观察和遗传证据揭示了血脂水平对COPD风险的影响。

IF 3.1 3区 医学 Q2 RESPIRATORY SYSTEM
Guobing Jia, Tao Guo, Lei Liu, Chengshi He
{"title":"观察和遗传证据揭示了血脂水平对COPD风险的影响。","authors":"Guobing Jia, Tao Guo, Lei Liu, Chengshi He","doi":"10.2147/COPD.S503030","DOIUrl":null,"url":null,"abstract":"<p><strong>Background: </strong>Disorders of lipid metabolism are linked to an increased risk of various diseases; however, their association with chronic obstructive pulmonary disease (COPD) remains unclear. This study aimed to examine the relationship between serum lipid levels and COPD risk.</p><p><strong>Methods: </strong>The methods of the National Health and Nutrition Examination Survey (NHANES) and Mendelian randomization (MR) analyses were employed to investigate the relationships between lipids and COPD across multiple populations. Data from 2013 to 2023 were selected for the NHANES study on US population, and weighted multivariable-adjusted logistic regression was employed as the primary statistical method. And data utilized for the MR analysis were derived from genome-wide association studies (GWAS) conducted on European and East Asian populations, with inverse-variance weighted (IVW) method serving as the principal statistical approach.</p><p><strong>Results: </strong>The NHANES analyses indicated that higher levels of total cholesterol (TC) (OR = 0.85, 95% CI = 0.77-0.93), non-high-density lipoprotein cholesterol (non-HDL-C) (OR = 0.86, 95% CI = 0.78-0.94) and low-density lipoprotein cholesterol (LDL-C) (OR = 0.85, 95% CI = 0.74-0.97) were associated with a reduced risk of COPD in the US population. In the MR analyses, TC (OR = 0.90, 95% CI = 0.84-0.95), non-HDL-C (OR = 0.91, 95% CI = 0.85-0.96), and LDL-C (OR = 0.88, 95% CI = 0.82-0.94) were causally linked to a decreased risk of COPD in the European population. Similar associations were observed in the East Asian population.</p><p><strong>Conclusion: </strong>Our study identified associations between TC, non-HDL-C, and LDL-C with a reduced risk of COPD. This underscores the importance of monitoring lipid metabolism in patients with COPD and provides supporting evidence for the use of lipid-based therapies in its treatment.</p>","PeriodicalId":48818,"journal":{"name":"International Journal of Chronic Obstructive Pulmonary Disease","volume":"20 ","pages":"2705-2714"},"PeriodicalIF":3.1000,"publicationDate":"2025-08-05","publicationTypes":"Journal Article","fieldsOfStudy":null,"isOpenAccess":false,"openAccessPdf":"https://www.ncbi.nlm.nih.gov/pmc/articles/PMC12335266/pdf/","citationCount":"0","resultStr":"{\"title\":\"Observational and Genetic Evidence Reveals the Effect of Serum Lipid Levels on COPD Risk.\",\"authors\":\"Guobing Jia, Tao Guo, Lei Liu, Chengshi He\",\"doi\":\"10.2147/COPD.S503030\",\"DOIUrl\":null,\"url\":null,\"abstract\":\"<p><strong>Background: </strong>Disorders of lipid metabolism are linked to an increased risk of various diseases; however, their association with chronic obstructive pulmonary disease (COPD) remains unclear. This study aimed to examine the relationship between serum lipid levels and COPD risk.</p><p><strong>Methods: </strong>The methods of the National Health and Nutrition Examination Survey (NHANES) and Mendelian randomization (MR) analyses were employed to investigate the relationships between lipids and COPD across multiple populations. Data from 2013 to 2023 were selected for the NHANES study on US population, and weighted multivariable-adjusted logistic regression was employed as the primary statistical method. And data utilized for the MR analysis were derived from genome-wide association studies (GWAS) conducted on European and East Asian populations, with inverse-variance weighted (IVW) method serving as the principal statistical approach.</p><p><strong>Results: </strong>The NHANES analyses indicated that higher levels of total cholesterol (TC) (OR = 0.85, 95% CI = 0.77-0.93), non-high-density lipoprotein cholesterol (non-HDL-C) (OR = 0.86, 95% CI = 0.78-0.94) and low-density lipoprotein cholesterol (LDL-C) (OR = 0.85, 95% CI = 0.74-0.97) were associated with a reduced risk of COPD in the US population. In the MR analyses, TC (OR = 0.90, 95% CI = 0.84-0.95), non-HDL-C (OR = 0.91, 95% CI = 0.85-0.96), and LDL-C (OR = 0.88, 95% CI = 0.82-0.94) were causally linked to a decreased risk of COPD in the European population. Similar associations were observed in the East Asian population.</p><p><strong>Conclusion: </strong>Our study identified associations between TC, non-HDL-C, and LDL-C with a reduced risk of COPD. This underscores the importance of monitoring lipid metabolism in patients with COPD and provides supporting evidence for the use of lipid-based therapies in its treatment.</p>\",\"PeriodicalId\":48818,\"journal\":{\"name\":\"International Journal of Chronic Obstructive Pulmonary Disease\",\"volume\":\"20 \",\"pages\":\"2705-2714\"},\"PeriodicalIF\":3.1000,\"publicationDate\":\"2025-08-05\",\"publicationTypes\":\"Journal Article\",\"fieldsOfStudy\":null,\"isOpenAccess\":false,\"openAccessPdf\":\"https://www.ncbi.nlm.nih.gov/pmc/articles/PMC12335266/pdf/\",\"citationCount\":\"0\",\"resultStr\":null,\"platform\":\"Semanticscholar\",\"paperid\":null,\"PeriodicalName\":\"International Journal of Chronic Obstructive Pulmonary Disease\",\"FirstCategoryId\":\"3\",\"ListUrlMain\":\"https://doi.org/10.2147/COPD.S503030\",\"RegionNum\":3,\"RegionCategory\":\"医学\",\"ArticlePicture\":[],\"TitleCN\":null,\"AbstractTextCN\":null,\"PMCID\":null,\"EPubDate\":\"2025/1/1 0:00:00\",\"PubModel\":\"eCollection\",\"JCR\":\"Q2\",\"JCRName\":\"RESPIRATORY SYSTEM\",\"Score\":null,\"Total\":0}","platform":"Semanticscholar","paperid":null,"PeriodicalName":"International Journal of Chronic Obstructive Pulmonary Disease","FirstCategoryId":"3","ListUrlMain":"https://doi.org/10.2147/COPD.S503030","RegionNum":3,"RegionCategory":"医学","ArticlePicture":[],"TitleCN":null,"AbstractTextCN":null,"PMCID":null,"EPubDate":"2025/1/1 0:00:00","PubModel":"eCollection","JCR":"Q2","JCRName":"RESPIRATORY SYSTEM","Score":null,"Total":0}
引用次数: 0

摘要

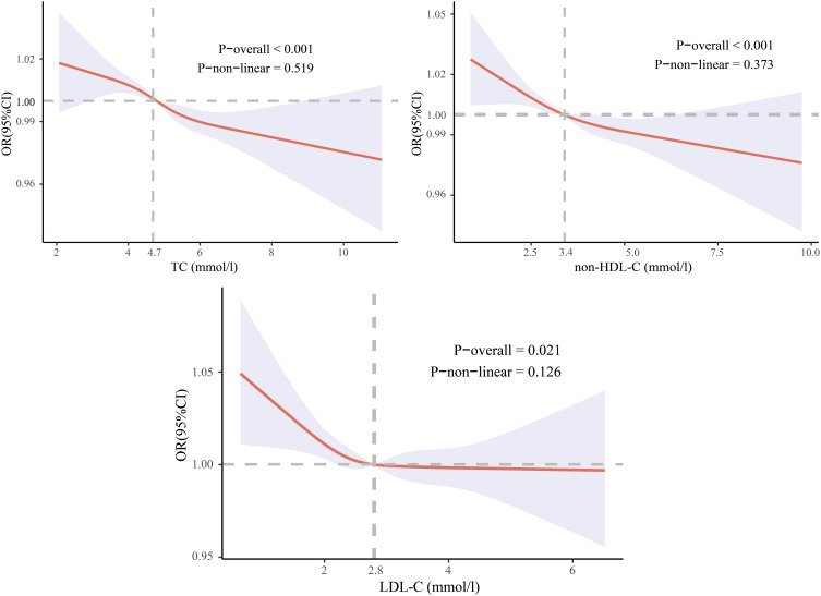
背景:脂质代谢紊乱与各种疾病的风险增加有关;然而,它们与慢性阻塞性肺疾病(COPD)的关系尚不清楚。本研究旨在探讨血脂水平与COPD风险之间的关系。方法:采用国家健康与营养调查(NHANES)和孟德尔随机化(MR)分析的方法,在多个人群中调查脂质与COPD之间的关系。选取2013 - 2023年美国人口NHANES研究数据,采用加权多变量调整logistic回归作为主要统计方法。MR分析使用的数据来自欧洲和东亚人群的全基因组关联研究(GWAS),以反方差加权(IVW)方法作为主要统计方法。结果:NHANES分析表明,在美国人群中,较高水平的总胆固醇(TC) (OR = 0.85, 95% CI = 0.77-0.93)、非高密度脂蛋白胆固醇(non-HDL-C) (OR = 0.86, 95% CI = 0.78-0.94)和低密度脂蛋白胆固醇(LDL-C) (OR = 0.85, 95% CI = 0.74-0.97)与COPD风险降低相关。在MR分析中,TC (OR = 0.90, 95% CI = 0.84-0.95)、非hdl - c (OR = 0.91, 95% CI = 0.85-0.96)和LDL-C (OR = 0.88, 95% CI = 0.82-0.94)与欧洲人群COPD风险降低有因果关系。在东亚人群中也观察到类似的关联。结论:我们的研究确定了TC、非hdl - c和LDL-C与COPD风险降低之间的关联。这强调了监测慢性阻塞性肺病患者脂质代谢的重要性,并为在其治疗中使用基于脂质的疗法提供了支持证据。
本文章由计算机程序翻译,如有差异,请以英文原文为准。

Observational and Genetic Evidence Reveals the Effect of Serum Lipid Levels on COPD Risk.

Observational and Genetic Evidence Reveals the Effect of Serum Lipid Levels on COPD Risk.

Observational and Genetic Evidence Reveals the Effect of Serum Lipid Levels on COPD Risk.

Observational and Genetic Evidence Reveals the Effect of Serum Lipid Levels on COPD Risk.

Background: Disorders of lipid metabolism are linked to an increased risk of various diseases; however, their association with chronic obstructive pulmonary disease (COPD) remains unclear. This study aimed to examine the relationship between serum lipid levels and COPD risk.

Methods: The methods of the National Health and Nutrition Examination Survey (NHANES) and Mendelian randomization (MR) analyses were employed to investigate the relationships between lipids and COPD across multiple populations. Data from 2013 to 2023 were selected for the NHANES study on US population, and weighted multivariable-adjusted logistic regression was employed as the primary statistical method. And data utilized for the MR analysis were derived from genome-wide association studies (GWAS) conducted on European and East Asian populations, with inverse-variance weighted (IVW) method serving as the principal statistical approach.

Results: The NHANES analyses indicated that higher levels of total cholesterol (TC) (OR = 0.85, 95% CI = 0.77-0.93), non-high-density lipoprotein cholesterol (non-HDL-C) (OR = 0.86, 95% CI = 0.78-0.94) and low-density lipoprotein cholesterol (LDL-C) (OR = 0.85, 95% CI = 0.74-0.97) were associated with a reduced risk of COPD in the US population. In the MR analyses, TC (OR = 0.90, 95% CI = 0.84-0.95), non-HDL-C (OR = 0.91, 95% CI = 0.85-0.96), and LDL-C (OR = 0.88, 95% CI = 0.82-0.94) were causally linked to a decreased risk of COPD in the European population. Similar associations were observed in the East Asian population.

Conclusion: Our study identified associations between TC, non-HDL-C, and LDL-C with a reduced risk of COPD. This underscores the importance of monitoring lipid metabolism in patients with COPD and provides supporting evidence for the use of lipid-based therapies in its treatment.

求助全文
通过发布文献求助,成功后即可免费获取论文全文。 去求助
来源期刊
CiteScore
4.80
自引率
10.70%
发文量
372
审稿时长
16 weeks
期刊介绍: An international, peer-reviewed journal of therapeutics and pharmacology focusing on concise rapid reporting of clinical studies and reviews in COPD. Special focus will be given to the pathophysiological processes underlying the disease, intervention programs, patient focused education, and self management protocols. This journal is directed at specialists and healthcare professionals
×
引用
GB/T 7714-2015
复制
MLA
复制
APA
复制
导出至
BibTeX EndNote RefMan NoteFirst NoteExpress
×
提示
您的信息不完整,为了账户安全,请先补充。
现在去补充
×
提示
您因"违规操作"
具体请查看互助需知
我知道了
×
提示
确定
请完成安全验证×
copy
已复制链接
快去分享给好友吧!
我知道了
右上角分享
点击右上角分享
0
联系我们:info@booksci.cn Book学术提供免费学术资源搜索服务,方便国内外学者检索中英文文献。致力于提供最便捷和优质的服务体验。 Copyright © 2023 布克学术 All rights reserved.
京ICP备2023020795号-1
ghs 京公网安备 11010802042870号
Book学术文献互助
Book学术文献互助群
群 号:604180095
Book学术官方微信