糖尿病视网膜病变患者炎性血浆蛋白的性别差异

IF 2.6 3区 医学 Q2 OPHTHALMOLOGY
Xinyi Chen, Alythia Vo, Wendy Yang, Joshua Wu, Daphne Yang, Matthew Huh, Ricardo Lamy, Jeremy D Keenan, Jay M Stewart
{"title":"糖尿病视网膜病变患者炎性血浆蛋白的性别差异","authors":"Xinyi Chen, Alythia Vo, Wendy Yang, Joshua Wu, Daphne Yang, Matthew Huh, Ricardo Lamy, Jeremy D Keenan, Jay M Stewart","doi":"10.1167/tvst.14.8.22","DOIUrl":null,"url":null,"abstract":"<p><strong>Purpose: </strong>To compare inflammatory protein levels in the plasma of men and women with nonproliferative diabetic retinopathy (NPDR).</p><p><strong>Methods: </strong>We recruited 74 NPDR patients (38 men, 36 women), 82 diabetic patients without retinopathy, and 20 patients without diabetes. Patients with intravitreal injections in the past four weeks, ocular comorbidities, active infection, or systemic vasculitis were excluded. We performed linear regression with plasma concentration of each protein as dependent variable and sex as predictor, adjusting for age, race and ethnicity, smoking status, hemoglobin A1c, insulin use, and diabetes duration. We plotted the concentration of inflammatory proteins against diabetes duration for men and women separately to assess for differences over time. We conducted similar analyses for the control groups.</p><p><strong>Results: </strong>Plasma concentrations of nine inflammatory proteins involved in DR progression were higher in NPDR men than in women. For most of these proteins, the plasma concentration was similar between men and women with fewer years of diabetes and exhibited higher levels in NPDR men with longer durations of diabetes. In those with ≥15 years of diabetes, sex differences in these inflammatory proteins were less apparent.</p><p><strong>Conclusions: </strong>We identified a variety of inflammatory proteins higher in the plasma of male NPDR patients than in female patients. We also found the differences to be more prominent in those who had five to 10 years of diabetes.</p><p><strong>Translational relevance: </strong>Differences in plasma inflammatory proteins could underlie the clinically observed sex differences in DR, and earlier years of diabetes might be a potential window for closer follow-up and therapeutic intervention.</p>","PeriodicalId":23322,"journal":{"name":"Translational Vision Science & Technology","volume":"14 8","pages":"22"},"PeriodicalIF":2.6000,"publicationDate":"2025-08-01","publicationTypes":"Journal Article","fieldsOfStudy":null,"isOpenAccess":false,"openAccessPdf":"https://www.ncbi.nlm.nih.gov/pmc/articles/PMC12369902/pdf/","citationCount":"0","resultStr":"{\"title\":\"Sex Differences in Inflammatory Plasma Proteins in Patients With Diabetic Retinopathy.\",\"authors\":\"Xinyi Chen, Alythia Vo, Wendy Yang, Joshua Wu, Daphne Yang, Matthew Huh, Ricardo Lamy, Jeremy D Keenan, Jay M Stewart\",\"doi\":\"10.1167/tvst.14.8.22\",\"DOIUrl\":null,\"url\":null,\"abstract\":\"<p><strong>Purpose: </strong>To compare inflammatory protein levels in the plasma of men and women with nonproliferative diabetic retinopathy (NPDR).</p><p><strong>Methods: </strong>We recruited 74 NPDR patients (38 men, 36 women), 82 diabetic patients without retinopathy, and 20 patients without diabetes. Patients with intravitreal injections in the past four weeks, ocular comorbidities, active infection, or systemic vasculitis were excluded. We performed linear regression with plasma concentration of each protein as dependent variable and sex as predictor, adjusting for age, race and ethnicity, smoking status, hemoglobin A1c, insulin use, and diabetes duration. We plotted the concentration of inflammatory proteins against diabetes duration for men and women separately to assess for differences over time. We conducted similar analyses for the control groups.</p><p><strong>Results: </strong>Plasma concentrations of nine inflammatory proteins involved in DR progression were higher in NPDR men than in women. For most of these proteins, the plasma concentration was similar between men and women with fewer years of diabetes and exhibited higher levels in NPDR men with longer durations of diabetes. In those with ≥15 years of diabetes, sex differences in these inflammatory proteins were less apparent.</p><p><strong>Conclusions: </strong>We identified a variety of inflammatory proteins higher in the plasma of male NPDR patients than in female patients. We also found the differences to be more prominent in those who had five to 10 years of diabetes.</p><p><strong>Translational relevance: </strong>Differences in plasma inflammatory proteins could underlie the clinically observed sex differences in DR, and earlier years of diabetes might be a potential window for closer follow-up and therapeutic intervention.</p>\",\"PeriodicalId\":23322,\"journal\":{\"name\":\"Translational Vision Science & Technology\",\"volume\":\"14 8\",\"pages\":\"22\"},\"PeriodicalIF\":2.6000,\"publicationDate\":\"2025-08-01\",\"publicationTypes\":\"Journal Article\",\"fieldsOfStudy\":null,\"isOpenAccess\":false,\"openAccessPdf\":\"https://www.ncbi.nlm.nih.gov/pmc/articles/PMC12369902/pdf/\",\"citationCount\":\"0\",\"resultStr\":null,\"platform\":\"Semanticscholar\",\"paperid\":null,\"PeriodicalName\":\"Translational Vision Science & Technology\",\"FirstCategoryId\":\"3\",\"ListUrlMain\":\"https://doi.org/10.1167/tvst.14.8.22\",\"RegionNum\":3,\"RegionCategory\":\"医学\",\"ArticlePicture\":[],\"TitleCN\":null,\"AbstractTextCN\":null,\"PMCID\":null,\"EPubDate\":\"\",\"PubModel\":\"\",\"JCR\":\"Q2\",\"JCRName\":\"OPHTHALMOLOGY\",\"Score\":null,\"Total\":0}","platform":"Semanticscholar","paperid":null,"PeriodicalName":"Translational Vision Science & Technology","FirstCategoryId":"3","ListUrlMain":"https://doi.org/10.1167/tvst.14.8.22","RegionNum":3,"RegionCategory":"医学","ArticlePicture":[],"TitleCN":null,"AbstractTextCN":null,"PMCID":null,"EPubDate":"","PubModel":"","JCR":"Q2","JCRName":"OPHTHALMOLOGY","Score":null,"Total":0}
引用次数: 0

摘要

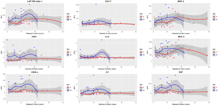
目的:比较非增殖性糖尿病视网膜病变(NPDR)患者血浆中的炎症蛋白水平。方法:我们招募了74例NPDR患者(男性38例,女性36例),82例无视网膜病变的糖尿病患者,20例无糖尿病患者。排除了过去四周内玻璃体内注射、眼部合并症、活动性感染或全身性血管炎的患者。我们将每种蛋白质的血浆浓度作为因变量,性别作为预测因子,进行线性回归,调整年龄、种族和民族、吸烟状况、血红蛋白A1c、胰岛素使用和糖尿病病程。我们分别绘制了男性和女性抗糖尿病持续时间的炎症蛋白浓度,以评估随时间的差异。我们对对照组进行了类似的分析。结果:NPDR男性中9种炎症蛋白的血浆浓度高于女性。对于大多数这些蛋白质,糖尿病年数较少的男性和女性的血浆浓度相似,而糖尿病持续时间较长的NPDR男性的血浆浓度较高。在糖尿病≥15年的患者中,这些炎症蛋白的性别差异不太明显。结论:我们发现男性NPDR患者血浆中的多种炎症蛋白高于女性患者。我们还发现,在那些患有5到10年糖尿病的人身上,这种差异更为明显。翻译相关性:血浆炎症蛋白的差异可能是DR临床观察到的性别差异的基础,早期糖尿病可能是更密切随访和治疗干预的潜在窗口。
本文章由计算机程序翻译,如有差异,请以英文原文为准。

Sex Differences in Inflammatory Plasma Proteins in Patients With Diabetic Retinopathy.

Sex Differences in Inflammatory Plasma Proteins in Patients With Diabetic Retinopathy.

Sex Differences in Inflammatory Plasma Proteins in Patients With Diabetic Retinopathy.

Sex Differences in Inflammatory Plasma Proteins in Patients With Diabetic Retinopathy.

Purpose: To compare inflammatory protein levels in the plasma of men and women with nonproliferative diabetic retinopathy (NPDR).

Methods: We recruited 74 NPDR patients (38 men, 36 women), 82 diabetic patients without retinopathy, and 20 patients without diabetes. Patients with intravitreal injections in the past four weeks, ocular comorbidities, active infection, or systemic vasculitis were excluded. We performed linear regression with plasma concentration of each protein as dependent variable and sex as predictor, adjusting for age, race and ethnicity, smoking status, hemoglobin A1c, insulin use, and diabetes duration. We plotted the concentration of inflammatory proteins against diabetes duration for men and women separately to assess for differences over time. We conducted similar analyses for the control groups.

Results: Plasma concentrations of nine inflammatory proteins involved in DR progression were higher in NPDR men than in women. For most of these proteins, the plasma concentration was similar between men and women with fewer years of diabetes and exhibited higher levels in NPDR men with longer durations of diabetes. In those with ≥15 years of diabetes, sex differences in these inflammatory proteins were less apparent.

Conclusions: We identified a variety of inflammatory proteins higher in the plasma of male NPDR patients than in female patients. We also found the differences to be more prominent in those who had five to 10 years of diabetes.

Translational relevance: Differences in plasma inflammatory proteins could underlie the clinically observed sex differences in DR, and earlier years of diabetes might be a potential window for closer follow-up and therapeutic intervention.

求助全文
通过发布文献求助,成功后即可免费获取论文全文。 去求助
来源期刊
Translational Vision Science & Technology
Translational Vision Science & Technology Engineering-Biomedical Engineering
CiteScore
5.70
自引率
3.30%
发文量
346
审稿时长
25 weeks
期刊介绍: Translational Vision Science & Technology (TVST), an official journal of the Association for Research in Vision and Ophthalmology (ARVO), an international organization whose purpose is to advance research worldwide into understanding the visual system and preventing, treating and curing its disorders, is an online, open access, peer-reviewed journal emphasizing multidisciplinary research that bridges the gap between basic research and clinical care. A highly qualified and diverse group of Associate Editors and Editorial Board Members is led by Editor-in-Chief Marco Zarbin, MD, PhD, FARVO. The journal covers a broad spectrum of work, including but not limited to: Applications of stem cell technology for regenerative medicine, Development of new animal models of human diseases, Tissue bioengineering, Chemical engineering to improve virus-based gene delivery, Nanotechnology for drug delivery, Design and synthesis of artificial extracellular matrices, Development of a true microsurgical operating environment, Refining data analysis algorithms to improve in vivo imaging technology, Results of Phase 1 clinical trials, Reverse translational ("bedside to bench") research. TVST seeks manuscripts from scientists and clinicians with diverse backgrounds ranging from basic chemistry to ophthalmic surgery that will advance or change the way we understand and/or treat vision-threatening diseases. TVST encourages the use of color, multimedia, hyperlinks, program code and other digital enhancements.
×
引用
GB/T 7714-2015
复制
MLA
复制
APA
复制
导出至
BibTeX EndNote RefMan NoteFirst NoteExpress
×
提示
您的信息不完整,为了账户安全,请先补充。
现在去补充
×
提示
您因"违规操作"
具体请查看互助需知
我知道了
×
提示
确定
请完成安全验证×
copy
已复制链接
快去分享给好友吧!
我知道了
右上角分享
点击右上角分享
0
联系我们:info@booksci.cn Book学术提供免费学术资源搜索服务,方便国内外学者检索中英文文献。致力于提供最便捷和优质的服务体验。 Copyright © 2023 布克学术 All rights reserved.
京ICP备2023020795号-1
ghs 京公网安备 11010802042870号
Book学术文献互助
Book学术文献互助群
群 号:604180095
Book学术官方微信