白天和夜间光照对双相情感障碍患者客观睡眠质量的相互作用:APPLE队列的横断面分析

IF 6.2 1区 医学 Q1 PSYCHIATRY
Yuichi Esaki, Kenji Obayashi, Keigo Saeki, Kiyoshi Fujita, Nakao Iwata, Jamie M Zeitzer, Tsuyoshi Kitajima
{"title":"白天和夜间光照对双相情感障碍患者客观睡眠质量的相互作用:APPLE队列的横断面分析","authors":"Yuichi Esaki, Kenji Obayashi, Keigo Saeki, Kiyoshi Fujita, Nakao Iwata, Jamie M Zeitzer, Tsuyoshi Kitajima","doi":"10.1038/s41398-025-03549-3","DOIUrl":null,"url":null,"abstract":"<p><p>Light plays a crucial role in regulating nocturnal sleep patterns. This cross-sectional study evaluated the potential association between levels of light exposure in real-life settings and sleep parameters in individuals with bipolar disorder. We included 204 ambulatory individuals with bipolar disorder who participated in the APPLE (Association between Pathology of Bipolar Disorder and Light Exposure in Daily Life) cohort study. Daytime illuminance and sleep were assessed using actigraphy over a seven-day period. In addition, a portable light meter was used to evaluate the illuminance levels in the bedroom during nighttime. The median values of daytime illuminance and nighttime illuminance were 221.8 lux (interquartile range: 150.9-306.9 lux) and 2.3 lux (0.3-9.6 lux), respectively. Multivariable linear regression analyses, adjusting for potential confounders, revealed a significant association between greater daytime illuminance and higher sleep efficiency as well as shorter sleep onset latency and wake after sleep onset. Moreover, the interaction term of daytime and nighttime illuminance demonstrated a significant correlation with sleep efficiency (95% confidence interval [CI], -10.45 to -2.17; P = 0.003), sleep onset latency (95% CI, 0.18 to 0.91; P = 0.004), and wake after sleep onset (95% CI, 13.47 to 50.1; P < 0.001). Our findings indicate the existence of a significant positive correlation between daytime light exposure and sleep parameters in individuals with bipolar disorder. The interaction of increased daytime light and decreased nighttime light appears to be positively associated with sleep quality.</p>","PeriodicalId":23278,"journal":{"name":"Translational Psychiatry","volume":"15 1","pages":"291"},"PeriodicalIF":6.2000,"publicationDate":"2025-08-18","publicationTypes":"Journal Article","fieldsOfStudy":null,"isOpenAccess":false,"openAccessPdf":"https://www.ncbi.nlm.nih.gov/pmc/articles/PMC12361580/pdf/","citationCount":"0","resultStr":"{\"title\":\"Interaction of daytime and nighttime light exposure on objective sleep quality in patients with bipolar disorder: a cross-sectional analysis of the APPLE cohort.\",\"authors\":\"Yuichi Esaki, Kenji Obayashi, Keigo Saeki, Kiyoshi Fujita, Nakao Iwata, Jamie M Zeitzer, Tsuyoshi Kitajima\",\"doi\":\"10.1038/s41398-025-03549-3\",\"DOIUrl\":null,\"url\":null,\"abstract\":\"<p><p>Light plays a crucial role in regulating nocturnal sleep patterns. This cross-sectional study evaluated the potential association between levels of light exposure in real-life settings and sleep parameters in individuals with bipolar disorder. We included 204 ambulatory individuals with bipolar disorder who participated in the APPLE (Association between Pathology of Bipolar Disorder and Light Exposure in Daily Life) cohort study. Daytime illuminance and sleep were assessed using actigraphy over a seven-day period. In addition, a portable light meter was used to evaluate the illuminance levels in the bedroom during nighttime. The median values of daytime illuminance and nighttime illuminance were 221.8 lux (interquartile range: 150.9-306.9 lux) and 2.3 lux (0.3-9.6 lux), respectively. Multivariable linear regression analyses, adjusting for potential confounders, revealed a significant association between greater daytime illuminance and higher sleep efficiency as well as shorter sleep onset latency and wake after sleep onset. Moreover, the interaction term of daytime and nighttime illuminance demonstrated a significant correlation with sleep efficiency (95% confidence interval [CI], -10.45 to -2.17; P = 0.003), sleep onset latency (95% CI, 0.18 to 0.91; P = 0.004), and wake after sleep onset (95% CI, 13.47 to 50.1; P < 0.001). Our findings indicate the existence of a significant positive correlation between daytime light exposure and sleep parameters in individuals with bipolar disorder. The interaction of increased daytime light and decreased nighttime light appears to be positively associated with sleep quality.</p>\",\"PeriodicalId\":23278,\"journal\":{\"name\":\"Translational Psychiatry\",\"volume\":\"15 1\",\"pages\":\"291\"},\"PeriodicalIF\":6.2000,\"publicationDate\":\"2025-08-18\",\"publicationTypes\":\"Journal Article\",\"fieldsOfStudy\":null,\"isOpenAccess\":false,\"openAccessPdf\":\"https://www.ncbi.nlm.nih.gov/pmc/articles/PMC12361580/pdf/\",\"citationCount\":\"0\",\"resultStr\":null,\"platform\":\"Semanticscholar\",\"paperid\":null,\"PeriodicalName\":\"Translational Psychiatry\",\"FirstCategoryId\":\"3\",\"ListUrlMain\":\"https://doi.org/10.1038/s41398-025-03549-3\",\"RegionNum\":1,\"RegionCategory\":\"医学\",\"ArticlePicture\":[],\"TitleCN\":null,\"AbstractTextCN\":null,\"PMCID\":null,\"EPubDate\":\"\",\"PubModel\":\"\",\"JCR\":\"Q1\",\"JCRName\":\"PSYCHIATRY\",\"Score\":null,\"Total\":0}","platform":"Semanticscholar","paperid":null,"PeriodicalName":"Translational Psychiatry","FirstCategoryId":"3","ListUrlMain":"https://doi.org/10.1038/s41398-025-03549-3","RegionNum":1,"RegionCategory":"医学","ArticlePicture":[],"TitleCN":null,"AbstractTextCN":null,"PMCID":null,"EPubDate":"","PubModel":"","JCR":"Q1","JCRName":"PSYCHIATRY","Score":null,"Total":0}
引用次数: 0

摘要

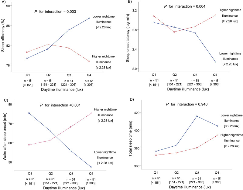
光线在调节夜间睡眠模式中起着至关重要的作用。这项横断面研究评估了现实生活中光照水平与双相情感障碍患者睡眠参数之间的潜在关联。我们纳入了204名参加APPLE(双相情感障碍病理与日常生活中光暴露之间的关联)队列研究的双相情感障碍患者。在7天的时间里,使用活动记录仪评估白天的照度和睡眠。此外,还使用便携式测光仪来评估夜间卧室的照度水平。日间照度和夜间照度的中位数分别为221.8 lux(四分位间距150.9 ~ 306.9 lux)和2.3 lux (0.3 ~ 9.6 lux)。多变量线性回归分析,调整了潜在的混杂因素,揭示了更高的白天照度和更高的睡眠效率之间的显著关联,以及更短的睡眠开始潜伏期和睡眠开始后醒来。此外,白天和夜间照度的相互作用项与睡眠效率(95%可信区间[CI], -10.45至-2.17;P = 0.003)、睡眠开始潜伏期(95% CI, 0.18至0.91;P = 0.004)、睡眠开始后醒来(95% CI, 13.47至50.1;P = 0.003)显著相关
本文章由计算机程序翻译,如有差异,请以英文原文为准。

Interaction of daytime and nighttime light exposure on objective sleep quality in patients with bipolar disorder: a cross-sectional analysis of the APPLE cohort.

Interaction of daytime and nighttime light exposure on objective sleep quality in patients with bipolar disorder: a cross-sectional analysis of the APPLE cohort.

Light plays a crucial role in regulating nocturnal sleep patterns. This cross-sectional study evaluated the potential association between levels of light exposure in real-life settings and sleep parameters in individuals with bipolar disorder. We included 204 ambulatory individuals with bipolar disorder who participated in the APPLE (Association between Pathology of Bipolar Disorder and Light Exposure in Daily Life) cohort study. Daytime illuminance and sleep were assessed using actigraphy over a seven-day period. In addition, a portable light meter was used to evaluate the illuminance levels in the bedroom during nighttime. The median values of daytime illuminance and nighttime illuminance were 221.8 lux (interquartile range: 150.9-306.9 lux) and 2.3 lux (0.3-9.6 lux), respectively. Multivariable linear regression analyses, adjusting for potential confounders, revealed a significant association between greater daytime illuminance and higher sleep efficiency as well as shorter sleep onset latency and wake after sleep onset. Moreover, the interaction term of daytime and nighttime illuminance demonstrated a significant correlation with sleep efficiency (95% confidence interval [CI], -10.45 to -2.17; P = 0.003), sleep onset latency (95% CI, 0.18 to 0.91; P = 0.004), and wake after sleep onset (95% CI, 13.47 to 50.1; P < 0.001). Our findings indicate the existence of a significant positive correlation between daytime light exposure and sleep parameters in individuals with bipolar disorder. The interaction of increased daytime light and decreased nighttime light appears to be positively associated with sleep quality.

求助全文
通过发布文献求助,成功后即可免费获取论文全文。 去求助
来源期刊
CiteScore
11.50
自引率
2.90%
发文量
484
审稿时长
23 weeks
期刊介绍: Psychiatry has suffered tremendously by the limited translational pipeline. Nobel laureate Julius Axelrod''s discovery in 1961 of monoamine reuptake by pre-synaptic neurons still forms the basis of contemporary antidepressant treatment. There is a grievous gap between the explosion of knowledge in neuroscience and conceptually novel treatments for our patients. Translational Psychiatry bridges this gap by fostering and highlighting the pathway from discovery to clinical applications, healthcare and global health. We view translation broadly as the full spectrum of work that marks the pathway from discovery to global health, inclusive. The steps of translation that are within the scope of Translational Psychiatry include (i) fundamental discovery, (ii) bench to bedside, (iii) bedside to clinical applications (clinical trials), (iv) translation to policy and health care guidelines, (v) assessment of health policy and usage, and (vi) global health. All areas of medical research, including — but not restricted to — molecular biology, genetics, pharmacology, imaging and epidemiology are welcome as they contribute to enhance the field of translational psychiatry.
×
引用
GB/T 7714-2015
复制
MLA
复制
APA
复制
导出至
BibTeX EndNote RefMan NoteFirst NoteExpress
×
提示
您的信息不完整,为了账户安全,请先补充。
现在去补充
×
提示
您因"违规操作"
具体请查看互助需知
我知道了
×
提示
确定
请完成安全验证×
copy
已复制链接
快去分享给好友吧!
我知道了
右上角分享
点击右上角分享
0
联系我们:info@booksci.cn Book学术提供免费学术资源搜索服务,方便国内外学者检索中英文文献。致力于提供最便捷和优质的服务体验。 Copyright © 2023 布克学术 All rights reserved.
京ICP备2023020795号-1
ghs 京公网安备 11010802042870号
Book学术文献互助
Book学术文献互助群
群 号:604180095
Book学术官方微信