黄曲霉毒素B1的微生物或酶降解及其机理研究进展

IF 3.1 4区 生物学 Q3 BIOTECHNOLOGY & APPLIED MICROBIOLOGY
Aiyuan Zhang, Jiguo Yang
{"title":"黄曲霉毒素B1的微生物或酶降解及其机理研究进展","authors":"Aiyuan Zhang, Jiguo Yang","doi":"10.4014/jmb.2504.04044","DOIUrl":null,"url":null,"abstract":"<p><p>Aflatoxins (AFs) are secondary metabolites produced by toxigenic <i>Aspergillus</i> species, which are highly toxic and exhibit carcinogenic, mutagenic, and teratogenic properties, posing a significant threat to human and animal health. Cereals and their products are the primary targets for aflatoxin-producing fungal contamination, causing substantial losses to the livestock and food industries. Due to the high toxicity and widespread contamination of aflatoxin B1 (AFB1), the prevention and degradation of AFs in cereals and their products are essential. This review summarizes the AFB1-degrading bacteria, such as <i>Bacillus</i>, <i>Actinomycetes</i>, and <i>γ-Proteobacteria</i>, as well as fungi, including <i>Aspergillus</i> and <i>Basidiomycota</i>. It also provides an overview and discussion of the chemical structures and toxicity of the degradation products. Additionally, the review delves into the possible oxidative, reductive, and hydrolytic mechanisms of AFB1 enzymatic degradation. The aim of this study is to provide a reference for the biological degradation of AFB1 and to promote further research in this area.</p>","PeriodicalId":16481,"journal":{"name":"Journal of microbiology and biotechnology","volume":"35 ","pages":"e2504044"},"PeriodicalIF":3.1000,"publicationDate":"2025-08-18","publicationTypes":"Journal Article","fieldsOfStudy":null,"isOpenAccess":false,"openAccessPdf":"https://www.ncbi.nlm.nih.gov/pmc/articles/PMC12375543/pdf/","citationCount":"0","resultStr":"{\"title\":\"A Review of Research Progress on the Microbial or Enzymatic Degradation and Mechanism of Aflatoxin B1.\",\"authors\":\"Aiyuan Zhang, Jiguo Yang\",\"doi\":\"10.4014/jmb.2504.04044\",\"DOIUrl\":null,\"url\":null,\"abstract\":\"<p><p>Aflatoxins (AFs) are secondary metabolites produced by toxigenic <i>Aspergillus</i> species, which are highly toxic and exhibit carcinogenic, mutagenic, and teratogenic properties, posing a significant threat to human and animal health. Cereals and their products are the primary targets for aflatoxin-producing fungal contamination, causing substantial losses to the livestock and food industries. Due to the high toxicity and widespread contamination of aflatoxin B1 (AFB1), the prevention and degradation of AFs in cereals and their products are essential. This review summarizes the AFB1-degrading bacteria, such as <i>Bacillus</i>, <i>Actinomycetes</i>, and <i>γ-Proteobacteria</i>, as well as fungi, including <i>Aspergillus</i> and <i>Basidiomycota</i>. It also provides an overview and discussion of the chemical structures and toxicity of the degradation products. Additionally, the review delves into the possible oxidative, reductive, and hydrolytic mechanisms of AFB1 enzymatic degradation. The aim of this study is to provide a reference for the biological degradation of AFB1 and to promote further research in this area.</p>\",\"PeriodicalId\":16481,\"journal\":{\"name\":\"Journal of microbiology and biotechnology\",\"volume\":\"35 \",\"pages\":\"e2504044\"},\"PeriodicalIF\":3.1000,\"publicationDate\":\"2025-08-18\",\"publicationTypes\":\"Journal Article\",\"fieldsOfStudy\":null,\"isOpenAccess\":false,\"openAccessPdf\":\"https://www.ncbi.nlm.nih.gov/pmc/articles/PMC12375543/pdf/\",\"citationCount\":\"0\",\"resultStr\":null,\"platform\":\"Semanticscholar\",\"paperid\":null,\"PeriodicalName\":\"Journal of microbiology and biotechnology\",\"FirstCategoryId\":\"5\",\"ListUrlMain\":\"https://doi.org/10.4014/jmb.2504.04044\",\"RegionNum\":4,\"RegionCategory\":\"生物学\",\"ArticlePicture\":[],\"TitleCN\":null,\"AbstractTextCN\":null,\"PMCID\":null,\"EPubDate\":\"\",\"PubModel\":\"\",\"JCR\":\"Q3\",\"JCRName\":\"BIOTECHNOLOGY & APPLIED MICROBIOLOGY\",\"Score\":null,\"Total\":0}","platform":"Semanticscholar","paperid":null,"PeriodicalName":"Journal of microbiology and biotechnology","FirstCategoryId":"5","ListUrlMain":"https://doi.org/10.4014/jmb.2504.04044","RegionNum":4,"RegionCategory":"生物学","ArticlePicture":[],"TitleCN":null,"AbstractTextCN":null,"PMCID":null,"EPubDate":"","PubModel":"","JCR":"Q3","JCRName":"BIOTECHNOLOGY & APPLIED MICROBIOLOGY","Score":null,"Total":0}
引用次数: 0

摘要

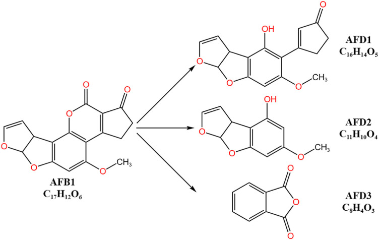
黄曲霉毒素(AFs)是产毒曲霉产生的次生代谢产物,具有高毒性,具有致癌、致突变和致畸特性,对人类和动物健康构成重大威胁。谷物及其制品是产生黄曲霉毒素的真菌污染的主要目标,给畜牧业和食品工业造成重大损失。由于黄曲霉毒素B1 (AFB1)的高毒性和广泛的污染,预防和降解黄曲霉毒素在谷物及其制品中至关重要。本文综述了afb1的降解细菌,如芽孢杆菌、放线菌、γ-变形菌,真菌,包括曲霉和担子菌。它还提供了概述和讨论的化学结构和降解产物的毒性。此外,本文还深入探讨了AFB1酶降解的可能的氧化、还原和水解机制。本研究旨在为AFB1的生物降解提供参考,并促进该领域的进一步研究。
本文章由计算机程序翻译,如有差异,请以英文原文为准。

A Review of Research Progress on the Microbial or Enzymatic Degradation and Mechanism of Aflatoxin B1.

A Review of Research Progress on the Microbial or Enzymatic Degradation and Mechanism of Aflatoxin B1.

A Review of Research Progress on the Microbial or Enzymatic Degradation and Mechanism of Aflatoxin B1.

A Review of Research Progress on the Microbial or Enzymatic Degradation and Mechanism of Aflatoxin B1.

Aflatoxins (AFs) are secondary metabolites produced by toxigenic Aspergillus species, which are highly toxic and exhibit carcinogenic, mutagenic, and teratogenic properties, posing a significant threat to human and animal health. Cereals and their products are the primary targets for aflatoxin-producing fungal contamination, causing substantial losses to the livestock and food industries. Due to the high toxicity and widespread contamination of aflatoxin B1 (AFB1), the prevention and degradation of AFs in cereals and their products are essential. This review summarizes the AFB1-degrading bacteria, such as Bacillus, Actinomycetes, and γ-Proteobacteria, as well as fungi, including Aspergillus and Basidiomycota. It also provides an overview and discussion of the chemical structures and toxicity of the degradation products. Additionally, the review delves into the possible oxidative, reductive, and hydrolytic mechanisms of AFB1 enzymatic degradation. The aim of this study is to provide a reference for the biological degradation of AFB1 and to promote further research in this area.

求助全文
通过发布文献求助,成功后即可免费获取论文全文。 去求助
来源期刊
Journal of microbiology and biotechnology
Journal of microbiology and biotechnology BIOTECHNOLOGY & APPLIED MICROBIOLOGY-MICROBIOLOGY
CiteScore
5.50
自引率
3.60%
发文量
151
审稿时长
2 months
期刊介绍: The Journal of Microbiology and Biotechnology (JMB) is a monthly international journal devoted to the advancement and dissemination of scientific knowledge pertaining to microbiology, biotechnology, and related academic disciplines. It covers various scientific and technological aspects of Molecular and Cellular Microbiology, Environmental Microbiology and Biotechnology, Food Biotechnology, and Biotechnology and Bioengineering (subcategories are listed below). Launched in March 1991, the JMB is published by the Korean Society for Microbiology and Biotechnology (KMB) and distributed worldwide.
×
引用
GB/T 7714-2015
复制
MLA
复制
APA
复制
导出至
BibTeX EndNote RefMan NoteFirst NoteExpress
×
提示
您的信息不完整,为了账户安全,请先补充。
现在去补充
×
提示
您因"违规操作"
具体请查看互助需知
我知道了
×
提示
确定
请完成安全验证×
copy
已复制链接
快去分享给好友吧!
我知道了
右上角分享
点击右上角分享
0
联系我们:info@booksci.cn Book学术提供免费学术资源搜索服务,方便国内外学者检索中英文文献。致力于提供最便捷和优质的服务体验。 Copyright © 2023 布克学术 All rights reserved.
京ICP备2023020795号-1
ghs 京公网安备 11010802042870号
Book学术文献互助
Book学术文献互助群
群 号:604180095
Book学术官方微信