可解释系综学习揭示了预测云凝结核数浓度的主要气溶胶光学特性

IF 8.4 1区 地球科学 Q1 METEOROLOGY & ATMOSPHERIC SCIENCES
Nan Wang, Yuying Wang, Chunsong Lu, Bin Zhu, Xing Yan, Yele Sun, Jialu Xu, Junhui Zhang, Zhuoxuan Shen
{"title":"可解释系综学习揭示了预测云凝结核数浓度的主要气溶胶光学特性","authors":"Nan Wang, Yuying Wang, Chunsong Lu, Bin Zhu, Xing Yan, Yele Sun, Jialu Xu, Junhui Zhang, Zhuoxuan Shen","doi":"10.1038/s41612-025-01181-y","DOIUrl":null,"url":null,"abstract":"<p>Variations in cloud condensation nuclei number concentration (<i>N</i><sub>CCN</sub>) significantly influence cloud microphysics, yet direct <i>N</i><sub>CCN</sub> measurements remain challenging. Here, we present an <i>N</i><sub>CCN</sub> ensemble learning (NEL) model utilizing ensemble learning and interpretability analysis on aerosol optical parameters. Validated at two land sites, two ocean sites and one polar site within the Atmospheric Radiation Measurement program, the mean absolute percentage error range of the NEL model across different environments is from 12% to 36%, demonstrating high accuracy. Key findings reveal that aerosol optical parameters can serve as predictors for <i>N</i><sub>CCN</sub>. Aerosol scattering and backscattering coefficients, absorption coefficient, backscatter fraction (BSF), and Ångström exponent (AE) are positively correlated with <i>N</i><sub>CCN</sub>, while single scattering albedo shows negative correlations. <i>N</i><sub>CCN</sub> prediction at land sites is highly sensitive to BSF, largely driven by the backscattering coefficient, as fine particles dominate in these sites. At ocean sites, <i>N</i><sub>CCN</sub> prediction is more sensitive to AE, primarily influenced by the scattering coefficient, due to the higher proportion of larger particles. At the polar site, <i>N</i><sub>CCN</sub> prediction shows sensitivity to both BSF and AE, mainly driven by the scattering coefficient, as polar sites are cleaner and contain larger particles. These differences reflect the variation in particle size and number concentration across different environments.</p>","PeriodicalId":19438,"journal":{"name":"npj Climate and Atmospheric Science","volume":"5 1","pages":""},"PeriodicalIF":8.4000,"publicationDate":"2025-08-14","publicationTypes":"Journal Article","fieldsOfStudy":null,"isOpenAccess":false,"openAccessPdf":"","citationCount":"0","resultStr":"{\"title\":\"Interpretable ensemble learning unveils main aerosol optical properties in predicting cloud condensation nuclei number concentration\",\"authors\":\"Nan Wang, Yuying Wang, Chunsong Lu, Bin Zhu, Xing Yan, Yele Sun, Jialu Xu, Junhui Zhang, Zhuoxuan Shen\",\"doi\":\"10.1038/s41612-025-01181-y\",\"DOIUrl\":null,\"url\":null,\"abstract\":\"<p>Variations in cloud condensation nuclei number concentration (<i>N</i><sub>CCN</sub>) significantly influence cloud microphysics, yet direct <i>N</i><sub>CCN</sub> measurements remain challenging. Here, we present an <i>N</i><sub>CCN</sub> ensemble learning (NEL) model utilizing ensemble learning and interpretability analysis on aerosol optical parameters. Validated at two land sites, two ocean sites and one polar site within the Atmospheric Radiation Measurement program, the mean absolute percentage error range of the NEL model across different environments is from 12% to 36%, demonstrating high accuracy. Key findings reveal that aerosol optical parameters can serve as predictors for <i>N</i><sub>CCN</sub>. Aerosol scattering and backscattering coefficients, absorption coefficient, backscatter fraction (BSF), and Ångström exponent (AE) are positively correlated with <i>N</i><sub>CCN</sub>, while single scattering albedo shows negative correlations. <i>N</i><sub>CCN</sub> prediction at land sites is highly sensitive to BSF, largely driven by the backscattering coefficient, as fine particles dominate in these sites. At ocean sites, <i>N</i><sub>CCN</sub> prediction is more sensitive to AE, primarily influenced by the scattering coefficient, due to the higher proportion of larger particles. At the polar site, <i>N</i><sub>CCN</sub> prediction shows sensitivity to both BSF and AE, mainly driven by the scattering coefficient, as polar sites are cleaner and contain larger particles. These differences reflect the variation in particle size and number concentration across different environments.</p>\",\"PeriodicalId\":19438,\"journal\":{\"name\":\"npj Climate and Atmospheric Science\",\"volume\":\"5 1\",\"pages\":\"\"},\"PeriodicalIF\":8.4000,\"publicationDate\":\"2025-08-14\",\"publicationTypes\":\"Journal Article\",\"fieldsOfStudy\":null,\"isOpenAccess\":false,\"openAccessPdf\":\"\",\"citationCount\":\"0\",\"resultStr\":null,\"platform\":\"Semanticscholar\",\"paperid\":null,\"PeriodicalName\":\"npj Climate and Atmospheric Science\",\"FirstCategoryId\":\"89\",\"ListUrlMain\":\"https://doi.org/10.1038/s41612-025-01181-y\",\"RegionNum\":1,\"RegionCategory\":\"地球科学\",\"ArticlePicture\":[],\"TitleCN\":null,\"AbstractTextCN\":null,\"PMCID\":null,\"EPubDate\":\"\",\"PubModel\":\"\",\"JCR\":\"Q1\",\"JCRName\":\"METEOROLOGY & ATMOSPHERIC SCIENCES\",\"Score\":null,\"Total\":0}","platform":"Semanticscholar","paperid":null,"PeriodicalName":"npj Climate and Atmospheric Science","FirstCategoryId":"89","ListUrlMain":"https://doi.org/10.1038/s41612-025-01181-y","RegionNum":1,"RegionCategory":"地球科学","ArticlePicture":[],"TitleCN":null,"AbstractTextCN":null,"PMCID":null,"EPubDate":"","PubModel":"","JCR":"Q1","JCRName":"METEOROLOGY & ATMOSPHERIC SCIENCES","Score":null,"Total":0}
引用次数: 0

摘要

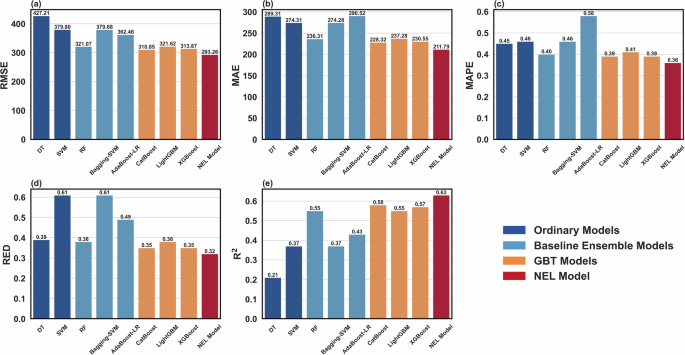
云凝结核数浓度(NCCN)的变化显著影响云微物理,但直接测量NCCN仍然具有挑战性。在这里,我们提出了一个NCCN集合学习(NEL)模型,利用集合学习和气溶胶光学参数的可解释性分析。通过对大气辐射测量项目中两个陆地站点、两个海洋站点和一个极地站点的验证,NEL模型在不同环境下的平均绝对百分比误差范围为12% ~ 36%,具有较高的精度。主要发现表明气溶胶光学参数可以作为NCCN的预测因子。气溶胶散射和后向散射系数、吸收系数、后向散射分数(BSF)和Ångström指数(AE)与NCCN呈正相关,而单次散射反照率与NCCN呈负相关。陆地站点NCCN预测对BSF高度敏感,主要受后向散射系数的驱动,因为这些站点以细颗粒为主。在海洋站点,NCCN预测对声发射更敏感,主要受散射系数的影响,因为大颗粒的比例更高。在极性位置,NCCN预测对BSF和AE都很敏感,主要受散射系数的驱动,因为极性位置更清洁,颗粒更大。这些差异反映了不同环境中颗粒大小和数量浓度的差异。
本文章由计算机程序翻译,如有差异,请以英文原文为准。

Interpretable ensemble learning unveils main aerosol optical properties in predicting cloud condensation nuclei number concentration

Interpretable ensemble learning unveils main aerosol optical properties in predicting cloud condensation nuclei number concentration

Variations in cloud condensation nuclei number concentration (NCCN) significantly influence cloud microphysics, yet direct NCCN measurements remain challenging. Here, we present an NCCN ensemble learning (NEL) model utilizing ensemble learning and interpretability analysis on aerosol optical parameters. Validated at two land sites, two ocean sites and one polar site within the Atmospheric Radiation Measurement program, the mean absolute percentage error range of the NEL model across different environments is from 12% to 36%, demonstrating high accuracy. Key findings reveal that aerosol optical parameters can serve as predictors for NCCN. Aerosol scattering and backscattering coefficients, absorption coefficient, backscatter fraction (BSF), and Ångström exponent (AE) are positively correlated with NCCN, while single scattering albedo shows negative correlations. NCCN prediction at land sites is highly sensitive to BSF, largely driven by the backscattering coefficient, as fine particles dominate in these sites. At ocean sites, NCCN prediction is more sensitive to AE, primarily influenced by the scattering coefficient, due to the higher proportion of larger particles. At the polar site, NCCN prediction shows sensitivity to both BSF and AE, mainly driven by the scattering coefficient, as polar sites are cleaner and contain larger particles. These differences reflect the variation in particle size and number concentration across different environments.

求助全文
通过发布文献求助,成功后即可免费获取论文全文。 去求助
来源期刊
npj Climate and Atmospheric Science
npj Climate and Atmospheric Science Earth and Planetary Sciences-Atmospheric Science
CiteScore
8.80
自引率
3.30%
发文量
87
审稿时长
21 weeks
期刊介绍: npj Climate and Atmospheric Science is an open-access journal encompassing the relevant physical, chemical, and biological aspects of atmospheric and climate science. The journal places particular emphasis on regional studies that unveil new insights into specific localities, including examinations of local atmospheric composition, such as aerosols. The range of topics covered by the journal includes climate dynamics, climate variability, weather and climate prediction, climate change, ocean dynamics, weather extremes, air pollution, atmospheric chemistry (including aerosols), the hydrological cycle, and atmosphere–ocean and atmosphere–land interactions. The journal welcomes studies employing a diverse array of methods, including numerical and statistical modeling, the development and application of in situ observational techniques, remote sensing, and the development or evaluation of new reanalyses.
×
引用
GB/T 7714-2015
复制
MLA
复制
APA
复制
导出至
BibTeX EndNote RefMan NoteFirst NoteExpress
×
提示
您的信息不完整,为了账户安全,请先补充。
现在去补充
×
提示
您因"违规操作"
具体请查看互助需知
我知道了
×
提示
确定
请完成安全验证×
copy
已复制链接
快去分享给好友吧!
我知道了
右上角分享
点击右上角分享
0
联系我们:info@booksci.cn Book学术提供免费学术资源搜索服务,方便国内外学者检索中英文文献。致力于提供最便捷和优质的服务体验。 Copyright © 2023 布克学术 All rights reserved.
京ICP备2023020795号-1
ghs 京公网安备 11010802042870号
Book学术文献互助
Book学术文献互助群
群 号:604180095
Book学术官方微信