生态失调和抑郁:antidepressant-naïve情绪障碍患者肠道菌群改变和功能途径的研究。

IF 6.2 1区 医学 Q1 PSYCHIATRY
Shih-Kai Kevin Lin, Hsi-Chung Chen, I-Ming Chen, Cheng-Dien Hsu, Ming-Chyi Huang, Chih-Min Liu, Shu-I Wu, Po-Yu Chen, Chun-Hsin Chen, Po-Hsiu Kuo
{"title":"生态失调和抑郁:antidepressant-naïve情绪障碍患者肠道菌群改变和功能途径的研究。","authors":"Shih-Kai Kevin Lin, Hsi-Chung Chen, I-Ming Chen, Cheng-Dien Hsu, Ming-Chyi Huang, Chih-Min Liu, Shu-I Wu, Po-Yu Chen, Chun-Hsin Chen, Po-Hsiu Kuo","doi":"10.1038/s41398-025-03521-1","DOIUrl":null,"url":null,"abstract":"<p><p>Depression, a common mood disorder, has been associated with gut microbiota alterations, though the underlying microbial mechanisms remain unclear. This study investigated potential gut microbiota biomarkers and functional pathways in 106 antidepressant-naïve depressive patients and 151 healthy controls, with careful of confounding factors. Stool samples were analyzed using 16S rRNA sequencing, revealing significantly lower alpha diversity and distinct beta diversity in depressive patients. Eleven taxa with differential abundance were identified, including Dialister and Lactococcus (decreased) and Hungatella, Sellimonas, and Lachnoclostridium (elevated), which may relate to gut inflammation and depressive symptom severity. Functional pathway analysis highlighted 36 altered pathways, including those involved in purine degradation, lipopolysaccharide biosynthesis, and amino acid metabolism. A random forest classification model built using the identified taxa achieved moderate accuracy (~0.72) in distinguishing depressive patients from controls. Additionally, we developed a novel Depression Dysbiosis Index (DDI), which positively correlated with depression severity and effectively differentiated between groups. The DDI was robust across analyses, emphasizing its potential clinical value. Future research should incorporate longitudinal designs, advanced sequencing techniques, and additional clinical factors to deepen our understanding of the gut-brain axis in depression and improve diagnostic and therapeutic strategies.</p>","PeriodicalId":23278,"journal":{"name":"Translational Psychiatry","volume":"15 1","pages":"290"},"PeriodicalIF":6.2000,"publicationDate":"2025-08-18","publicationTypes":"Journal Article","fieldsOfStudy":null,"isOpenAccess":false,"openAccessPdf":"https://www.ncbi.nlm.nih.gov/pmc/articles/PMC12361489/pdf/","citationCount":"0","resultStr":"{\"title\":\"Dysbiosis and depression: A study of gut microbiota alterations and functional pathways in antidepressant-naïve mood disorder patients.\",\"authors\":\"Shih-Kai Kevin Lin, Hsi-Chung Chen, I-Ming Chen, Cheng-Dien Hsu, Ming-Chyi Huang, Chih-Min Liu, Shu-I Wu, Po-Yu Chen, Chun-Hsin Chen, Po-Hsiu Kuo\",\"doi\":\"10.1038/s41398-025-03521-1\",\"DOIUrl\":null,\"url\":null,\"abstract\":\"<p><p>Depression, a common mood disorder, has been associated with gut microbiota alterations, though the underlying microbial mechanisms remain unclear. This study investigated potential gut microbiota biomarkers and functional pathways in 106 antidepressant-naïve depressive patients and 151 healthy controls, with careful of confounding factors. Stool samples were analyzed using 16S rRNA sequencing, revealing significantly lower alpha diversity and distinct beta diversity in depressive patients. Eleven taxa with differential abundance were identified, including Dialister and Lactococcus (decreased) and Hungatella, Sellimonas, and Lachnoclostridium (elevated), which may relate to gut inflammation and depressive symptom severity. Functional pathway analysis highlighted 36 altered pathways, including those involved in purine degradation, lipopolysaccharide biosynthesis, and amino acid metabolism. A random forest classification model built using the identified taxa achieved moderate accuracy (~0.72) in distinguishing depressive patients from controls. Additionally, we developed a novel Depression Dysbiosis Index (DDI), which positively correlated with depression severity and effectively differentiated between groups. The DDI was robust across analyses, emphasizing its potential clinical value. Future research should incorporate longitudinal designs, advanced sequencing techniques, and additional clinical factors to deepen our understanding of the gut-brain axis in depression and improve diagnostic and therapeutic strategies.</p>\",\"PeriodicalId\":23278,\"journal\":{\"name\":\"Translational Psychiatry\",\"volume\":\"15 1\",\"pages\":\"290\"},\"PeriodicalIF\":6.2000,\"publicationDate\":\"2025-08-18\",\"publicationTypes\":\"Journal Article\",\"fieldsOfStudy\":null,\"isOpenAccess\":false,\"openAccessPdf\":\"https://www.ncbi.nlm.nih.gov/pmc/articles/PMC12361489/pdf/\",\"citationCount\":\"0\",\"resultStr\":null,\"platform\":\"Semanticscholar\",\"paperid\":null,\"PeriodicalName\":\"Translational Psychiatry\",\"FirstCategoryId\":\"3\",\"ListUrlMain\":\"https://doi.org/10.1038/s41398-025-03521-1\",\"RegionNum\":1,\"RegionCategory\":\"医学\",\"ArticlePicture\":[],\"TitleCN\":null,\"AbstractTextCN\":null,\"PMCID\":null,\"EPubDate\":\"\",\"PubModel\":\"\",\"JCR\":\"Q1\",\"JCRName\":\"PSYCHIATRY\",\"Score\":null,\"Total\":0}","platform":"Semanticscholar","paperid":null,"PeriodicalName":"Translational Psychiatry","FirstCategoryId":"3","ListUrlMain":"https://doi.org/10.1038/s41398-025-03521-1","RegionNum":1,"RegionCategory":"医学","ArticlePicture":[],"TitleCN":null,"AbstractTextCN":null,"PMCID":null,"EPubDate":"","PubModel":"","JCR":"Q1","JCRName":"PSYCHIATRY","Score":null,"Total":0}
引用次数: 0

摘要

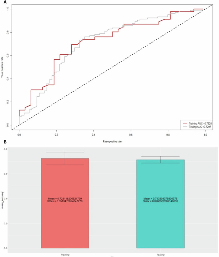
抑郁症是一种常见的情绪障碍,与肠道微生物群的改变有关,尽管潜在的微生物机制尚不清楚。本研究调查了106名antidepressant-naïve抑郁症患者和151名健康对照者潜在的肠道微生物群生物标志物和功能途径,并仔细考虑了混杂因素。使用16S rRNA测序对粪便样本进行分析,发现抑郁症患者的α多样性显著降低,β多样性明显。鉴定出11个不同丰度的分类群,包括Dialister和乳球菌(减少)和Hungatella, Sellimonas和Lachnoclostridium(升高),它们可能与肠道炎症和抑郁症状的严重程度有关。功能通路分析强调了36个改变的通路,包括嘌呤降解、脂多糖生物合成和氨基酸代谢。使用已识别的分类群建立的随机森林分类模型在区分抑郁症患者和对照组方面取得了中等准确度(~0.72)。此外,我们还开发了一种新的抑郁生态失调指数(DDI),该指数与抑郁严重程度呈正相关,并在组间有效区分。DDI在所有分析中都是稳健的,强调了其潜在的临床价值。未来的研究应结合纵向设计、先进的测序技术和其他临床因素,以加深我们对抑郁症肠脑轴的理解,并改进诊断和治疗策略。
本文章由计算机程序翻译,如有差异,请以英文原文为准。

Dysbiosis and depression: A study of gut microbiota alterations and functional pathways in antidepressant-naïve mood disorder patients.

Dysbiosis and depression: A study of gut microbiota alterations and functional pathways in antidepressant-naïve mood disorder patients.

Dysbiosis and depression: A study of gut microbiota alterations and functional pathways in antidepressant-naïve mood disorder patients.

Dysbiosis and depression: A study of gut microbiota alterations and functional pathways in antidepressant-naïve mood disorder patients.

Depression, a common mood disorder, has been associated with gut microbiota alterations, though the underlying microbial mechanisms remain unclear. This study investigated potential gut microbiota biomarkers and functional pathways in 106 antidepressant-naïve depressive patients and 151 healthy controls, with careful of confounding factors. Stool samples were analyzed using 16S rRNA sequencing, revealing significantly lower alpha diversity and distinct beta diversity in depressive patients. Eleven taxa with differential abundance were identified, including Dialister and Lactococcus (decreased) and Hungatella, Sellimonas, and Lachnoclostridium (elevated), which may relate to gut inflammation and depressive symptom severity. Functional pathway analysis highlighted 36 altered pathways, including those involved in purine degradation, lipopolysaccharide biosynthesis, and amino acid metabolism. A random forest classification model built using the identified taxa achieved moderate accuracy (~0.72) in distinguishing depressive patients from controls. Additionally, we developed a novel Depression Dysbiosis Index (DDI), which positively correlated with depression severity and effectively differentiated between groups. The DDI was robust across analyses, emphasizing its potential clinical value. Future research should incorporate longitudinal designs, advanced sequencing techniques, and additional clinical factors to deepen our understanding of the gut-brain axis in depression and improve diagnostic and therapeutic strategies.

求助全文
通过发布文献求助,成功后即可免费获取论文全文。 去求助
来源期刊
CiteScore
11.50
自引率
2.90%
发文量
484
审稿时长
23 weeks
期刊介绍: Psychiatry has suffered tremendously by the limited translational pipeline. Nobel laureate Julius Axelrod''s discovery in 1961 of monoamine reuptake by pre-synaptic neurons still forms the basis of contemporary antidepressant treatment. There is a grievous gap between the explosion of knowledge in neuroscience and conceptually novel treatments for our patients. Translational Psychiatry bridges this gap by fostering and highlighting the pathway from discovery to clinical applications, healthcare and global health. We view translation broadly as the full spectrum of work that marks the pathway from discovery to global health, inclusive. The steps of translation that are within the scope of Translational Psychiatry include (i) fundamental discovery, (ii) bench to bedside, (iii) bedside to clinical applications (clinical trials), (iv) translation to policy and health care guidelines, (v) assessment of health policy and usage, and (vi) global health. All areas of medical research, including — but not restricted to — molecular biology, genetics, pharmacology, imaging and epidemiology are welcome as they contribute to enhance the field of translational psychiatry.
×
引用
GB/T 7714-2015
复制
MLA
复制
APA
复制
导出至
BibTeX EndNote RefMan NoteFirst NoteExpress
×
提示
您的信息不完整,为了账户安全,请先补充。
现在去补充
×
提示
您因"违规操作"
具体请查看互助需知
我知道了
×
提示
确定
请完成安全验证×
copy
已复制链接
快去分享给好友吧!
我知道了
右上角分享
点击右上角分享
0
联系我们:info@booksci.cn Book学术提供免费学术资源搜索服务,方便国内外学者检索中英文文献。致力于提供最便捷和优质的服务体验。 Copyright © 2023 布克学术 All rights reserved.
京ICP备2023020795号-1
ghs 京公网安备 11010802042870号
Book学术文献互助
Book学术文献互助群
群 号:604180095
Book学术官方微信