l-鼠李糖生物合成酶(RmlA-D)底物特异性的研究:化学酶合成等构不可水解TDP-β-l-鼠李糖膦酸盐

IF 13.1 1区 化学 Q1 CHEMISTRY, PHYSICAL
Stephanie M. Forget, Jian-She Zhu, Bronwyn E. Rowland and David L. Jakeman*, 
{"title":"l-鼠李糖生物合成酶(RmlA-D)底物特异性的研究:化学酶合成等构不可水解TDP-β-l-鼠李糖膦酸盐","authors":"Stephanie M. Forget,&nbsp;Jian-She Zhu,&nbsp;Bronwyn E. Rowland and David L. Jakeman*,&nbsp;","doi":"10.1021/acscatal.5c03488","DOIUrl":null,"url":null,"abstract":"<p ><span>l</span>-Rhamnose (Rha) is widely distributed within bacteria as a component of the polysaccharides that populate bacterial cell walls. While Rha-containing polysaccharides are highly variable in both structure and function, their presence in pathogenic bacteria has provided incentive to explore inhibition of the Rha-pathway as a means toward antibiotic development. Herein, we explore the substrate scope of the Rha biosynthetic enzymes RmlB, RmlC, and RmlD, from <i>Aneurinibacillus thermoaerophilus</i>, with deoxyfluoro-, aminodeoxy-, and phosphonate congeners. The isosteric phosphonate was the only congener turned over by all three enzymes demonstrating conversion to 5′-deoxythymidine-<i>C</i>-(1-deoxy β-<span>l</span>-rhamnosyl bisphosphate) (TDP-1C-Rha). Scale-up of this enzymatic process enabled the isolation of TDP-1C-Rha, an isosteric nonhydrolyzable phosphonate analogue of TDP-Rha and offers an orthogonal approach to deliver phosphonate–phosphate derived enzyme probes.</p>","PeriodicalId":9,"journal":{"name":"ACS Catalysis ","volume":"15 16","pages":"13898–13903"},"PeriodicalIF":13.1000,"publicationDate":"2025-07-29","publicationTypes":"Journal Article","fieldsOfStudy":null,"isOpenAccess":false,"openAccessPdf":"","citationCount":"0","resultStr":"{\"title\":\"Investigating the Substrate Specificity of l-Rhamnose Biosynthetic Enzymes (RmlA–D): Chemoenzymatic Synthesis of an Isosteric Nonhydrolyzable TDP-β-l-Rhamnose Phosphonate\",\"authors\":\"Stephanie M. Forget,&nbsp;Jian-She Zhu,&nbsp;Bronwyn E. Rowland and David L. Jakeman*,&nbsp;\",\"doi\":\"10.1021/acscatal.5c03488\",\"DOIUrl\":null,\"url\":null,\"abstract\":\"<p ><span>l</span>-Rhamnose (Rha) is widely distributed within bacteria as a component of the polysaccharides that populate bacterial cell walls. While Rha-containing polysaccharides are highly variable in both structure and function, their presence in pathogenic bacteria has provided incentive to explore inhibition of the Rha-pathway as a means toward antibiotic development. Herein, we explore the substrate scope of the Rha biosynthetic enzymes RmlB, RmlC, and RmlD, from <i>Aneurinibacillus thermoaerophilus</i>, with deoxyfluoro-, aminodeoxy-, and phosphonate congeners. The isosteric phosphonate was the only congener turned over by all three enzymes demonstrating conversion to 5′-deoxythymidine-<i>C</i>-(1-deoxy β-<span>l</span>-rhamnosyl bisphosphate) (TDP-1C-Rha). Scale-up of this enzymatic process enabled the isolation of TDP-1C-Rha, an isosteric nonhydrolyzable phosphonate analogue of TDP-Rha and offers an orthogonal approach to deliver phosphonate–phosphate derived enzyme probes.</p>\",\"PeriodicalId\":9,\"journal\":{\"name\":\"ACS Catalysis \",\"volume\":\"15 16\",\"pages\":\"13898–13903\"},\"PeriodicalIF\":13.1000,\"publicationDate\":\"2025-07-29\",\"publicationTypes\":\"Journal Article\",\"fieldsOfStudy\":null,\"isOpenAccess\":false,\"openAccessPdf\":\"\",\"citationCount\":\"0\",\"resultStr\":null,\"platform\":\"Semanticscholar\",\"paperid\":null,\"PeriodicalName\":\"ACS Catalysis \",\"FirstCategoryId\":\"92\",\"ListUrlMain\":\"https://pubs.acs.org/doi/10.1021/acscatal.5c03488\",\"RegionNum\":1,\"RegionCategory\":\"化学\",\"ArticlePicture\":[],\"TitleCN\":null,\"AbstractTextCN\":null,\"PMCID\":null,\"EPubDate\":\"\",\"PubModel\":\"\",\"JCR\":\"Q1\",\"JCRName\":\"CHEMISTRY, PHYSICAL\",\"Score\":null,\"Total\":0}","platform":"Semanticscholar","paperid":null,"PeriodicalName":"ACS Catalysis ","FirstCategoryId":"92","ListUrlMain":"https://pubs.acs.org/doi/10.1021/acscatal.5c03488","RegionNum":1,"RegionCategory":"化学","ArticlePicture":[],"TitleCN":null,"AbstractTextCN":null,"PMCID":null,"EPubDate":"","PubModel":"","JCR":"Q1","JCRName":"CHEMISTRY, PHYSICAL","Score":null,"Total":0}
引用次数: 0

摘要

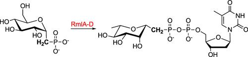
l-鼠李糖(Rha)广泛分布于细菌中,是细菌细胞壁中多糖的组成部分。虽然含有rhaa的多糖在结构和功能上都是高度可变的,但它们在致病菌中的存在为探索抑制rhaa途径作为抗生素开发的一种手段提供了动力。在此,我们探索了来自嗜热动脉瘤杆菌的Rha生物合成酶RmlB、RmlC和RmlD的底物范围,这些酶具有脱氧氟、氨基脱氧和膦酸同源物。三种酶均能转化为5′-脱氧胸腺嘧啶- c -(1-脱氧β-l-鼠李糖基二磷酸)(TDP-1C-Rha)。扩大这一酶促过程可以分离TDP-1C-Rha,这是TDP-Rha的等构非水解磷酸盐类似物,并提供了一种正交方法来传递磷酸盐-磷酸盐衍生酶探针。
本文章由计算机程序翻译,如有差异,请以英文原文为准。

Investigating the Substrate Specificity of l-Rhamnose Biosynthetic Enzymes (RmlA–D): Chemoenzymatic Synthesis of an Isosteric Nonhydrolyzable TDP-β-l-Rhamnose Phosphonate

Investigating the Substrate Specificity of l-Rhamnose Biosynthetic Enzymes (RmlA–D): Chemoenzymatic Synthesis of an Isosteric Nonhydrolyzable TDP-β-l-Rhamnose Phosphonate

l-Rhamnose (Rha) is widely distributed within bacteria as a component of the polysaccharides that populate bacterial cell walls. While Rha-containing polysaccharides are highly variable in both structure and function, their presence in pathogenic bacteria has provided incentive to explore inhibition of the Rha-pathway as a means toward antibiotic development. Herein, we explore the substrate scope of the Rha biosynthetic enzymes RmlB, RmlC, and RmlD, from Aneurinibacillus thermoaerophilus, with deoxyfluoro-, aminodeoxy-, and phosphonate congeners. The isosteric phosphonate was the only congener turned over by all three enzymes demonstrating conversion to 5′-deoxythymidine-C-(1-deoxy β-l-rhamnosyl bisphosphate) (TDP-1C-Rha). Scale-up of this enzymatic process enabled the isolation of TDP-1C-Rha, an isosteric nonhydrolyzable phosphonate analogue of TDP-Rha and offers an orthogonal approach to deliver phosphonate–phosphate derived enzyme probes.

求助全文
通过发布文献求助,成功后即可免费获取论文全文。 去求助
来源期刊
ACS Catalysis
ACS Catalysis CHEMISTRY, PHYSICAL-
CiteScore
20.80
自引率
6.20%
发文量
1253
审稿时长
1.5 months
期刊介绍: ACS Catalysis is an esteemed journal that publishes original research in the fields of heterogeneous catalysis, molecular catalysis, and biocatalysis. It offers broad coverage across diverse areas such as life sciences, organometallics and synthesis, photochemistry and electrochemistry, drug discovery and synthesis, materials science, environmental protection, polymer discovery and synthesis, and energy and fuels. The scope of the journal is to showcase innovative work in various aspects of catalysis. This includes new reactions and novel synthetic approaches utilizing known catalysts, the discovery or modification of new catalysts, elucidation of catalytic mechanisms through cutting-edge investigations, practical enhancements of existing processes, as well as conceptual advances in the field. Contributions to ACS Catalysis can encompass both experimental and theoretical research focused on catalytic molecules, macromolecules, and materials that exhibit catalytic turnover.
×
引用
GB/T 7714-2015
复制
MLA
复制
APA
复制
导出至
BibTeX EndNote RefMan NoteFirst NoteExpress
×
提示
您的信息不完整,为了账户安全,请先补充。
现在去补充
×
提示
您因"违规操作"
具体请查看互助需知
我知道了
×
提示
确定
请完成安全验证×
copy
已复制链接
快去分享给好友吧!
我知道了
右上角分享
点击右上角分享
0
联系我们:info@booksci.cn Book学术提供免费学术资源搜索服务,方便国内外学者检索中英文文献。致力于提供最便捷和优质的服务体验。 Copyright © 2023 布克学术 All rights reserved.
京ICP备2023020795号-1
ghs 京公网安备 11010802042870号
Book学术文献互助
Book学术文献互助群
群 号:604180095
Book学术官方微信