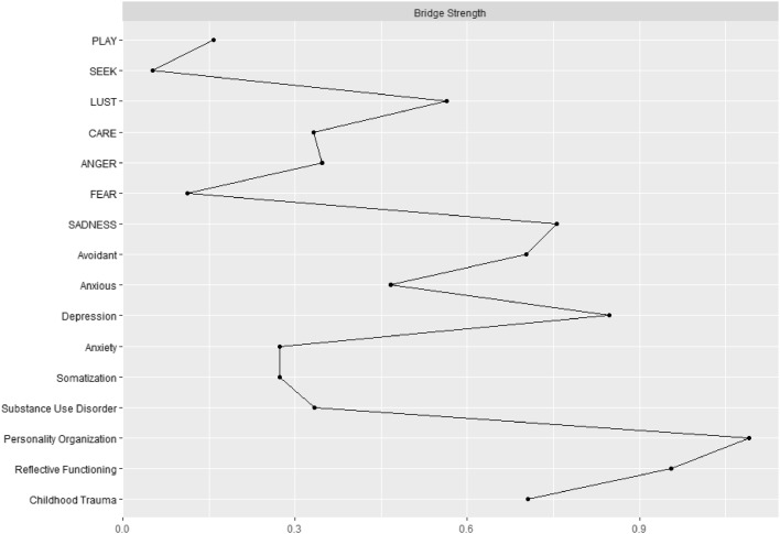
背景:本研究运用网络分析技术,剖析人格组织、反思功能、依恋安全、主要情感特质、童年创伤与精神病理症状之间的关系。方法:从普通人群中抽取498例(77%为女性)进行调查。通过EBICglasso和relimp算法估计人格组织[ico -16]、低精神状态[RFQ-6]、依恋[ECR-RD8]、主要情感特征[BANPS-GL]、抑郁、焦虑和躯体化症状[BSI-18]、成瘾[WHO-ASSIST]和童年创伤[CTQ]之间的横断面网络。分析了正则化偏相关边权、节点中心性、可预测性、桥梁中心性、相对重要性和稳定性系数。结果:我们观察到人格组织、悲伤和低形象化是被调查网络中最具影响力的人格构念。人格组织和低形象化也被观察到是具有最高桥中心性的节点,这表明它们在创伤、情感和精神症状严重程度之间具有潜在的中介作用。结论:研究结果使我们能够以数据为导向,深入研究精神病理症状、童年逆境和心理动力人格构建之间复杂且往往相互作用的关系。我们的观察强调了童年创伤、主要影响、人格功能和精神病理学之间的重要联系,并指出人格组织、低精神化和悲伤是核心的心理动力人格结构。
本文章由计算机程序翻译,如有差异,请以英文原文为准。

Trauma, personality structure and psychopathology: a cartography of psychodynamic constructs.

Trauma, personality structure and psychopathology: a cartography of psychodynamic constructs.

Trauma, personality structure and psychopathology: a cartography of psychodynamic constructs.

Trauma, personality structure and psychopathology: a cartography of psychodynamic constructs.

Background: In this study, network analysis technique is applied to dissect the links between personality organization, reflective functioning, attachment security, primary affective traits, childhood trauma and psychopathological symptoms.

Methods: A total sample of 498 (77% female) participants from the general population was investigated. A cross-sectional network between personality organization [IPO-16], hypomentalizing [RFQ-6], attachment [ECR-RD8]), primary affective traits [BANPS-GL], depression, anxiety and somatization symptoms [BSI-18], addiction [WHO-ASSIST] and childhood trauma [CTQ] was estimated via the EBICglasso and relimp algorithm. Regularized partial correlation edge weights, node centrality, predictability, bridge centrality, relative importance and stability coefficients were analyzed.

Results: We observed personality organization, SADNESS and hypomentalizing as the most influential personality constructs within the investigated network. Personality organization and hypomentalizing were also observed as nodes with the highest bridge centrality, signifying their potential relevance as mediator between trauma, affect and psychiatric symptom severity.

Conclusions: The results enable a data-driven, in-depth examination of the complex and often reciprocal relations among psychopathological symptoms, childhood adversity and psychodynamic personality constructs. Our observations highlight critical interconnections among childhood trauma, primary affects, personality functioning and psychopathology and pinpoint personality organization, hypomentalizing and SADNESS as central psychodynamic personality constructs.

求助全文
通过发布文献求助,成功后即可免费获取论文全文。 去求助
来源期刊
CiteScore
6.00
自引率
9.80%
发文量
30
审稿时长
28 weeks
期刊介绍: Borderline Personality Disorder and Emotion Dysregulation provides a platform for researchers and clinicians interested in borderline personality disorder (BPD) as a currently highly challenging psychiatric disorder. Emotion dysregulation is at the core of BPD but also stands on its own as a major pathological component of the underlying neurobiology of various other psychiatric disorders. The journal focuses on the psychological, social and neurobiological aspects of emotion dysregulation as well as epidemiology, phenomenology, pathophysiology, treatment, neurobiology, genetics, and animal models of BPD.
×
引用
GB/T 7714-2015
复制
MLA
复制
APA
复制
导出至
BibTeX EndNote RefMan NoteFirst NoteExpress
×
提示
您的信息不完整,为了账户安全,请先补充。
现在去补充
×
提示
您因"违规操作"
具体请查看互助需知
我知道了
×
提示
确定
请完成安全验证×
copy
已复制链接
快去分享给好友吧!
我知道了
右上角分享
点击右上角分享
0
联系我们:info@booksci.cn Book学术提供免费学术资源搜索服务,方便国内外学者检索中英文文献。致力于提供最便捷和优质的服务体验。 Copyright © 2023 布克学术 All rights reserved.
京ICP备2023020795号-1
ghs 京公网安备 11010802042870号
Book学术文献互助
Book学术文献互助群
群 号:604180095
Book学术官方微信