印度社区筛选者使用数字(Peek)测试与传统视力表的近视敏锐度测量。

IF 2.6 3区 医学 Q2 OPHTHALMOLOGY
Shalinder Sabherwal, Mohd Javed, Elanor Watts, Marzieh Katibeh, Alice Pintus, Nam Thaker, Sergio Latorre-Arteaga, Vince Hewitt, Darren Coverley, Nigel M Bolster, Andrew Bastawrous
{"title":"印度社区筛选者使用数字(Peek)测试与传统视力表的近视敏锐度测量。","authors":"Shalinder Sabherwal, Mohd Javed, Elanor Watts, Marzieh Katibeh, Alice Pintus, Nam Thaker, Sergio Latorre-Arteaga, Vince Hewitt, Darren Coverley, Nigel M Bolster, Andrew Bastawrous","doi":"10.1167/tvst.14.8.24","DOIUrl":null,"url":null,"abstract":"<p><strong>Purpose: </strong>The Peek digital near vision test has been previously validated in a trial setting; here it is assessed in clinic (stage 1) and community (stage 2) settings.</p><p><strong>Methods: </strong>The study was carried out in the catchment area of Dr. Shroff's Charity Eye Hospital, Mohammadi, Uttar Pradesh, India, with a total of 768 participants. Stage 1 assessed the interobserver variability of Peek near vision impairment (NVI) screening in 168 clinic participants, with three trained community screeners. Stage 2 compared Peek to conventional chart testing for NVI screening using Cohen's kappa coefficient, sensitivity, and specificity and, for quantitative near visual acuity (NVA) measurement, using Bland-Altman limits of agreement (LoA) in 600 participants with two screeners.</p><p><strong>Results: </strong>In stage 1, interobserver variability using Peek ranged from 96.43% to 98.21% (kappa = 0.92-0.96). In stage 2, there was overall agreement in 95.8% of cases (kappa = 0.91). Peek testing had a sensitivity and specificity of 91.25% (95% confidence interval [CI], 87.22-94.1) and 99.41% (95% CI, 97.86-99.84), respectively. For NVA testing, the 95% LoA between Peek and chart testing were within -0.11 and +0.07 logMAR. Mean test time was 40.3 seconds (95% CI, 38.8-41.7) for Peek versus 46.6 seconds (95% CI, 45.5-47.7) for a conventional chart.</p><p><strong>Conclusions: </strong>The previously demonstrated validity of Peek testing was maintained when used by trained community screeners.</p><p><strong>Translational relevance: </strong>The Peek near vision test can be used as a validated method of NVA/NVI measurement in research, clinical and community settings.</p>","PeriodicalId":23322,"journal":{"name":"Translational Vision Science & Technology","volume":"14 8","pages":"24"},"PeriodicalIF":2.6000,"publicationDate":"2025-08-01","publicationTypes":"Journal Article","fieldsOfStudy":null,"isOpenAccess":false,"openAccessPdf":"https://www.ncbi.nlm.nih.gov/pmc/articles/PMC12369907/pdf/","citationCount":"0","resultStr":"{\"title\":\"Near Visual Acuity Measurements by Community Screeners Using Digital (Peek) Testing Versus Conventional Charts in India.\",\"authors\":\"Shalinder Sabherwal, Mohd Javed, Elanor Watts, Marzieh Katibeh, Alice Pintus, Nam Thaker, Sergio Latorre-Arteaga, Vince Hewitt, Darren Coverley, Nigel M Bolster, Andrew Bastawrous\",\"doi\":\"10.1167/tvst.14.8.24\",\"DOIUrl\":null,\"url\":null,\"abstract\":\"<p><strong>Purpose: </strong>The Peek digital near vision test has been previously validated in a trial setting; here it is assessed in clinic (stage 1) and community (stage 2) settings.</p><p><strong>Methods: </strong>The study was carried out in the catchment area of Dr. Shroff's Charity Eye Hospital, Mohammadi, Uttar Pradesh, India, with a total of 768 participants. Stage 1 assessed the interobserver variability of Peek near vision impairment (NVI) screening in 168 clinic participants, with three trained community screeners. Stage 2 compared Peek to conventional chart testing for NVI screening using Cohen's kappa coefficient, sensitivity, and specificity and, for quantitative near visual acuity (NVA) measurement, using Bland-Altman limits of agreement (LoA) in 600 participants with two screeners.</p><p><strong>Results: </strong>In stage 1, interobserver variability using Peek ranged from 96.43% to 98.21% (kappa = 0.92-0.96). In stage 2, there was overall agreement in 95.8% of cases (kappa = 0.91). Peek testing had a sensitivity and specificity of 91.25% (95% confidence interval [CI], 87.22-94.1) and 99.41% (95% CI, 97.86-99.84), respectively. For NVA testing, the 95% LoA between Peek and chart testing were within -0.11 and +0.07 logMAR. Mean test time was 40.3 seconds (95% CI, 38.8-41.7) for Peek versus 46.6 seconds (95% CI, 45.5-47.7) for a conventional chart.</p><p><strong>Conclusions: </strong>The previously demonstrated validity of Peek testing was maintained when used by trained community screeners.</p><p><strong>Translational relevance: </strong>The Peek near vision test can be used as a validated method of NVA/NVI measurement in research, clinical and community settings.</p>\",\"PeriodicalId\":23322,\"journal\":{\"name\":\"Translational Vision Science & Technology\",\"volume\":\"14 8\",\"pages\":\"24\"},\"PeriodicalIF\":2.6000,\"publicationDate\":\"2025-08-01\",\"publicationTypes\":\"Journal Article\",\"fieldsOfStudy\":null,\"isOpenAccess\":false,\"openAccessPdf\":\"https://www.ncbi.nlm.nih.gov/pmc/articles/PMC12369907/pdf/\",\"citationCount\":\"0\",\"resultStr\":null,\"platform\":\"Semanticscholar\",\"paperid\":null,\"PeriodicalName\":\"Translational Vision Science & Technology\",\"FirstCategoryId\":\"3\",\"ListUrlMain\":\"https://doi.org/10.1167/tvst.14.8.24\",\"RegionNum\":3,\"RegionCategory\":\"医学\",\"ArticlePicture\":[],\"TitleCN\":null,\"AbstractTextCN\":null,\"PMCID\":null,\"EPubDate\":\"\",\"PubModel\":\"\",\"JCR\":\"Q2\",\"JCRName\":\"OPHTHALMOLOGY\",\"Score\":null,\"Total\":0}","platform":"Semanticscholar","paperid":null,"PeriodicalName":"Translational Vision Science & Technology","FirstCategoryId":"3","ListUrlMain":"https://doi.org/10.1167/tvst.14.8.24","RegionNum":3,"RegionCategory":"医学","ArticlePicture":[],"TitleCN":null,"AbstractTextCN":null,"PMCID":null,"EPubDate":"","PubModel":"","JCR":"Q2","JCRName":"OPHTHALMOLOGY","Score":null,"Total":0}
引用次数: 0

摘要

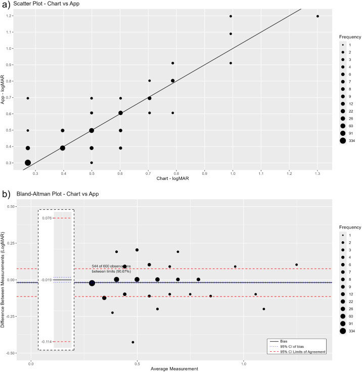
目的:Peek数字近视力测试之前已经在试验环境中进行了验证;在这里,它在诊所(第1阶段)和社区(第2阶段)环境中进行评估。方法:研究在印度北方邦Mohammadi Shroff医生慈善眼科医院的集水区进行,共有768名参与者。第一阶段评估了168名临床参与者的Peek近视力障碍(NVI)筛查的观察者间变异性,其中有三名训练有素的社区筛查者。第二阶段将Peek与常规图表测试进行比较,使用Cohen的kappa系数、敏感性和特异性进行NVI筛查,并在600名参与者中使用Bland-Altman协议限(LoA)进行定量近视力(NVA)测量。结果:在第一阶段,使用Peek的观察者间变异范围为96.43%至98.21% (kappa = 0.92-0.96)。在第二阶段,95.8%的病例总体一致(kappa = 0.91)。Peek检测的敏感性和特异性分别为91.25%(95%可信区间[CI], 87.22-94.1)和99.41% (95% CI, 97.86-99.84)。对于NVA测试,Peek和图表测试之间的95% LoA在-0.11和+0.07 logMAR之间。Peek的平均测试时间为40.3秒(95% CI, 38.8-41.7),而传统图表的平均测试时间为46.6秒(95% CI, 45.5-47.7)。结论:先前证明的Peek测试的有效性在训练有素的社区筛查者使用时保持不变。翻译相关性:Peek近视力测试可作为研究、临床和社区设置中测量NVA/NVI的有效方法。
本文章由计算机程序翻译,如有差异,请以英文原文为准。

Near Visual Acuity Measurements by Community Screeners Using Digital (Peek) Testing Versus Conventional Charts in India.

Near Visual Acuity Measurements by Community Screeners Using Digital (Peek) Testing Versus Conventional Charts in India.

Near Visual Acuity Measurements by Community Screeners Using Digital (Peek) Testing Versus Conventional Charts in India.

Near Visual Acuity Measurements by Community Screeners Using Digital (Peek) Testing Versus Conventional Charts in India.

Purpose: The Peek digital near vision test has been previously validated in a trial setting; here it is assessed in clinic (stage 1) and community (stage 2) settings.

Methods: The study was carried out in the catchment area of Dr. Shroff's Charity Eye Hospital, Mohammadi, Uttar Pradesh, India, with a total of 768 participants. Stage 1 assessed the interobserver variability of Peek near vision impairment (NVI) screening in 168 clinic participants, with three trained community screeners. Stage 2 compared Peek to conventional chart testing for NVI screening using Cohen's kappa coefficient, sensitivity, and specificity and, for quantitative near visual acuity (NVA) measurement, using Bland-Altman limits of agreement (LoA) in 600 participants with two screeners.

Results: In stage 1, interobserver variability using Peek ranged from 96.43% to 98.21% (kappa = 0.92-0.96). In stage 2, there was overall agreement in 95.8% of cases (kappa = 0.91). Peek testing had a sensitivity and specificity of 91.25% (95% confidence interval [CI], 87.22-94.1) and 99.41% (95% CI, 97.86-99.84), respectively. For NVA testing, the 95% LoA between Peek and chart testing were within -0.11 and +0.07 logMAR. Mean test time was 40.3 seconds (95% CI, 38.8-41.7) for Peek versus 46.6 seconds (95% CI, 45.5-47.7) for a conventional chart.

Conclusions: The previously demonstrated validity of Peek testing was maintained when used by trained community screeners.

Translational relevance: The Peek near vision test can be used as a validated method of NVA/NVI measurement in research, clinical and community settings.

求助全文
通过发布文献求助,成功后即可免费获取论文全文。 去求助
来源期刊
Translational Vision Science & Technology
Translational Vision Science & Technology Engineering-Biomedical Engineering
CiteScore
5.70
自引率
3.30%
发文量
346
审稿时长
25 weeks
期刊介绍: Translational Vision Science & Technology (TVST), an official journal of the Association for Research in Vision and Ophthalmology (ARVO), an international organization whose purpose is to advance research worldwide into understanding the visual system and preventing, treating and curing its disorders, is an online, open access, peer-reviewed journal emphasizing multidisciplinary research that bridges the gap between basic research and clinical care. A highly qualified and diverse group of Associate Editors and Editorial Board Members is led by Editor-in-Chief Marco Zarbin, MD, PhD, FARVO. The journal covers a broad spectrum of work, including but not limited to: Applications of stem cell technology for regenerative medicine, Development of new animal models of human diseases, Tissue bioengineering, Chemical engineering to improve virus-based gene delivery, Nanotechnology for drug delivery, Design and synthesis of artificial extracellular matrices, Development of a true microsurgical operating environment, Refining data analysis algorithms to improve in vivo imaging technology, Results of Phase 1 clinical trials, Reverse translational ("bedside to bench") research. TVST seeks manuscripts from scientists and clinicians with diverse backgrounds ranging from basic chemistry to ophthalmic surgery that will advance or change the way we understand and/or treat vision-threatening diseases. TVST encourages the use of color, multimedia, hyperlinks, program code and other digital enhancements.
×
引用
GB/T 7714-2015
复制
MLA
复制
APA
复制
导出至
BibTeX EndNote RefMan NoteFirst NoteExpress
×
提示
您的信息不完整,为了账户安全,请先补充。
现在去补充
×
提示
您因"违规操作"
具体请查看互助需知
我知道了
×
提示
确定
请完成安全验证×
copy
已复制链接
快去分享给好友吧!
我知道了
右上角分享
点击右上角分享
0
联系我们:info@booksci.cn Book学术提供免费学术资源搜索服务,方便国内外学者检索中英文文献。致力于提供最便捷和优质的服务体验。 Copyright © 2023 布克学术 All rights reserved.
京ICP备2023020795号-1
ghs 京公网安备 11010802042870号
Book学术文献互助
Book学术文献互助群
群 号:604180095
Book学术官方微信