工人参与普通癌症筛查的职业差异:日本一项全国性的横断面研究。

IF 2 4区 医学 Q2 PUBLIC, ENVIRONMENTAL & OCCUPATIONAL HEALTH
Kazuhiko Watanabe, Takahiro Tabuchi, Masayoshi Zaitsu
{"title":"工人参与普通癌症筛查的职业差异:日本一项全国性的横断面研究。","authors":"Kazuhiko Watanabe, Takahiro Tabuchi, Masayoshi Zaitsu","doi":"10.1093/joccuh/uiaf046","DOIUrl":null,"url":null,"abstract":"<p><strong>Objectives: </strong>Cancer screening is crucial for early detection and improved health outcomes. Limited evidence exists on the association between occupational class and cancer screening participation in Japan. Therefore, we aimed to examine screening participation rates and disparities among active workers across different occupational classes.</p><p><strong>Methods: </strong>This cross-sectional study analyzed data from a nationwide web-based survey conducted in Japan (September to November, 2023). Eligible participants included current workers aged 40-64 years for colorectal, lung, and stomach cancer screenings (n = 7038); workers aged 40-64 years for breast cancer screening (n = 2929); and workers aged 30-64 years for cervical cancer screening (n = 4252). Cancer screening participation rates across occupational classes (upper nonmanual, lower nonmanual, and manual workers) were compared using the chi-square test. Poisson regression with robust variance was used to estimate prevalence ratios (PRs) and 95% CIs for nonparticipation, adjusted for sex, age, educational attainment, household income, and workplace scale. Upper nonmanual workers served as the reference group.</p><p><strong>Results: </strong>Manual workers consistently had lower cancer screening participation rates. Compared with upper nonmanual workers, manual workers exhibited significantly higher PRs for nonparticipation in colorectal (PR = 1.12; 95% CI, 1.04-1.22), lung (PR = 1.22; 95% CI, 1.12-1.34), stomach (PR = 1.14; 95% CI, 1.05-1.23), and cervical cancer screenings (PR = 1.16; 95% CI, 1.02-1.33). The disparities were particularly pronounced among male workers.</p><p><strong>Conclusions: </strong>Manual workers had lower cancer screening participation rates, particularly for colorectal, lung, stomach, and cervical cancer. Targeted interventions are needed to improve screening, particularly among manual workers, and reduce occupational disparities in cancer prevention and outcomes.</p>","PeriodicalId":16632,"journal":{"name":"Journal of Occupational Health","volume":" ","pages":""},"PeriodicalIF":2.0000,"publicationDate":"2025-01-07","publicationTypes":"Journal Article","fieldsOfStudy":null,"isOpenAccess":false,"openAccessPdf":"https://www.ncbi.nlm.nih.gov/pmc/articles/PMC12445672/pdf/","citationCount":"0","resultStr":"{\"title\":\"Occupational disparities in common cancer screening participation among workers: a nationwide cross-sectional study in Japan.\",\"authors\":\"Kazuhiko Watanabe, Takahiro Tabuchi, Masayoshi Zaitsu\",\"doi\":\"10.1093/joccuh/uiaf046\",\"DOIUrl\":null,\"url\":null,\"abstract\":\"<p><strong>Objectives: </strong>Cancer screening is crucial for early detection and improved health outcomes. Limited evidence exists on the association between occupational class and cancer screening participation in Japan. Therefore, we aimed to examine screening participation rates and disparities among active workers across different occupational classes.</p><p><strong>Methods: </strong>This cross-sectional study analyzed data from a nationwide web-based survey conducted in Japan (September to November, 2023). Eligible participants included current workers aged 40-64 years for colorectal, lung, and stomach cancer screenings (n = 7038); workers aged 40-64 years for breast cancer screening (n = 2929); and workers aged 30-64 years for cervical cancer screening (n = 4252). Cancer screening participation rates across occupational classes (upper nonmanual, lower nonmanual, and manual workers) were compared using the chi-square test. Poisson regression with robust variance was used to estimate prevalence ratios (PRs) and 95% CIs for nonparticipation, adjusted for sex, age, educational attainment, household income, and workplace scale. Upper nonmanual workers served as the reference group.</p><p><strong>Results: </strong>Manual workers consistently had lower cancer screening participation rates. Compared with upper nonmanual workers, manual workers exhibited significantly higher PRs for nonparticipation in colorectal (PR = 1.12; 95% CI, 1.04-1.22), lung (PR = 1.22; 95% CI, 1.12-1.34), stomach (PR = 1.14; 95% CI, 1.05-1.23), and cervical cancer screenings (PR = 1.16; 95% CI, 1.02-1.33). The disparities were particularly pronounced among male workers.</p><p><strong>Conclusions: </strong>Manual workers had lower cancer screening participation rates, particularly for colorectal, lung, stomach, and cervical cancer. Targeted interventions are needed to improve screening, particularly among manual workers, and reduce occupational disparities in cancer prevention and outcomes.</p>\",\"PeriodicalId\":16632,\"journal\":{\"name\":\"Journal of Occupational Health\",\"volume\":\" \",\"pages\":\"\"},\"PeriodicalIF\":2.0000,\"publicationDate\":\"2025-01-07\",\"publicationTypes\":\"Journal Article\",\"fieldsOfStudy\":null,\"isOpenAccess\":false,\"openAccessPdf\":\"https://www.ncbi.nlm.nih.gov/pmc/articles/PMC12445672/pdf/\",\"citationCount\":\"0\",\"resultStr\":null,\"platform\":\"Semanticscholar\",\"paperid\":null,\"PeriodicalName\":\"Journal of Occupational Health\",\"FirstCategoryId\":\"3\",\"ListUrlMain\":\"https://doi.org/10.1093/joccuh/uiaf046\",\"RegionNum\":4,\"RegionCategory\":\"医学\",\"ArticlePicture\":[],\"TitleCN\":null,\"AbstractTextCN\":null,\"PMCID\":null,\"EPubDate\":\"\",\"PubModel\":\"\",\"JCR\":\"Q2\",\"JCRName\":\"PUBLIC, ENVIRONMENTAL & OCCUPATIONAL HEALTH\",\"Score\":null,\"Total\":0}","platform":"Semanticscholar","paperid":null,"PeriodicalName":"Journal of Occupational Health","FirstCategoryId":"3","ListUrlMain":"https://doi.org/10.1093/joccuh/uiaf046","RegionNum":4,"RegionCategory":"医学","ArticlePicture":[],"TitleCN":null,"AbstractTextCN":null,"PMCID":null,"EPubDate":"","PubModel":"","JCR":"Q2","JCRName":"PUBLIC, ENVIRONMENTAL & OCCUPATIONAL HEALTH","Score":null,"Total":0}
引用次数: 0

摘要

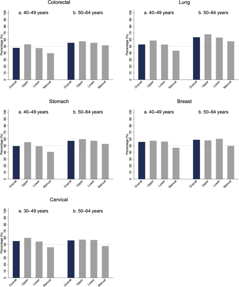
目的:癌症筛查对早期发现和改善健康结果至关重要。在日本,关于职业类别与癌症筛查参与之间的关系的证据有限。因此,我们的目的是检查不同职业类别的积极工作者的筛查参与率和差异。方法:本横断面研究分析了日本(2023年9月至11月)进行的全国性网络调查的数据。符合条件的参与者包括目前从事结直肠癌、肺癌和胃癌筛查的40-64岁工人(n= 7038),从事乳腺癌筛查的40-64岁工人(n= 2929),以及从事宫颈癌筛查的30-64岁工人(n= 4252)。使用卡方检验比较不同职业类别(非体力劳动者、体力劳动者和体力劳动者)的癌症筛查参与率。采用稳健方差的泊松回归来估计不参与的患病率(pr)和95%置信区间(ci),并根据性别、年龄、受教育程度、家庭收入和工作场所规模进行调整。上层非体力劳动者作为参照组。结果:体力劳动者的癌症筛查参与率一直较低。与上层非体力劳动者相比,体力劳动者在不参加结直肠(PR=1.12, 95% CI: 1.04-1.22)、肺(PR=1.22, 95% CI: 1.12-1.34)、胃(PR=1.14, 95% CI: 1.05-1.23)和宫颈癌筛查(PR=1.16, 95% CI: 1.02-1.33)方面的PR值明显更高。这种差异在男性员工中尤为明显。结论:体力劳动者的癌症筛查参与率较低,尤其是结直肠癌、肺癌、胃癌和宫颈癌。需要有针对性的干预措施来改善筛查,特别是体力劳动者的筛查,并减少癌症预防和预后方面的职业差异。
本文章由计算机程序翻译,如有差异,请以英文原文为准。

Occupational disparities in common cancer screening participation among workers: a nationwide cross-sectional study in Japan.

Occupational disparities in common cancer screening participation among workers: a nationwide cross-sectional study in Japan.

Occupational disparities in common cancer screening participation among workers: a nationwide cross-sectional study in Japan.

Objectives: Cancer screening is crucial for early detection and improved health outcomes. Limited evidence exists on the association between occupational class and cancer screening participation in Japan. Therefore, we aimed to examine screening participation rates and disparities among active workers across different occupational classes.

Methods: This cross-sectional study analyzed data from a nationwide web-based survey conducted in Japan (September to November, 2023). Eligible participants included current workers aged 40-64 years for colorectal, lung, and stomach cancer screenings (n = 7038); workers aged 40-64 years for breast cancer screening (n = 2929); and workers aged 30-64 years for cervical cancer screening (n = 4252). Cancer screening participation rates across occupational classes (upper nonmanual, lower nonmanual, and manual workers) were compared using the chi-square test. Poisson regression with robust variance was used to estimate prevalence ratios (PRs) and 95% CIs for nonparticipation, adjusted for sex, age, educational attainment, household income, and workplace scale. Upper nonmanual workers served as the reference group.

Results: Manual workers consistently had lower cancer screening participation rates. Compared with upper nonmanual workers, manual workers exhibited significantly higher PRs for nonparticipation in colorectal (PR = 1.12; 95% CI, 1.04-1.22), lung (PR = 1.22; 95% CI, 1.12-1.34), stomach (PR = 1.14; 95% CI, 1.05-1.23), and cervical cancer screenings (PR = 1.16; 95% CI, 1.02-1.33). The disparities were particularly pronounced among male workers.

Conclusions: Manual workers had lower cancer screening participation rates, particularly for colorectal, lung, stomach, and cervical cancer. Targeted interventions are needed to improve screening, particularly among manual workers, and reduce occupational disparities in cancer prevention and outcomes.

求助全文
通过发布文献求助,成功后即可免费获取论文全文。 去求助
来源期刊
Journal of Occupational Health
Journal of Occupational Health 医学-公共卫生、环境卫生与职业卫生
CiteScore
5.60
自引率
3.30%
发文量
57
审稿时长
6-12 weeks
期刊介绍: The scope of the journal is broad, covering toxicology, ergonomics, psychosocial factors and other relevant health issues of workers, with special emphasis on the current developments in occupational health. The JOH also accepts various methodologies that are relevant to investigation of occupational health risk factors and exposures, such as large-scale epidemiological studies, human studies employing biological techniques and fundamental experiments on animals, and also welcomes submissions concerning occupational health practices and related issues.
×
引用
GB/T 7714-2015
复制
MLA
复制
APA
复制
导出至
BibTeX EndNote RefMan NoteFirst NoteExpress
×
提示
您的信息不完整,为了账户安全,请先补充。
现在去补充
×
提示
您因"违规操作"
具体请查看互助需知
我知道了
×
提示
确定
请完成安全验证×
copy
已复制链接
快去分享给好友吧!
我知道了
右上角分享
点击右上角分享
0
联系我们:info@booksci.cn Book学术提供免费学术资源搜索服务,方便国内外学者检索中英文文献。致力于提供最便捷和优质的服务体验。 Copyright © 2023 布克学术 All rights reserved.
京ICP备2023020795号-1
ghs 京公网安备 11010802042870号
Book学术文献互助
Book学术文献互助群
群 号:604180095
Book学术官方微信