实时pH值和温度监测在固态发酵揭示培养生理学和优化酶收获量身定制的应用。

IF 4.9 2区 生物学 Q1 BIOTECHNOLOGY & APPLIED MICROBIOLOGY
Md Fauzul Kabir, Afranul Qader Ovi, Lu-Kwang Ju
{"title":"实时pH值和温度监测在固态发酵揭示培养生理学和优化酶收获量身定制的应用。","authors":"Md Fauzul Kabir, Afranul Qader Ovi, Lu-Kwang Ju","doi":"10.1186/s12934-025-02820-y","DOIUrl":null,"url":null,"abstract":"<p><p>Enzyme production is crucial for biorefinery applications and the valorization of agricultural residues. However, real-time monitoring of pH and temperature in enzyme-producing solid-state fermentation (SSF) is generally regarded as challenging due to the system's complexity, with previous studies relying primarily on sacrificial sampling for pH measurements. This study integrates real-time monitoring of pH and temperature with systematic nutrient medium optimization to enhance the SSF enzyme production of α-galactosidase, invertase, pectinase, xylanase, and cellulase by Aspergillus niger NRRL 322 using soybean hulls as the sole carbon source. By capturing dynamic shifts in pH and temperature throughout fermentation, this approach provided important insights into cell growth dynamics, metabolic transitions, and their direct correlations with enzyme production profiles. Comparative analysis of different nutrient media, including nitrogen sources, macronutrient concentrations, and medium strengths, revealed that nitrogen supplementation and balanced macronutrient levels are critical for maximizing enzyme yields. Notably, pH fluctuations were strongly linked to enzyme activity trends, with pectinase and xylanase exhibiting distinct declines after reaching peak levels. The ability to monitor pH and temperature in real time enabled precise optimization of harvest timing for specific enzyme compositions tailored to different industrial applications. These findings establish real-time pH and temperature tracking as a valuable tool for improving SSF process control, paving the way for more efficient and economically viable enzyme production in sustainable biorefineries.</p>","PeriodicalId":18582,"journal":{"name":"Microbial Cell Factories","volume":"24 1","pages":"188"},"PeriodicalIF":4.9000,"publicationDate":"2025-08-18","publicationTypes":"Journal Article","fieldsOfStudy":null,"isOpenAccess":false,"openAccessPdf":"https://www.ncbi.nlm.nih.gov/pmc/articles/PMC12359996/pdf/","citationCount":"0","resultStr":"{\"title\":\"Real-time pH and temperature monitoring in solid-state fermentation reveals culture physiology and optimizes enzyme harvesting for tailored applications.\",\"authors\":\"Md Fauzul Kabir, Afranul Qader Ovi, Lu-Kwang Ju\",\"doi\":\"10.1186/s12934-025-02820-y\",\"DOIUrl\":null,\"url\":null,\"abstract\":\"<p><p>Enzyme production is crucial for biorefinery applications and the valorization of agricultural residues. However, real-time monitoring of pH and temperature in enzyme-producing solid-state fermentation (SSF) is generally regarded as challenging due to the system's complexity, with previous studies relying primarily on sacrificial sampling for pH measurements. This study integrates real-time monitoring of pH and temperature with systematic nutrient medium optimization to enhance the SSF enzyme production of α-galactosidase, invertase, pectinase, xylanase, and cellulase by Aspergillus niger NRRL 322 using soybean hulls as the sole carbon source. By capturing dynamic shifts in pH and temperature throughout fermentation, this approach provided important insights into cell growth dynamics, metabolic transitions, and their direct correlations with enzyme production profiles. Comparative analysis of different nutrient media, including nitrogen sources, macronutrient concentrations, and medium strengths, revealed that nitrogen supplementation and balanced macronutrient levels are critical for maximizing enzyme yields. Notably, pH fluctuations were strongly linked to enzyme activity trends, with pectinase and xylanase exhibiting distinct declines after reaching peak levels. The ability to monitor pH and temperature in real time enabled precise optimization of harvest timing for specific enzyme compositions tailored to different industrial applications. These findings establish real-time pH and temperature tracking as a valuable tool for improving SSF process control, paving the way for more efficient and economically viable enzyme production in sustainable biorefineries.</p>\",\"PeriodicalId\":18582,\"journal\":{\"name\":\"Microbial Cell Factories\",\"volume\":\"24 1\",\"pages\":\"188\"},\"PeriodicalIF\":4.9000,\"publicationDate\":\"2025-08-18\",\"publicationTypes\":\"Journal Article\",\"fieldsOfStudy\":null,\"isOpenAccess\":false,\"openAccessPdf\":\"https://www.ncbi.nlm.nih.gov/pmc/articles/PMC12359996/pdf/\",\"citationCount\":\"0\",\"resultStr\":null,\"platform\":\"Semanticscholar\",\"paperid\":null,\"PeriodicalName\":\"Microbial Cell Factories\",\"FirstCategoryId\":\"5\",\"ListUrlMain\":\"https://doi.org/10.1186/s12934-025-02820-y\",\"RegionNum\":2,\"RegionCategory\":\"生物学\",\"ArticlePicture\":[],\"TitleCN\":null,\"AbstractTextCN\":null,\"PMCID\":null,\"EPubDate\":\"\",\"PubModel\":\"\",\"JCR\":\"Q1\",\"JCRName\":\"BIOTECHNOLOGY & APPLIED MICROBIOLOGY\",\"Score\":null,\"Total\":0}","platform":"Semanticscholar","paperid":null,"PeriodicalName":"Microbial Cell Factories","FirstCategoryId":"5","ListUrlMain":"https://doi.org/10.1186/s12934-025-02820-y","RegionNum":2,"RegionCategory":"生物学","ArticlePicture":[],"TitleCN":null,"AbstractTextCN":null,"PMCID":null,"EPubDate":"","PubModel":"","JCR":"Q1","JCRName":"BIOTECHNOLOGY & APPLIED MICROBIOLOGY","Score":null,"Total":0}
引用次数: 0

摘要

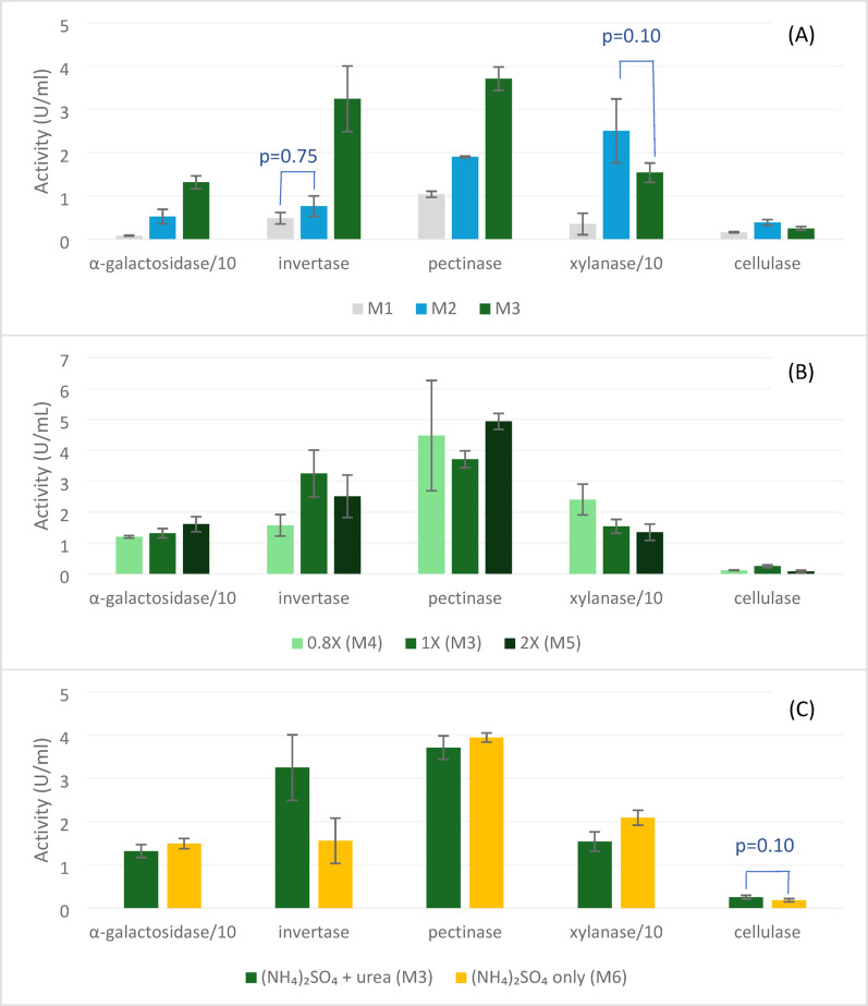
酶的生产对生物炼制应用和农业残留物的增值至关重要。然而,由于系统的复杂性,实时监测产酶固态发酵(SSF)的pH和温度通常被认为是具有挑战性的,以前的研究主要依赖于牺牲采样来测量pH值。本研究以大豆皮为唯一碳源,通过实时监测pH和温度,系统优化营养培养基,提高黑曲霉NRRL 322生产α-半乳糖苷酶、转化酶、果胶酶、木聚糖酶和纤维素酶等SSF酶的产量。通过在发酵过程中捕捉pH和温度的动态变化,这种方法提供了对细胞生长动力学、代谢转变及其与酶生产概况的直接相关性的重要见解。通过对氮源、宏量营养素浓度和培养基强度等不同营养培养基的对比分析,发现氮的补充和平衡的宏量营养素水平对酶产量的最大化至关重要。值得注意的是,pH值波动与酶活性趋势密切相关,果胶酶和木聚糖酶在达到峰值后明显下降。实时监测pH值和温度的能力可以精确优化针对不同工业应用的特定酶组成的收获时间。这些发现建立了实时pH和温度跟踪作为改进SSF过程控制的有价值的工具,为可持续生物精炼厂更有效和经济可行的酶生产铺平了道路。
本文章由计算机程序翻译,如有差异,请以英文原文为准。

Real-time pH and temperature monitoring in solid-state fermentation reveals culture physiology and optimizes enzyme harvesting for tailored applications.

Real-time pH and temperature monitoring in solid-state fermentation reveals culture physiology and optimizes enzyme harvesting for tailored applications.

Real-time pH and temperature monitoring in solid-state fermentation reveals culture physiology and optimizes enzyme harvesting for tailored applications.

Real-time pH and temperature monitoring in solid-state fermentation reveals culture physiology and optimizes enzyme harvesting for tailored applications.

Enzyme production is crucial for biorefinery applications and the valorization of agricultural residues. However, real-time monitoring of pH and temperature in enzyme-producing solid-state fermentation (SSF) is generally regarded as challenging due to the system's complexity, with previous studies relying primarily on sacrificial sampling for pH measurements. This study integrates real-time monitoring of pH and temperature with systematic nutrient medium optimization to enhance the SSF enzyme production of α-galactosidase, invertase, pectinase, xylanase, and cellulase by Aspergillus niger NRRL 322 using soybean hulls as the sole carbon source. By capturing dynamic shifts in pH and temperature throughout fermentation, this approach provided important insights into cell growth dynamics, metabolic transitions, and their direct correlations with enzyme production profiles. Comparative analysis of different nutrient media, including nitrogen sources, macronutrient concentrations, and medium strengths, revealed that nitrogen supplementation and balanced macronutrient levels are critical for maximizing enzyme yields. Notably, pH fluctuations were strongly linked to enzyme activity trends, with pectinase and xylanase exhibiting distinct declines after reaching peak levels. The ability to monitor pH and temperature in real time enabled precise optimization of harvest timing for specific enzyme compositions tailored to different industrial applications. These findings establish real-time pH and temperature tracking as a valuable tool for improving SSF process control, paving the way for more efficient and economically viable enzyme production in sustainable biorefineries.

求助全文
通过发布文献求助,成功后即可免费获取论文全文。 去求助
来源期刊
Microbial Cell Factories
Microbial Cell Factories 工程技术-生物工程与应用微生物
CiteScore
9.30
自引率
4.70%
发文量
235
审稿时长
2.3 months
期刊介绍: Microbial Cell Factories is an open access peer-reviewed journal that covers any topic related to the development, use and investigation of microbial cells as producers of recombinant proteins and natural products, or as catalyzers of biological transformations of industrial interest. Microbial Cell Factories is the world leading, primary research journal fully focusing on Applied Microbiology. The journal is divided into the following editorial sections: -Metabolic engineering -Synthetic biology -Whole-cell biocatalysis -Microbial regulations -Recombinant protein production/bioprocessing -Production of natural compounds -Systems biology of cell factories -Microbial production processes -Cell-free systems
×
引用
GB/T 7714-2015
复制
MLA
复制
APA
复制
导出至
BibTeX EndNote RefMan NoteFirst NoteExpress
×
提示
您的信息不完整,为了账户安全,请先补充。
现在去补充
×
提示
您因"违规操作"
具体请查看互助需知
我知道了
×
提示
确定
请完成安全验证×
copy
已复制链接
快去分享给好友吧!
我知道了
右上角分享
点击右上角分享
0
联系我们:info@booksci.cn Book学术提供免费学术资源搜索服务,方便国内外学者检索中英文文献。致力于提供最便捷和优质的服务体验。 Copyright © 2023 布克学术 All rights reserved.
京ICP备2023020795号-1
ghs 京公网安备 11010802042870号
Book学术文献互助
Book学术文献互助群
群 号:604180095
Book学术官方微信