机器人TAPP和IPOM技术在腹疝修复中的安全性和有效性比较:短期结果的系统回顾和荟萃分析。

IF 2.4 2区 医学 Q1 SURGERY
Hernia Pub Date : 2025-08-19 DOI:10.1007/s10029-025-03454-0
Ahmed Abdelsamad, Ibrahim Khalil, Khaled Ashraf Mohamed, Aya Sayed Ahmed Said Serour, Mohammed Khaled Mohammed, Noureldin Mostafa, Youssef Osama Badie, Zeyad M Wesh, Alaeldin Mohamedsami Mohamedosman Ali, Florian Gebauer
{"title":"机器人TAPP和IPOM技术在腹疝修复中的安全性和有效性比较:短期结果的系统回顾和荟萃分析。","authors":"Ahmed Abdelsamad, Ibrahim Khalil, Khaled Ashraf Mohamed, Aya Sayed Ahmed Said Serour, Mohammed Khaled Mohammed, Noureldin Mostafa, Youssef Osama Badie, Zeyad M Wesh, Alaeldin Mohamedsami Mohamedosman Ali, Florian Gebauer","doi":"10.1007/s10029-025-03454-0","DOIUrl":null,"url":null,"abstract":"<p><strong>Background: </strong>Robotic-assisted ventral hernia repair has gained popularity for its enhanced precision and visualization. Two main approaches-r-IPOM and r-TAPP-differ in technique and risk profiles. r-IPOM/+ is technically simpler and preferred for larger defects, but may increase seroma and bowel-related complications. Conversely, r-TAPP employs extraperitoneal mesh positioning, potentially reducing postoperative complications. This meta-analysis aimed to compare perioperative outcomes between r-IPOM and r-TAPP, focusing on seroma, surgical site infection (SSI), and hernia defect closure. Secondary outcomes included recurrence, reoperation, operative time, and hospital stay.</p><p><strong>Methods: </strong>A systematic meta-analysis, including 11 studies and 1001 patients, was performed. Pooled event rates and mean differences were calculated using random-effects models. Subgroup analyses based on mesh type and meta-regression assessing the impact of defect closure on complication rates were conducted. Evidence certainty was evaluated using the GRADE approach.</p><p><strong>Results: </strong>Both approaches achieved high defect closure rates (r-IPOM+: 98%, r-TAPP: 99%; p = 0.9). Seroma and hematoma rates were low without significant differences; however, r-IPOM showed a slightly higher trend. r-TAPP demonstrated a significantly lower Surgical site infection (SSI) rate (1%) compared to (r-IPOM 4%, p = 0.02), although these complications themselves did not differ significantly between groups, indicating a possible but unconfirmed association. Recurrence, reoperation, operative time, and hospital stay were comparable. Meta-regression indicated a non-significant trend toward fewer complications with higher closure rates (p = 0.09). The GRADE assessment rated the certainty of evidence as high across all outcomes.</p><p><strong>Conclusion: </strong>Both r-TAPP and r-IPOM are effective and safe for robotic ventral hernia repair. A significant inverse correlation between closure rates and complication rates underscores the importance of complete, tension-free closure. While perioperative outcomes are largely comparable, r-TAPP may reduce infection risk likely due to lower seroma and hematoma rates. Approach selection should be guided by patient factors, anatomical considerations, and surgical expertise.</p>","PeriodicalId":13168,"journal":{"name":"Hernia","volume":"29 1","pages":"255"},"PeriodicalIF":2.4000,"publicationDate":"2025-08-19","publicationTypes":"Journal Article","fieldsOfStudy":null,"isOpenAccess":false,"openAccessPdf":"https://www.ncbi.nlm.nih.gov/pmc/articles/PMC12364986/pdf/","citationCount":"0","resultStr":"{\"title\":\"\\\"Comparative safety and efficacy of robotic TAPP and IPOM techniques in ventral hernia repair: a systematic review and meta-analysis of Short-term Outcomes\\\".\",\"authors\":\"Ahmed Abdelsamad, Ibrahim Khalil, Khaled Ashraf Mohamed, Aya Sayed Ahmed Said Serour, Mohammed Khaled Mohammed, Noureldin Mostafa, Youssef Osama Badie, Zeyad M Wesh, Alaeldin Mohamedsami Mohamedosman Ali, Florian Gebauer\",\"doi\":\"10.1007/s10029-025-03454-0\",\"DOIUrl\":null,\"url\":null,\"abstract\":\"<p><strong>Background: </strong>Robotic-assisted ventral hernia repair has gained popularity for its enhanced precision and visualization. Two main approaches-r-IPOM and r-TAPP-differ in technique and risk profiles. r-IPOM/+ is technically simpler and preferred for larger defects, but may increase seroma and bowel-related complications. Conversely, r-TAPP employs extraperitoneal mesh positioning, potentially reducing postoperative complications. This meta-analysis aimed to compare perioperative outcomes between r-IPOM and r-TAPP, focusing on seroma, surgical site infection (SSI), and hernia defect closure. Secondary outcomes included recurrence, reoperation, operative time, and hospital stay.</p><p><strong>Methods: </strong>A systematic meta-analysis, including 11 studies and 1001 patients, was performed. Pooled event rates and mean differences were calculated using random-effects models. Subgroup analyses based on mesh type and meta-regression assessing the impact of defect closure on complication rates were conducted. Evidence certainty was evaluated using the GRADE approach.</p><p><strong>Results: </strong>Both approaches achieved high defect closure rates (r-IPOM+: 98%, r-TAPP: 99%; p = 0.9). Seroma and hematoma rates were low without significant differences; however, r-IPOM showed a slightly higher trend. r-TAPP demonstrated a significantly lower Surgical site infection (SSI) rate (1%) compared to (r-IPOM 4%, p = 0.02), although these complications themselves did not differ significantly between groups, indicating a possible but unconfirmed association. Recurrence, reoperation, operative time, and hospital stay were comparable. Meta-regression indicated a non-significant trend toward fewer complications with higher closure rates (p = 0.09). The GRADE assessment rated the certainty of evidence as high across all outcomes.</p><p><strong>Conclusion: </strong>Both r-TAPP and r-IPOM are effective and safe for robotic ventral hernia repair. A significant inverse correlation between closure rates and complication rates underscores the importance of complete, tension-free closure. While perioperative outcomes are largely comparable, r-TAPP may reduce infection risk likely due to lower seroma and hematoma rates. Approach selection should be guided by patient factors, anatomical considerations, and surgical expertise.</p>\",\"PeriodicalId\":13168,\"journal\":{\"name\":\"Hernia\",\"volume\":\"29 1\",\"pages\":\"255\"},\"PeriodicalIF\":2.4000,\"publicationDate\":\"2025-08-19\",\"publicationTypes\":\"Journal Article\",\"fieldsOfStudy\":null,\"isOpenAccess\":false,\"openAccessPdf\":\"https://www.ncbi.nlm.nih.gov/pmc/articles/PMC12364986/pdf/\",\"citationCount\":\"0\",\"resultStr\":null,\"platform\":\"Semanticscholar\",\"paperid\":null,\"PeriodicalName\":\"Hernia\",\"FirstCategoryId\":\"3\",\"ListUrlMain\":\"https://doi.org/10.1007/s10029-025-03454-0\",\"RegionNum\":2,\"RegionCategory\":\"医学\",\"ArticlePicture\":[],\"TitleCN\":null,\"AbstractTextCN\":null,\"PMCID\":null,\"EPubDate\":\"\",\"PubModel\":\"\",\"JCR\":\"Q1\",\"JCRName\":\"SURGERY\",\"Score\":null,\"Total\":0}","platform":"Semanticscholar","paperid":null,"PeriodicalName":"Hernia","FirstCategoryId":"3","ListUrlMain":"https://doi.org/10.1007/s10029-025-03454-0","RegionNum":2,"RegionCategory":"医学","ArticlePicture":[],"TitleCN":null,"AbstractTextCN":null,"PMCID":null,"EPubDate":"","PubModel":"","JCR":"Q1","JCRName":"SURGERY","Score":null,"Total":0}
引用次数: 0

摘要

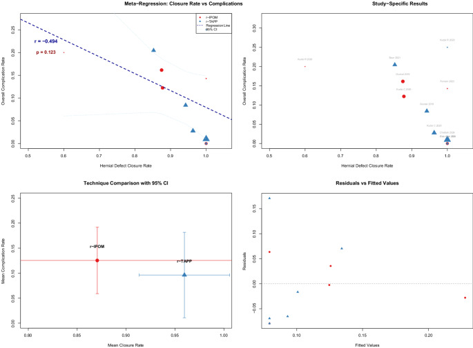
背景:机器人辅助腹疝修补术因其精确性和可视性的提高而广受欢迎。两种主要的方法——ipom和ttap——在技术和风险方面有所不同。r-IPOM/+在技术上更简单,适用于较大的缺陷,但可能增加血肿和肠道相关并发症。相反,r-TAPP采用腹膜外补片定位,可能减少术后并发症。本荟萃分析旨在比较r-IPOM和r-TAPP的围手术期结果,重点关注血肿、手术部位感染(SSI)和疝缺损闭合。次要结局包括复发、再手术、手术时间和住院时间。方法:系统荟萃分析,包括11项研究和1001例患者。使用随机效应模型计算合并事件率和平均差异。基于补片类型和元回归进行亚组分析,评估缺损闭合对并发症发生率的影响。使用GRADE方法评估证据确定性。结果:两种方法均获得较高的缺陷闭合率(r-IPOM+: 98%, r-TAPP: 99%; p = 0.9)。血肿、血肿发生率低,差异无统计学意义;而r-IPOM呈略高趋势。r-TAPP显示手术部位感染(SSI)率(1%)明显低于r-IPOM (4%, p = 0.02),尽管这些并发症本身在两组之间没有显著差异,表明可能存在但未经证实的关联。复发、再手术、手术时间和住院时间具有可比性。meta回归显示并发症少、闭合率高的趋势不显著(p = 0.09)。GRADE评估将所有结果的证据确定性评定为高。结论:r-TAPP和r-IPOM在机器人腹疝修补术中均是安全有效的。闭合率和并发症发生率之间的显著负相关强调了完全无张力闭合的重要性。虽然围手术期的结果在很大程度上是可比性的,但r-TAPP可能由于血清肿和血肿发生率较低而降低感染风险。入路选择应根据患者因素、解剖学考虑和外科专业知识进行指导。
本文章由计算机程序翻译,如有差异,请以英文原文为准。

"Comparative safety and efficacy of robotic TAPP and IPOM techniques in ventral hernia repair: a systematic review and meta-analysis of Short-term Outcomes".

"Comparative safety and efficacy of robotic TAPP and IPOM techniques in ventral hernia repair: a systematic review and meta-analysis of Short-term Outcomes".

"Comparative safety and efficacy of robotic TAPP and IPOM techniques in ventral hernia repair: a systematic review and meta-analysis of Short-term Outcomes".

"Comparative safety and efficacy of robotic TAPP and IPOM techniques in ventral hernia repair: a systematic review and meta-analysis of Short-term Outcomes".

Background: Robotic-assisted ventral hernia repair has gained popularity for its enhanced precision and visualization. Two main approaches-r-IPOM and r-TAPP-differ in technique and risk profiles. r-IPOM/+ is technically simpler and preferred for larger defects, but may increase seroma and bowel-related complications. Conversely, r-TAPP employs extraperitoneal mesh positioning, potentially reducing postoperative complications. This meta-analysis aimed to compare perioperative outcomes between r-IPOM and r-TAPP, focusing on seroma, surgical site infection (SSI), and hernia defect closure. Secondary outcomes included recurrence, reoperation, operative time, and hospital stay.

Methods: A systematic meta-analysis, including 11 studies and 1001 patients, was performed. Pooled event rates and mean differences were calculated using random-effects models. Subgroup analyses based on mesh type and meta-regression assessing the impact of defect closure on complication rates were conducted. Evidence certainty was evaluated using the GRADE approach.

Results: Both approaches achieved high defect closure rates (r-IPOM+: 98%, r-TAPP: 99%; p = 0.9). Seroma and hematoma rates were low without significant differences; however, r-IPOM showed a slightly higher trend. r-TAPP demonstrated a significantly lower Surgical site infection (SSI) rate (1%) compared to (r-IPOM 4%, p = 0.02), although these complications themselves did not differ significantly between groups, indicating a possible but unconfirmed association. Recurrence, reoperation, operative time, and hospital stay were comparable. Meta-regression indicated a non-significant trend toward fewer complications with higher closure rates (p = 0.09). The GRADE assessment rated the certainty of evidence as high across all outcomes.

Conclusion: Both r-TAPP and r-IPOM are effective and safe for robotic ventral hernia repair. A significant inverse correlation between closure rates and complication rates underscores the importance of complete, tension-free closure. While perioperative outcomes are largely comparable, r-TAPP may reduce infection risk likely due to lower seroma and hematoma rates. Approach selection should be guided by patient factors, anatomical considerations, and surgical expertise.

求助全文
通过发布文献求助,成功后即可免费获取论文全文。 去求助
来源期刊
Hernia
Hernia SURGERY-
CiteScore
4.90
自引率
26.10%
发文量
171
审稿时长
4-8 weeks
期刊介绍: Hernia was founded in 1997 by Jean P. Chevrel with the purpose of promoting clinical studies and basic research as they apply to groin hernias and the abdominal wall . Since that time, a true revolution in the field of hernia studies has transformed the field from a ”simple” disease to one that is very specialized. While the majority of surgeries for primary inguinal and abdominal wall hernia are performed in hospitals worldwide, complex situations such as multi recurrences, complications, abdominal wall reconstructions and others are being studied and treated in specialist centers. As a result, major institutions and societies are creating specific parameters and criteria to better address the complexities of hernia surgery. Hernia is a journal written by surgeons who have made abdominal wall surgery their specific field of interest, but we will consider publishing content from any surgeon who wishes to improve the science of this field. The Journal aims to ensure that hernia surgery is safer and easier for surgeons as well as patients, and provides a forum to all surgeons in the exchange of new ideas, results, and important research that is the basis of professional activity.
×
引用
GB/T 7714-2015
复制
MLA
复制
APA
复制
导出至
BibTeX EndNote RefMan NoteFirst NoteExpress
×
提示
您的信息不完整,为了账户安全,请先补充。
现在去补充
×
提示
您因"违规操作"
具体请查看互助需知
我知道了
×
提示
确定
请完成安全验证×
copy
已复制链接
快去分享给好友吧!
我知道了
右上角分享
点击右上角分享
0
联系我们:info@booksci.cn Book学术提供免费学术资源搜索服务,方便国内外学者检索中英文文献。致力于提供最便捷和优质的服务体验。 Copyright © 2023 布克学术 All rights reserved.
京ICP备2023020795号-1
ghs 京公网安备 11010802042870号
Book学术文献互助
Book学术文献互助群
群 号:604180095
Book学术官方微信