美洲水貂(Neogale vison)与欧洲水貂(Mustela lutreola)的后生寄生虫区系比较。

IF 2 3区 医学 Q2 PARASITOLOGY
Anna V Schantz, Robin Stutz, Anne Steinhoff, Norbert Peter, Sven Klimpel
{"title":"美洲水貂(Neogale vison)与欧洲水貂(Mustela lutreola)的后生寄生虫区系比较。","authors":"Anna V Schantz, Robin Stutz, Anne Steinhoff, Norbert Peter, Sven Klimpel","doi":"10.1007/s00436-025-08543-8","DOIUrl":null,"url":null,"abstract":"<p><p>The American mink Neogale vison is native to North America and was introduced to Europe at the beginning of the twentieth century. Although N. vison is not yet listed as an invasive species in Europe, it is suspected of having negative impacts on native ecosystems. The native European mink Mustela lutreola is considered highly endangered in Europe and the population is continuously declining. It is assumed that the American mink is having an impact on the remaining populations. 50 American mink from Central Europe (Hesse/Germany) were comprehensively examined parasitologically through necropsy and fecal analysis. Further, an extensive literature search on parasitization was done to compare the American and European mink in Europe. Nine parasite species (two ecto- and seven endoparasites) could be identified parasitizing N. vison in this study. Through necropsy, the highest prevalence was achieved by Ixodes ticks with > 65.0%, the most common endoparasite was Isthmiophiora melis with 24.0%. Capillaria putorii and C. aerophila were detected in American mink in Germany for the first time by this investigation. The literature search resulted in the identification of 65 parasite species in twelve European countries for N. vison and 37 parasite species in six European countries for M. lutreola. Neogale vison is superior in body size, establishing well in Europe, appears to carry a more diverse parasite fauna and seems to be in direct competition to the disappearing European mink.</p>","PeriodicalId":19968,"journal":{"name":"Parasitology Research","volume":"124 8","pages":"92"},"PeriodicalIF":2.0000,"publicationDate":"2025-08-18","publicationTypes":"Journal Article","fieldsOfStudy":null,"isOpenAccess":false,"openAccessPdf":"https://www.ncbi.nlm.nih.gov/pmc/articles/PMC12361302/pdf/","citationCount":"0","resultStr":"{\"title\":\"Metazoan parasite fauna of the American mink (Neogale vison) in comparison with the closely related European mink (Mustela lutreola) in Europe.\",\"authors\":\"Anna V Schantz, Robin Stutz, Anne Steinhoff, Norbert Peter, Sven Klimpel\",\"doi\":\"10.1007/s00436-025-08543-8\",\"DOIUrl\":null,\"url\":null,\"abstract\":\"<p><p>The American mink Neogale vison is native to North America and was introduced to Europe at the beginning of the twentieth century. Although N. vison is not yet listed as an invasive species in Europe, it is suspected of having negative impacts on native ecosystems. The native European mink Mustela lutreola is considered highly endangered in Europe and the population is continuously declining. It is assumed that the American mink is having an impact on the remaining populations. 50 American mink from Central Europe (Hesse/Germany) were comprehensively examined parasitologically through necropsy and fecal analysis. Further, an extensive literature search on parasitization was done to compare the American and European mink in Europe. Nine parasite species (two ecto- and seven endoparasites) could be identified parasitizing N. vison in this study. Through necropsy, the highest prevalence was achieved by Ixodes ticks with > 65.0%, the most common endoparasite was Isthmiophiora melis with 24.0%. Capillaria putorii and C. aerophila were detected in American mink in Germany for the first time by this investigation. The literature search resulted in the identification of 65 parasite species in twelve European countries for N. vison and 37 parasite species in six European countries for M. lutreola. Neogale vison is superior in body size, establishing well in Europe, appears to carry a more diverse parasite fauna and seems to be in direct competition to the disappearing European mink.</p>\",\"PeriodicalId\":19968,\"journal\":{\"name\":\"Parasitology Research\",\"volume\":\"124 8\",\"pages\":\"92\"},\"PeriodicalIF\":2.0000,\"publicationDate\":\"2025-08-18\",\"publicationTypes\":\"Journal Article\",\"fieldsOfStudy\":null,\"isOpenAccess\":false,\"openAccessPdf\":\"https://www.ncbi.nlm.nih.gov/pmc/articles/PMC12361302/pdf/\",\"citationCount\":\"0\",\"resultStr\":null,\"platform\":\"Semanticscholar\",\"paperid\":null,\"PeriodicalName\":\"Parasitology Research\",\"FirstCategoryId\":\"3\",\"ListUrlMain\":\"https://doi.org/10.1007/s00436-025-08543-8\",\"RegionNum\":3,\"RegionCategory\":\"医学\",\"ArticlePicture\":[],\"TitleCN\":null,\"AbstractTextCN\":null,\"PMCID\":null,\"EPubDate\":\"\",\"PubModel\":\"\",\"JCR\":\"Q2\",\"JCRName\":\"PARASITOLOGY\",\"Score\":null,\"Total\":0}","platform":"Semanticscholar","paperid":null,"PeriodicalName":"Parasitology Research","FirstCategoryId":"3","ListUrlMain":"https://doi.org/10.1007/s00436-025-08543-8","RegionNum":3,"RegionCategory":"医学","ArticlePicture":[],"TitleCN":null,"AbstractTextCN":null,"PMCID":null,"EPubDate":"","PubModel":"","JCR":"Q2","JCRName":"PARASITOLOGY","Score":null,"Total":0}
引用次数: 0

摘要

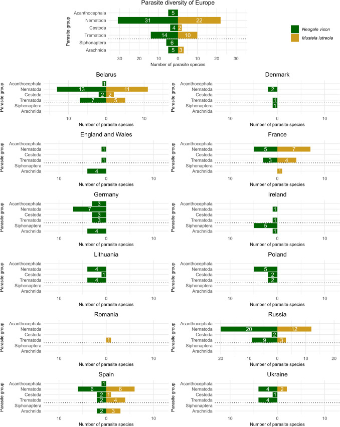
美国水貂Neogale vision原产于北美,在20世纪初被引入欧洲。虽然在欧洲,黑桫椤尚未被列为入侵物种,但人们怀疑它对当地生态系统有负面影响。欧洲本土水貂鼬在欧洲被认为是高度濒危物种,其数量正在持续下降。据推测,美国水貂正在对剩余的种群产生影响。对50只来自中欧(黑森州/德国)的美洲水貂进行了尸体解剖和粪便分析。在此基础上,对美洲水貂和欧洲水貂的寄生性进行了广泛的文献检索。本研究共鉴定出9种寄生虫寄生于视螨体内,其中2种为外寄生,7种为内寄生。经尸检发现,蜱内寄生虫患病率最高,为65.0%;最常见的内寄生虫为蛇皮虫,为24.0%。本调查在德国首次在美国水貂中检出putoriia和C. aerophili。文献检索结果显示,在12个欧洲国家鉴定出65种异视螨,在6个欧洲国家鉴定出37种鲁特弓形螨。Neogale vison在体型上更优越,在欧洲建立良好,似乎携带更多样化的寄生虫动物群,似乎与正在消失的欧洲水貂直接竞争。
本文章由计算机程序翻译,如有差异,请以英文原文为准。

Metazoan parasite fauna of the American mink (Neogale vison) in comparison with the closely related European mink (Mustela lutreola) in Europe.

Metazoan parasite fauna of the American mink (Neogale vison) in comparison with the closely related European mink (Mustela lutreola) in Europe.

Metazoan parasite fauna of the American mink (Neogale vison) in comparison with the closely related European mink (Mustela lutreola) in Europe.

Metazoan parasite fauna of the American mink (Neogale vison) in comparison with the closely related European mink (Mustela lutreola) in Europe.

The American mink Neogale vison is native to North America and was introduced to Europe at the beginning of the twentieth century. Although N. vison is not yet listed as an invasive species in Europe, it is suspected of having negative impacts on native ecosystems. The native European mink Mustela lutreola is considered highly endangered in Europe and the population is continuously declining. It is assumed that the American mink is having an impact on the remaining populations. 50 American mink from Central Europe (Hesse/Germany) were comprehensively examined parasitologically through necropsy and fecal analysis. Further, an extensive literature search on parasitization was done to compare the American and European mink in Europe. Nine parasite species (two ecto- and seven endoparasites) could be identified parasitizing N. vison in this study. Through necropsy, the highest prevalence was achieved by Ixodes ticks with > 65.0%, the most common endoparasite was Isthmiophiora melis with 24.0%. Capillaria putorii and C. aerophila were detected in American mink in Germany for the first time by this investigation. The literature search resulted in the identification of 65 parasite species in twelve European countries for N. vison and 37 parasite species in six European countries for M. lutreola. Neogale vison is superior in body size, establishing well in Europe, appears to carry a more diverse parasite fauna and seems to be in direct competition to the disappearing European mink.

求助全文
通过发布文献求助,成功后即可免费获取论文全文。 去求助
来源期刊
Parasitology Research
Parasitology Research 医学-寄生虫学
CiteScore
4.10
自引率
5.00%
发文量
346
审稿时长
6 months
期刊介绍: The journal Parasitology Research covers the latest developments in parasitology across a variety of disciplines, including biology, medicine and veterinary medicine. Among many topics discussed are chemotherapy and control of parasitic disease, and the relationship of host and parasite. Other coverage includes: Protozoology, Helminthology, Entomology; Morphology (incl. Pathomorphology, Ultrastructure); Biochemistry, Physiology including Pathophysiology; Parasite-Host-Relationships including Immunology and Host Specificity; life history, ecology and epidemiology; and Diagnosis, Chemotherapy and Control of Parasitic Diseases.
×
引用
GB/T 7714-2015
复制
MLA
复制
APA
复制
导出至
BibTeX EndNote RefMan NoteFirst NoteExpress
×
提示
您的信息不完整,为了账户安全,请先补充。
现在去补充
×
提示
您因"违规操作"
具体请查看互助需知
我知道了
×
提示
确定
请完成安全验证×
copy
已复制链接
快去分享给好友吧!
我知道了
右上角分享
点击右上角分享
0
联系我们:info@booksci.cn Book学术提供免费学术资源搜索服务,方便国内外学者检索中英文文献。致力于提供最便捷和优质的服务体验。 Copyright © 2023 布克学术 All rights reserved.
京ICP备2023020795号-1
ghs 京公网安备 11010802042870号
Book学术文献互助
Book学术文献互助群
群 号:604180095
Book学术官方微信