早期无改善是否预示着强迫症药物治疗的失败?一项包含个体参与者数据的诊断测试准确性荟萃分析。

IF 5.5 2区 医学 Q1 PSYCHIATRY
Sem Cohen, Jasper Brian Zantvoord, Ton de Boer, Taina Mattila, Guido van Wingen, Damiaan Denys
{"title":"早期无改善是否预示着强迫症药物治疗的失败?一项包含个体参与者数据的诊断测试准确性荟萃分析。","authors":"Sem Cohen, Jasper Brian Zantvoord, Ton de Boer, Taina Mattila, Guido van Wingen, Damiaan Denys","doi":"10.1017/S0033291725101335","DOIUrl":null,"url":null,"abstract":"<p><strong>Background: </strong>In the treatment of obsessive-compulsive disorder (OCD) with antidepressant medication, the earliest reliable indication of treatment failure remains uncertain. We investigated if non-improvement following 4 weeks of treatment predicts nonresponse at the end of the trial.</p><p><strong>Methods: </strong>We conducted a random-effects bivariate diagnostic accuracy study using individual patient data from industry-sponsored short-term trials of adults with OCD receiving selective serotonin reuptake inhibitors or clomipramine, submitted for marketing approval. The primary outcome was accuracy of non-improvement (<25% reduction on the Yale-Brown Obsessive Compulsive Scale [YBOCS] after 4 weeks) in predicting nonresponse (<35% YBOCS reduction at trial endpoint [10-13 weeks]). Secondary outcomes were accuracy of non-improvement after 6 weeks, nonresponse after 8 weeks, and inclusion of Clinical Global Impression Scale - Improvement in definitions of improvement and response. We performed meta-regressions for sex, age, severity, trial duration, dosing regimen, and compound.</p><p><strong>Results: </strong>In 11 studies totaling 1,753 patients, non-improvement at week 4 predicted subsequent nonresponse (positive predictive value, PPV) in 86% of cases (95% confidence interval [CI] = 83-88%). Sensitivity was 78%, specificity was 70%, and the negative predictive value was 60%. Secondary outcomes showed similar PPV after 6 weeks and a PPV of 93% for nonresponse after 8 weeks. Predictive accuracy was significantly higher in men relative to women (<i>β</i> = -0.64, 95% CI = -1.12 to -0.16, <i>p</i> = 0.0089).</p><p><strong>Conclusions: </strong>Patients with OCD who do not improve after 4 weeks of antidepressants will likely not respond to short-term treatment. Thus, a change in strategy should be considered after 4 weeks without treatment benefits.</p>","PeriodicalId":20891,"journal":{"name":"Psychological Medicine","volume":"55 ","pages":"e237"},"PeriodicalIF":5.5000,"publicationDate":"2025-08-15","publicationTypes":"Journal Article","fieldsOfStudy":null,"isOpenAccess":false,"openAccessPdf":"https://www.ncbi.nlm.nih.gov/pmc/articles/PMC12404328/pdf/","citationCount":"0","resultStr":"{\"title\":\"Does early non-improvement predict treatment failure in pharmacotherapy for obsessive-compulsive disorder? A diagnostic test accuracy meta-analysis with individual participant data.\",\"authors\":\"Sem Cohen, Jasper Brian Zantvoord, Ton de Boer, Taina Mattila, Guido van Wingen, Damiaan Denys\",\"doi\":\"10.1017/S0033291725101335\",\"DOIUrl\":null,\"url\":null,\"abstract\":\"<p><strong>Background: </strong>In the treatment of obsessive-compulsive disorder (OCD) with antidepressant medication, the earliest reliable indication of treatment failure remains uncertain. We investigated if non-improvement following 4 weeks of treatment predicts nonresponse at the end of the trial.</p><p><strong>Methods: </strong>We conducted a random-effects bivariate diagnostic accuracy study using individual patient data from industry-sponsored short-term trials of adults with OCD receiving selective serotonin reuptake inhibitors or clomipramine, submitted for marketing approval. The primary outcome was accuracy of non-improvement (<25% reduction on the Yale-Brown Obsessive Compulsive Scale [YBOCS] after 4 weeks) in predicting nonresponse (<35% YBOCS reduction at trial endpoint [10-13 weeks]). Secondary outcomes were accuracy of non-improvement after 6 weeks, nonresponse after 8 weeks, and inclusion of Clinical Global Impression Scale - Improvement in definitions of improvement and response. We performed meta-regressions for sex, age, severity, trial duration, dosing regimen, and compound.</p><p><strong>Results: </strong>In 11 studies totaling 1,753 patients, non-improvement at week 4 predicted subsequent nonresponse (positive predictive value, PPV) in 86% of cases (95% confidence interval [CI] = 83-88%). Sensitivity was 78%, specificity was 70%, and the negative predictive value was 60%. Secondary outcomes showed similar PPV after 6 weeks and a PPV of 93% for nonresponse after 8 weeks. Predictive accuracy was significantly higher in men relative to women (<i>β</i> = -0.64, 95% CI = -1.12 to -0.16, <i>p</i> = 0.0089).</p><p><strong>Conclusions: </strong>Patients with OCD who do not improve after 4 weeks of antidepressants will likely not respond to short-term treatment. Thus, a change in strategy should be considered after 4 weeks without treatment benefits.</p>\",\"PeriodicalId\":20891,\"journal\":{\"name\":\"Psychological Medicine\",\"volume\":\"55 \",\"pages\":\"e237\"},\"PeriodicalIF\":5.5000,\"publicationDate\":\"2025-08-15\",\"publicationTypes\":\"Journal Article\",\"fieldsOfStudy\":null,\"isOpenAccess\":false,\"openAccessPdf\":\"https://www.ncbi.nlm.nih.gov/pmc/articles/PMC12404328/pdf/\",\"citationCount\":\"0\",\"resultStr\":null,\"platform\":\"Semanticscholar\",\"paperid\":null,\"PeriodicalName\":\"Psychological Medicine\",\"FirstCategoryId\":\"3\",\"ListUrlMain\":\"https://doi.org/10.1017/S0033291725101335\",\"RegionNum\":2,\"RegionCategory\":\"医学\",\"ArticlePicture\":[],\"TitleCN\":null,\"AbstractTextCN\":null,\"PMCID\":null,\"EPubDate\":\"\",\"PubModel\":\"\",\"JCR\":\"Q1\",\"JCRName\":\"PSYCHIATRY\",\"Score\":null,\"Total\":0}","platform":"Semanticscholar","paperid":null,"PeriodicalName":"Psychological Medicine","FirstCategoryId":"3","ListUrlMain":"https://doi.org/10.1017/S0033291725101335","RegionNum":2,"RegionCategory":"医学","ArticlePicture":[],"TitleCN":null,"AbstractTextCN":null,"PMCID":null,"EPubDate":"","PubModel":"","JCR":"Q1","JCRName":"PSYCHIATRY","Score":null,"Total":0}
引用次数: 0

摘要

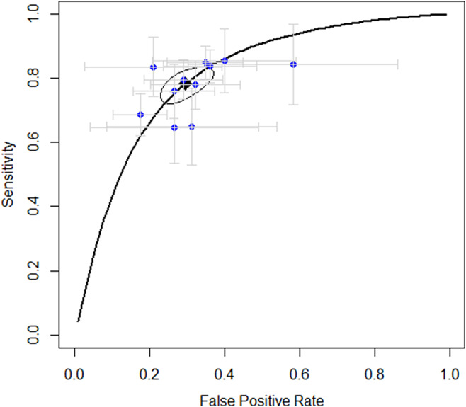
背景:在使用抗抑郁药物治疗强迫症(OCD)时,治疗失败的最早可靠指征尚不确定。我们调查了4周治疗后无改善是否预示着试验结束时无反应。方法:我们进行了一项随机效应双变量诊断准确性研究,使用来自行业资助的接受选择性5 -羟色胺再摄取抑制剂或氯丙咪嗪的成人强迫症短期试验的个体患者数据,这些试验已提交上市批准。主要结局是无改善的准确性(结果:在11项研究中,共计1753例患者,第4周无改善预测86%的病例随后无反应(阳性预测值,PPV)(95%置信区间[CI] = 83-88%)。敏感性78%,特异性70%,阴性预测值60%。次要结果显示6周后PPV相似,8周后无反应的PPV为93%。男性的预测准确度明显高于女性(β = -0.64, 95% CI = -1.12至-0.16,p = 0.0089)。结论:服用抗抑郁药4周后没有改善的强迫症患者可能对短期治疗没有反应。因此,在没有治疗效果的4周后,应该考虑改变策略。
本文章由计算机程序翻译,如有差异,请以英文原文为准。

Does early non-improvement predict treatment failure in pharmacotherapy for obsessive-compulsive disorder? A diagnostic test accuracy meta-analysis with individual participant data.

Does early non-improvement predict treatment failure in pharmacotherapy for obsessive-compulsive disorder? A diagnostic test accuracy meta-analysis with individual participant data.

Does early non-improvement predict treatment failure in pharmacotherapy for obsessive-compulsive disorder? A diagnostic test accuracy meta-analysis with individual participant data.

Does early non-improvement predict treatment failure in pharmacotherapy for obsessive-compulsive disorder? A diagnostic test accuracy meta-analysis with individual participant data.

Background: In the treatment of obsessive-compulsive disorder (OCD) with antidepressant medication, the earliest reliable indication of treatment failure remains uncertain. We investigated if non-improvement following 4 weeks of treatment predicts nonresponse at the end of the trial.

Methods: We conducted a random-effects bivariate diagnostic accuracy study using individual patient data from industry-sponsored short-term trials of adults with OCD receiving selective serotonin reuptake inhibitors or clomipramine, submitted for marketing approval. The primary outcome was accuracy of non-improvement (<25% reduction on the Yale-Brown Obsessive Compulsive Scale [YBOCS] after 4 weeks) in predicting nonresponse (<35% YBOCS reduction at trial endpoint [10-13 weeks]). Secondary outcomes were accuracy of non-improvement after 6 weeks, nonresponse after 8 weeks, and inclusion of Clinical Global Impression Scale - Improvement in definitions of improvement and response. We performed meta-regressions for sex, age, severity, trial duration, dosing regimen, and compound.

Results: In 11 studies totaling 1,753 patients, non-improvement at week 4 predicted subsequent nonresponse (positive predictive value, PPV) in 86% of cases (95% confidence interval [CI] = 83-88%). Sensitivity was 78%, specificity was 70%, and the negative predictive value was 60%. Secondary outcomes showed similar PPV after 6 weeks and a PPV of 93% for nonresponse after 8 weeks. Predictive accuracy was significantly higher in men relative to women (β = -0.64, 95% CI = -1.12 to -0.16, p = 0.0089).

Conclusions: Patients with OCD who do not improve after 4 weeks of antidepressants will likely not respond to short-term treatment. Thus, a change in strategy should be considered after 4 weeks without treatment benefits.

求助全文
通过发布文献求助,成功后即可免费获取论文全文。 去求助
来源期刊
Psychological Medicine
Psychological Medicine 医学-精神病学
CiteScore
11.30
自引率
4.30%
发文量
711
审稿时长
3-6 weeks
期刊介绍: Now in its fifth decade of publication, Psychological Medicine is a leading international journal in the fields of psychiatry, related aspects of psychology and basic sciences. From 2014, there are 16 issues a year, each featuring original articles reporting key research being undertaken worldwide, together with shorter editorials by distinguished scholars and an important book review section. The journal''s success is clearly demonstrated by a consistently high impact factor.
×
引用
GB/T 7714-2015
复制
MLA
复制
APA
复制
导出至
BibTeX EndNote RefMan NoteFirst NoteExpress
×
提示
您的信息不完整,为了账户安全,请先补充。
现在去补充
×
提示
您因"违规操作"
具体请查看互助需知
我知道了
×
提示
确定
请完成安全验证×
copy
已复制链接
快去分享给好友吧!
我知道了
右上角分享
点击右上角分享
0
联系我们:info@booksci.cn Book学术提供免费学术资源搜索服务,方便国内外学者检索中英文文献。致力于提供最便捷和优质的服务体验。 Copyright © 2023 布克学术 All rights reserved.
京ICP备2023020795号-1
ghs 京公网安备 11010802042870号
Book学术文献互助
Book学术文献互助群
群 号:604180095
Book学术官方微信