抗mda5抗体阳性皮肌炎的临床和分子研究:单中心回顾性和转录组学研究

IF 2.2 4区 医学 Q3 DERMATOLOGY
Clinical, Cosmetic and Investigational Dermatology Pub Date : 2025-08-09 eCollection Date: 2025-01-01 DOI:10.2147/CCID.S535704
Yunli Ren, Tianqi Wu, Weiwei Shi
{"title":"抗mda5抗体阳性皮肌炎的临床和分子研究:单中心回顾性和转录组学研究","authors":"Yunli Ren, Tianqi Wu, Weiwei Shi","doi":"10.2147/CCID.S535704","DOIUrl":null,"url":null,"abstract":"<p><strong>Objective: </strong>To comprehensively characterize clinical features, diagnostic challenges, and prognostic biomarkers of anti-MDA5 antibody-positive dermatomyositis (MDA5-DM), incorporating transcriptomic analysis to elucidate underlying molecular mechanisms.</p><p><strong>Methods: </strong>We conducted a retrospective analysis of 29 MDA5-DM patients, collecting detailed clinical and laboratory data. Prognostic factors were identified using LASSO regression, validated by Cox proportional hazards and Kaplan-Meier survival analyses. Public transcriptomic dataset (GSE143323) was analyzed to identify differentially expressed genes and enriched immune pathways.</p><p><strong>Results: </strong>Patients exhibited a high misdiagnosis rate (62.1%) and prevalent interstitial lung disease (96.6%), with 41.4% developing rapidly progressive ILD (RP-ILD). Serum KL-6 level emerged as an independent predictor of mortality (HR=2.96, p<0.01). Transcriptomic profiling revealed upregulation of IL-17, Toll-like receptor, and cytokine-receptor interaction pathways.</p><p><strong>Conclusion: </strong>MDA5-DM presents formidable diagnostic challenges with high misdiagnosis rates and substantial mortality risk predominantly driven by RP-ILD. Serum KL-6 represents a robust, clinically applicable prognostic biomarker warranting integration into risk stratification protocols. Transcriptomic findings illuminate critical immune-inflammatory cascades, particularly cytokine networks and IL-17 signaling, offering mechanistic insights and potential therapeutic targets. Future multicenter prospective studies are essential to validate these biomarker findings and develop composite prognostic models incorporating clinical, radiographic, and molecular parameters.</p>","PeriodicalId":10447,"journal":{"name":"Clinical, Cosmetic and Investigational Dermatology","volume":"18 ","pages":"1917-1929"},"PeriodicalIF":2.2000,"publicationDate":"2025-08-09","publicationTypes":"Journal Article","fieldsOfStudy":null,"isOpenAccess":false,"openAccessPdf":"https://www.ncbi.nlm.nih.gov/pmc/articles/PMC12350553/pdf/","citationCount":"0","resultStr":"{\"title\":\"Clinical and Molecular Insights Into Anti-MDA5 Antibody-Positive Dermatomyositis: A Single-Center Retrospective and Transcriptomic Study.\",\"authors\":\"Yunli Ren, Tianqi Wu, Weiwei Shi\",\"doi\":\"10.2147/CCID.S535704\",\"DOIUrl\":null,\"url\":null,\"abstract\":\"<p><strong>Objective: </strong>To comprehensively characterize clinical features, diagnostic challenges, and prognostic biomarkers of anti-MDA5 antibody-positive dermatomyositis (MDA5-DM), incorporating transcriptomic analysis to elucidate underlying molecular mechanisms.</p><p><strong>Methods: </strong>We conducted a retrospective analysis of 29 MDA5-DM patients, collecting detailed clinical and laboratory data. Prognostic factors were identified using LASSO regression, validated by Cox proportional hazards and Kaplan-Meier survival analyses. Public transcriptomic dataset (GSE143323) was analyzed to identify differentially expressed genes and enriched immune pathways.</p><p><strong>Results: </strong>Patients exhibited a high misdiagnosis rate (62.1%) and prevalent interstitial lung disease (96.6%), with 41.4% developing rapidly progressive ILD (RP-ILD). Serum KL-6 level emerged as an independent predictor of mortality (HR=2.96, p<0.01). Transcriptomic profiling revealed upregulation of IL-17, Toll-like receptor, and cytokine-receptor interaction pathways.</p><p><strong>Conclusion: </strong>MDA5-DM presents formidable diagnostic challenges with high misdiagnosis rates and substantial mortality risk predominantly driven by RP-ILD. Serum KL-6 represents a robust, clinically applicable prognostic biomarker warranting integration into risk stratification protocols. Transcriptomic findings illuminate critical immune-inflammatory cascades, particularly cytokine networks and IL-17 signaling, offering mechanistic insights and potential therapeutic targets. Future multicenter prospective studies are essential to validate these biomarker findings and develop composite prognostic models incorporating clinical, radiographic, and molecular parameters.</p>\",\"PeriodicalId\":10447,\"journal\":{\"name\":\"Clinical, Cosmetic and Investigational Dermatology\",\"volume\":\"18 \",\"pages\":\"1917-1929\"},\"PeriodicalIF\":2.2000,\"publicationDate\":\"2025-08-09\",\"publicationTypes\":\"Journal Article\",\"fieldsOfStudy\":null,\"isOpenAccess\":false,\"openAccessPdf\":\"https://www.ncbi.nlm.nih.gov/pmc/articles/PMC12350553/pdf/\",\"citationCount\":\"0\",\"resultStr\":null,\"platform\":\"Semanticscholar\",\"paperid\":null,\"PeriodicalName\":\"Clinical, Cosmetic and Investigational Dermatology\",\"FirstCategoryId\":\"3\",\"ListUrlMain\":\"https://doi.org/10.2147/CCID.S535704\",\"RegionNum\":4,\"RegionCategory\":\"医学\",\"ArticlePicture\":[],\"TitleCN\":null,\"AbstractTextCN\":null,\"PMCID\":null,\"EPubDate\":\"2025/1/1 0:00:00\",\"PubModel\":\"eCollection\",\"JCR\":\"Q3\",\"JCRName\":\"DERMATOLOGY\",\"Score\":null,\"Total\":0}","platform":"Semanticscholar","paperid":null,"PeriodicalName":"Clinical, Cosmetic and Investigational Dermatology","FirstCategoryId":"3","ListUrlMain":"https://doi.org/10.2147/CCID.S535704","RegionNum":4,"RegionCategory":"医学","ArticlePicture":[],"TitleCN":null,"AbstractTextCN":null,"PMCID":null,"EPubDate":"2025/1/1 0:00:00","PubModel":"eCollection","JCR":"Q3","JCRName":"DERMATOLOGY","Score":null,"Total":0}
引用次数: 0

摘要

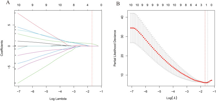
目的:综合表征抗mda5抗体阳性皮肌炎(MDA5-DM)的临床特征、诊断挑战和预后生物标志物,并结合转录组学分析阐明潜在的分子机制。方法:对29例MDA5-DM患者进行回顾性分析,收集详细的临床和实验室资料。使用LASSO回归确定预后因素,并通过Cox比例风险和Kaplan-Meier生存分析进行验证。分析公共转录组数据集(GSE143323)以鉴定差异表达基因和富集的免疫途径。结果:患者误诊率高(62.1%),肺间质性疾病患病率高(96.6%),其中41.4%发展为快速进行性肺间质性肺病(RP-ILD)。血清KL-6水平成为死亡率的独立预测因子(HR=2.96, p)。结论:MDA5-DM具有巨大的诊断挑战,误诊率高,RP-ILD主要导致大量死亡风险。血清KL-6是一种可靠的、临床适用的预后生物标志物,可以纳入风险分层方案。转录组学研究结果阐明了关键的免疫炎症级联反应,特别是细胞因子网络和IL-17信号传导,提供了机制见解和潜在的治疗靶点。未来的多中心前瞻性研究对于验证这些生物标志物发现和开发结合临床、放射学和分子参数的复合预后模型至关重要。
本文章由计算机程序翻译,如有差异,请以英文原文为准。

Clinical and Molecular Insights Into Anti-MDA5 Antibody-Positive Dermatomyositis: A Single-Center Retrospective and Transcriptomic Study.

Clinical and Molecular Insights Into Anti-MDA5 Antibody-Positive Dermatomyositis: A Single-Center Retrospective and Transcriptomic Study.

Clinical and Molecular Insights Into Anti-MDA5 Antibody-Positive Dermatomyositis: A Single-Center Retrospective and Transcriptomic Study.

Clinical and Molecular Insights Into Anti-MDA5 Antibody-Positive Dermatomyositis: A Single-Center Retrospective and Transcriptomic Study.

Objective: To comprehensively characterize clinical features, diagnostic challenges, and prognostic biomarkers of anti-MDA5 antibody-positive dermatomyositis (MDA5-DM), incorporating transcriptomic analysis to elucidate underlying molecular mechanisms.

Methods: We conducted a retrospective analysis of 29 MDA5-DM patients, collecting detailed clinical and laboratory data. Prognostic factors were identified using LASSO regression, validated by Cox proportional hazards and Kaplan-Meier survival analyses. Public transcriptomic dataset (GSE143323) was analyzed to identify differentially expressed genes and enriched immune pathways.

Results: Patients exhibited a high misdiagnosis rate (62.1%) and prevalent interstitial lung disease (96.6%), with 41.4% developing rapidly progressive ILD (RP-ILD). Serum KL-6 level emerged as an independent predictor of mortality (HR=2.96, p<0.01). Transcriptomic profiling revealed upregulation of IL-17, Toll-like receptor, and cytokine-receptor interaction pathways.

Conclusion: MDA5-DM presents formidable diagnostic challenges with high misdiagnosis rates and substantial mortality risk predominantly driven by RP-ILD. Serum KL-6 represents a robust, clinically applicable prognostic biomarker warranting integration into risk stratification protocols. Transcriptomic findings illuminate critical immune-inflammatory cascades, particularly cytokine networks and IL-17 signaling, offering mechanistic insights and potential therapeutic targets. Future multicenter prospective studies are essential to validate these biomarker findings and develop composite prognostic models incorporating clinical, radiographic, and molecular parameters.

求助全文
通过发布文献求助,成功后即可免费获取论文全文。 去求助
来源期刊
CiteScore
2.80
自引率
4.30%
发文量
353
审稿时长
16 weeks
期刊介绍: Clinical, Cosmetic and Investigational Dermatology is an international, peer-reviewed, open access journal that focuses on the latest clinical and experimental research in all aspects of skin disease and cosmetic interventions. Normal and pathological processes in skin development and aging, their modification and treatment, as well as basic research into histology of dermal and dermal structures that provide clinical insights and potential treatment options are key topics for the journal. Patient satisfaction, preference, quality of life, compliance, persistence and their role in developing new management options to optimize outcomes for target conditions constitute major areas of interest. The journal is characterized by the rapid reporting of clinical studies, reviews and original research in skin research and skin care. All areas of dermatology will be covered; contributions will be welcomed from all clinicians and basic science researchers globally.
×
引用
GB/T 7714-2015
复制
MLA
复制
APA
复制
导出至
BibTeX EndNote RefMan NoteFirst NoteExpress
×
提示
您的信息不完整,为了账户安全,请先补充。
现在去补充
×
提示
您因"违规操作"
具体请查看互助需知
我知道了
×
提示
确定
请完成安全验证×
copy
已复制链接
快去分享给好友吧!
我知道了
右上角分享
点击右上角分享
0
联系我们:info@booksci.cn Book学术提供免费学术资源搜索服务,方便国内外学者检索中英文文献。致力于提供最便捷和优质的服务体验。 Copyright © 2023 布克学术 All rights reserved.
京ICP备2023020795号-1
ghs 京公网安备 11010802042870号
Book学术文献互助
Book学术文献互助群
群 号:604180095
Book学术官方微信