白细胞介素-6信号在胸膜感染中的作用:观察和遗传分析。

IF 10.8 1区 医学 Q1 MEDICINE, RESEARCH & EXPERIMENTAL
EBioMedicine Pub Date : 2025-09-01 Epub Date: 2025-08-16 DOI:10.1016/j.ebiom.2025.105887
Amerikos Argyriou, Alex Robbins, Rachel Scott, Jodie Chalmers, Harrison I W Wright, Robin N Beaumont, Karen T Elvers, Michael N Weedon, Nick A Maskell, David T Arnold, Fergus W Hamilton
{"title":"白细胞介素-6信号在胸膜感染中的作用:观察和遗传分析。","authors":"Amerikos Argyriou, Alex Robbins, Rachel Scott, Jodie Chalmers, Harrison I W Wright, Robin N Beaumont, Karen T Elvers, Michael N Weedon, Nick A Maskell, David T Arnold, Fergus W Hamilton","doi":"10.1016/j.ebiom.2025.105887","DOIUrl":null,"url":null,"abstract":"<p><strong>Background: </strong>Pleural infection is associated with marked local and systemic inflammation leading to significant morbidity. It may be possible to therapeutically augment this response and interleukin-6 is a key signalling cascade in inflammatory pathologies.</p><p><strong>Methods: </strong>We performed a prospective observational study recruiting patients with pleural effusions secondary to infection and measured interleukin-6 in matched pleural fluid and serum (n = 76). We subsequently performed a large-scale, two sample Mendelian Randomisation study (1601 cases and 830,709 controls), using genetic variation at IL6R to proxy the effect of interleukin-6 inhibition on pleural infection and overcome confounding inherent in observational analyses.</p><p><strong>Findings: </strong>Pleural interleukin-6 levels in infection were 5000-fold higher than matched serum levels (median 72,752 pg/ml vs. 15 pg/ml). Pleural interleukin-6 predicted systemic inflammation (neutrophil count, C- reactive protein), correlated with clinical markers of disease severity (effusion size, pH, glucose), and was strongly associated with length of hospital stay. In Mendelian randomisation analyses, interleukin-6 inhibition was predicted to have a large protective effect on the incidence of infection (OR 0.23; 95% CI 0.14-0.39 per standard deviation decrease in C- reactive protein). The effect size was larger than that seen in COVID-19 and coronary artery disease, where interleukin-6 inhibition has been successful in trials.</p><p><strong>Interpretation: </strong>Multiple lines of evidence suggest pleural interleukin-6 drives pathology in pleural infection. Targeting interleukin-6 may hold promise and should be considered in randomised trials.</p><p><strong>Funding: </strong>This study has been funded by the National Institutes of Health and Care Research Bristol Biomedical Research Centre.</p>","PeriodicalId":11494,"journal":{"name":"EBioMedicine","volume":"119 ","pages":"105887"},"PeriodicalIF":10.8000,"publicationDate":"2025-09-01","publicationTypes":"Journal Article","fieldsOfStudy":null,"isOpenAccess":false,"openAccessPdf":"https://www.ncbi.nlm.nih.gov/pmc/articles/PMC12391500/pdf/","citationCount":"0","resultStr":"{\"title\":\"The role of interleukin-6 signalling in pleural infection: observational and genetic analyses.\",\"authors\":\"Amerikos Argyriou, Alex Robbins, Rachel Scott, Jodie Chalmers, Harrison I W Wright, Robin N Beaumont, Karen T Elvers, Michael N Weedon, Nick A Maskell, David T Arnold, Fergus W Hamilton\",\"doi\":\"10.1016/j.ebiom.2025.105887\",\"DOIUrl\":null,\"url\":null,\"abstract\":\"<p><strong>Background: </strong>Pleural infection is associated with marked local and systemic inflammation leading to significant morbidity. It may be possible to therapeutically augment this response and interleukin-6 is a key signalling cascade in inflammatory pathologies.</p><p><strong>Methods: </strong>We performed a prospective observational study recruiting patients with pleural effusions secondary to infection and measured interleukin-6 in matched pleural fluid and serum (n = 76). We subsequently performed a large-scale, two sample Mendelian Randomisation study (1601 cases and 830,709 controls), using genetic variation at IL6R to proxy the effect of interleukin-6 inhibition on pleural infection and overcome confounding inherent in observational analyses.</p><p><strong>Findings: </strong>Pleural interleukin-6 levels in infection were 5000-fold higher than matched serum levels (median 72,752 pg/ml vs. 15 pg/ml). Pleural interleukin-6 predicted systemic inflammation (neutrophil count, C- reactive protein), correlated with clinical markers of disease severity (effusion size, pH, glucose), and was strongly associated with length of hospital stay. In Mendelian randomisation analyses, interleukin-6 inhibition was predicted to have a large protective effect on the incidence of infection (OR 0.23; 95% CI 0.14-0.39 per standard deviation decrease in C- reactive protein). The effect size was larger than that seen in COVID-19 and coronary artery disease, where interleukin-6 inhibition has been successful in trials.</p><p><strong>Interpretation: </strong>Multiple lines of evidence suggest pleural interleukin-6 drives pathology in pleural infection. Targeting interleukin-6 may hold promise and should be considered in randomised trials.</p><p><strong>Funding: </strong>This study has been funded by the National Institutes of Health and Care Research Bristol Biomedical Research Centre.</p>\",\"PeriodicalId\":11494,\"journal\":{\"name\":\"EBioMedicine\",\"volume\":\"119 \",\"pages\":\"105887\"},\"PeriodicalIF\":10.8000,\"publicationDate\":\"2025-09-01\",\"publicationTypes\":\"Journal Article\",\"fieldsOfStudy\":null,\"isOpenAccess\":false,\"openAccessPdf\":\"https://www.ncbi.nlm.nih.gov/pmc/articles/PMC12391500/pdf/\",\"citationCount\":\"0\",\"resultStr\":null,\"platform\":\"Semanticscholar\",\"paperid\":null,\"PeriodicalName\":\"EBioMedicine\",\"FirstCategoryId\":\"3\",\"ListUrlMain\":\"https://doi.org/10.1016/j.ebiom.2025.105887\",\"RegionNum\":1,\"RegionCategory\":\"医学\",\"ArticlePicture\":[],\"TitleCN\":null,\"AbstractTextCN\":null,\"PMCID\":null,\"EPubDate\":\"2025/8/16 0:00:00\",\"PubModel\":\"Epub\",\"JCR\":\"Q1\",\"JCRName\":\"MEDICINE, RESEARCH & EXPERIMENTAL\",\"Score\":null,\"Total\":0}","platform":"Semanticscholar","paperid":null,"PeriodicalName":"EBioMedicine","FirstCategoryId":"3","ListUrlMain":"https://doi.org/10.1016/j.ebiom.2025.105887","RegionNum":1,"RegionCategory":"医学","ArticlePicture":[],"TitleCN":null,"AbstractTextCN":null,"PMCID":null,"EPubDate":"2025/8/16 0:00:00","PubModel":"Epub","JCR":"Q1","JCRName":"MEDICINE, RESEARCH & EXPERIMENTAL","Score":null,"Total":0}
引用次数: 0

摘要

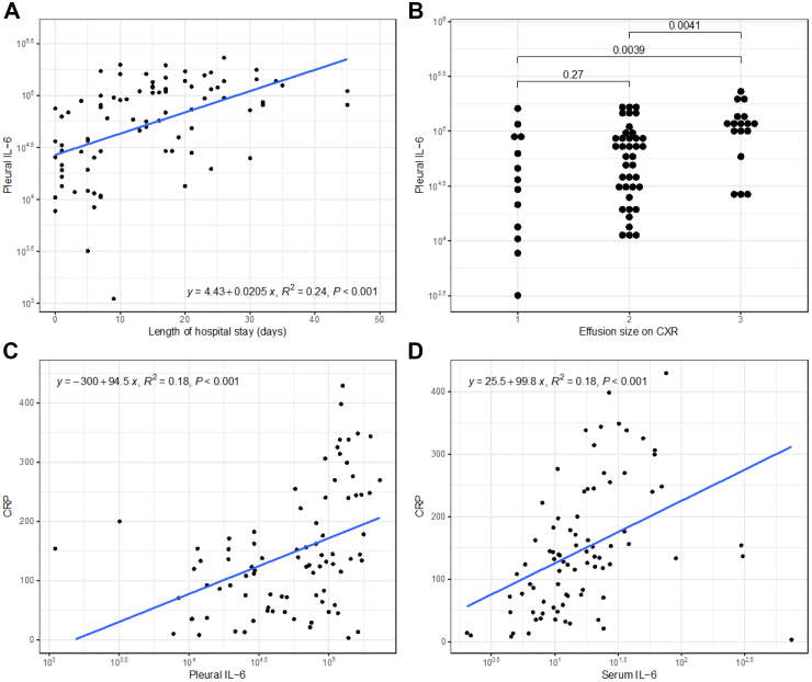
背景:胸膜感染与明显的局部和全身炎症相关,导致显著的发病率。在治疗上增强这种反应是可能的,白细胞介素-6是炎症病理中的一个关键信号级联。方法:我们进行了一项前瞻性观察研究,招募了继发于感染的胸腔积液患者,并测量了匹配的胸腔积液和血清中的白细胞介素-6 (n = 76)。随后,我们进行了一项大规模的双样本孟德尔随机化研究(1601例和830709例对照),利用IL6R的遗传变异来代替白介素-6抑制对胸膜感染的影响,并克服了观察性分析中固有的混淆。结果:感染患者胸膜白介素-6水平比匹配的血清水平高5000倍(中位数为72752 pg/ml vs. 15 pg/ml)。胸膜白细胞介素-6预测全身性炎症(中性粒细胞计数、C反应蛋白),与疾病严重程度的临床标志物(积液大小、pH值、葡萄糖)相关,并与住院时间密切相关。在孟德尔随机化分析中,白细胞介素-6抑制被预测对感染发生率有很大的保护作用(OR 0.23; C-反应蛋白每标准差降低95% CI 0.14-0.39)。效应量大于在COVID-19和冠状动脉疾病中观察到的效应量,在这两种疾病中,白细胞介素-6抑制在试验中取得了成功。多重证据提示胸膜白介素-6驱动胸膜感染病理。靶向白介素-6可能有希望,应该在随机试验中考虑。资助:本研究由国立卫生与保健研究所布里斯托尔生物医学研究中心资助。
本文章由计算机程序翻译,如有差异,请以英文原文为准。

The role of interleukin-6 signalling in pleural infection: observational and genetic analyses.

The role of interleukin-6 signalling in pleural infection: observational and genetic analyses.

The role of interleukin-6 signalling in pleural infection: observational and genetic analyses.

The role of interleukin-6 signalling in pleural infection: observational and genetic analyses.

Background: Pleural infection is associated with marked local and systemic inflammation leading to significant morbidity. It may be possible to therapeutically augment this response and interleukin-6 is a key signalling cascade in inflammatory pathologies.

Methods: We performed a prospective observational study recruiting patients with pleural effusions secondary to infection and measured interleukin-6 in matched pleural fluid and serum (n = 76). We subsequently performed a large-scale, two sample Mendelian Randomisation study (1601 cases and 830,709 controls), using genetic variation at IL6R to proxy the effect of interleukin-6 inhibition on pleural infection and overcome confounding inherent in observational analyses.

Findings: Pleural interleukin-6 levels in infection were 5000-fold higher than matched serum levels (median 72,752 pg/ml vs. 15 pg/ml). Pleural interleukin-6 predicted systemic inflammation (neutrophil count, C- reactive protein), correlated with clinical markers of disease severity (effusion size, pH, glucose), and was strongly associated with length of hospital stay. In Mendelian randomisation analyses, interleukin-6 inhibition was predicted to have a large protective effect on the incidence of infection (OR 0.23; 95% CI 0.14-0.39 per standard deviation decrease in C- reactive protein). The effect size was larger than that seen in COVID-19 and coronary artery disease, where interleukin-6 inhibition has been successful in trials.

Interpretation: Multiple lines of evidence suggest pleural interleukin-6 drives pathology in pleural infection. Targeting interleukin-6 may hold promise and should be considered in randomised trials.

Funding: This study has been funded by the National Institutes of Health and Care Research Bristol Biomedical Research Centre.

求助全文
通过发布文献求助,成功后即可免费获取论文全文。 去求助
来源期刊
EBioMedicine
EBioMedicine Biochemistry, Genetics and Molecular Biology-General Biochemistry,Genetics and Molecular Biology
CiteScore
17.70
自引率
0.90%
发文量
579
审稿时长
5 weeks
期刊介绍: eBioMedicine is a comprehensive biomedical research journal that covers a wide range of studies that are relevant to human health. Our focus is on original research that explores the fundamental factors influencing human health and disease, including the discovery of new therapeutic targets and treatments, the identification of biomarkers and diagnostic tools, and the investigation and modification of disease pathways and mechanisms. We welcome studies from any biomedical discipline that contribute to our understanding of disease and aim to improve human health.
×
引用
GB/T 7714-2015
复制
MLA
复制
APA
复制
导出至
BibTeX EndNote RefMan NoteFirst NoteExpress
×
提示
您的信息不完整,为了账户安全,请先补充。
现在去补充
×
提示
您因"违规操作"
具体请查看互助需知
我知道了
×
提示
确定
请完成安全验证×
copy
已复制链接
快去分享给好友吧!
我知道了
右上角分享
点击右上角分享
0
联系我们:info@booksci.cn Book学术提供免费学术资源搜索服务,方便国内外学者检索中英文文献。致力于提供最便捷和优质的服务体验。 Copyright © 2023 布克学术 All rights reserved.
京ICP备2023020795号-1
ghs 京公网安备 11010802042870号
Book学术文献互助
Book学术文献互助群
群 号:604180095
Book学术官方微信