鱼腥草种质资源遗传多样性及相关铅含量变异分析。

IF 2.3 3区 生物学 Q2 PLANT SCIENCES
Plant Direct Pub Date : 2025-08-07 eCollection Date: 2025-08-01 DOI:10.1002/pld3.70095
Min He, Feifeng Mao, Liyu Wang, Guidong Zu, Jingwei Li, Xiuhong Xu, Wanping Zhang
{"title":"鱼腥草种质资源遗传多样性及相关铅含量变异分析。","authors":"Min He, Feifeng Mao, Liyu Wang, Guidong Zu, Jingwei Li, Xiuhong Xu, Wanping Zhang","doi":"10.1002/pld3.70095","DOIUrl":null,"url":null,"abstract":"<p><p><i>Houttuynia cordata</i> is an important medicinal and vegetable crop in Southwest China. Due to the accumulation of heavy metal ions such as lead ions (Pb<sup>2+</sup>) in <i>H. cordata</i>, consumption of this plant carries risks, such as ingestion of lead-contaminated <i>H. cordata</i>, may lead to Pb<sup>2+</sup> bioaccumulation, which is associated with developmental retardation, endocrine disruption, and impairments to immune and neurological functions. In order to screen <i>H. cordata</i> germplasm for low Pb<sup>2+</sup> absorption and identify the Pb<sup>2+</sup> adsorption-related agronomic traits and molecular markers, the genetic diversity of a germplasm resource of <i>H. cordata</i> comprising collected 72 accessions was comprehensively evaluated based on agronomic traits and Pb<sup>2+</sup> contents in the underground stems of the plant. Further, intersimple sequence repeats (ISSR) markers and generalized linear model (GLM) correlation analyses were performed to identify the ISSR loci related to the Pb<sup>2+</sup> absorption. Ward clustering analysis grouped the 72 accessions of <i>H. cordata</i> into five major classes through analysis of morphological traits. Combined analysis of the Pb<sup>2+</sup> contents of underground stems with the phenotypic traits revealed significant changes in members within the five classes, indicating that the Pb<sup>2+</sup> content significantly affected the results of the evaluation of agronomic traits. Greyscale analysis and subsequent verification revealed that the underground stem thickness was closely related to the Pb<sup>2+</sup> absorption. Based on ISSR markers and subsequent verification, two loci, namely, Locus 21 and Locus 29, were found to have better screening effects on germplasms with low Pb<sup>2+</sup> adsorption. The accessions that did not carry these two loci in the genome generally exhibited low lead ion adsorption. This study presents a faster marker-based screening for <i>H. cordata</i> plants that are safer for consumption.</p>","PeriodicalId":20230,"journal":{"name":"Plant Direct","volume":"9 8","pages":"e70095"},"PeriodicalIF":2.3000,"publicationDate":"2025-08-07","publicationTypes":"Journal Article","fieldsOfStudy":null,"isOpenAccess":false,"openAccessPdf":"https://www.ncbi.nlm.nih.gov/pmc/articles/PMC12331442/pdf/","citationCount":"0","resultStr":"{\"title\":\"Analysis of the Genetic Diversity of <i>Houttuynia cordata</i> Thunb Germplasm and Associated Variations in Lead Content.\",\"authors\":\"Min He, Feifeng Mao, Liyu Wang, Guidong Zu, Jingwei Li, Xiuhong Xu, Wanping Zhang\",\"doi\":\"10.1002/pld3.70095\",\"DOIUrl\":null,\"url\":null,\"abstract\":\"<p><p><i>Houttuynia cordata</i> is an important medicinal and vegetable crop in Southwest China. Due to the accumulation of heavy metal ions such as lead ions (Pb<sup>2+</sup>) in <i>H. cordata</i>, consumption of this plant carries risks, such as ingestion of lead-contaminated <i>H. cordata</i>, may lead to Pb<sup>2+</sup> bioaccumulation, which is associated with developmental retardation, endocrine disruption, and impairments to immune and neurological functions. In order to screen <i>H. cordata</i> germplasm for low Pb<sup>2+</sup> absorption and identify the Pb<sup>2+</sup> adsorption-related agronomic traits and molecular markers, the genetic diversity of a germplasm resource of <i>H. cordata</i> comprising collected 72 accessions was comprehensively evaluated based on agronomic traits and Pb<sup>2+</sup> contents in the underground stems of the plant. Further, intersimple sequence repeats (ISSR) markers and generalized linear model (GLM) correlation analyses were performed to identify the ISSR loci related to the Pb<sup>2+</sup> absorption. Ward clustering analysis grouped the 72 accessions of <i>H. cordata</i> into five major classes through analysis of morphological traits. Combined analysis of the Pb<sup>2+</sup> contents of underground stems with the phenotypic traits revealed significant changes in members within the five classes, indicating that the Pb<sup>2+</sup> content significantly affected the results of the evaluation of agronomic traits. Greyscale analysis and subsequent verification revealed that the underground stem thickness was closely related to the Pb<sup>2+</sup> absorption. Based on ISSR markers and subsequent verification, two loci, namely, Locus 21 and Locus 29, were found to have better screening effects on germplasms with low Pb<sup>2+</sup> adsorption. The accessions that did not carry these two loci in the genome generally exhibited low lead ion adsorption. This study presents a faster marker-based screening for <i>H. cordata</i> plants that are safer for consumption.</p>\",\"PeriodicalId\":20230,\"journal\":{\"name\":\"Plant Direct\",\"volume\":\"9 8\",\"pages\":\"e70095\"},\"PeriodicalIF\":2.3000,\"publicationDate\":\"2025-08-07\",\"publicationTypes\":\"Journal Article\",\"fieldsOfStudy\":null,\"isOpenAccess\":false,\"openAccessPdf\":\"https://www.ncbi.nlm.nih.gov/pmc/articles/PMC12331442/pdf/\",\"citationCount\":\"0\",\"resultStr\":null,\"platform\":\"Semanticscholar\",\"paperid\":null,\"PeriodicalName\":\"Plant Direct\",\"FirstCategoryId\":\"99\",\"ListUrlMain\":\"https://doi.org/10.1002/pld3.70095\",\"RegionNum\":3,\"RegionCategory\":\"生物学\",\"ArticlePicture\":[],\"TitleCN\":null,\"AbstractTextCN\":null,\"PMCID\":null,\"EPubDate\":\"2025/8/1 0:00:00\",\"PubModel\":\"eCollection\",\"JCR\":\"Q2\",\"JCRName\":\"PLANT SCIENCES\",\"Score\":null,\"Total\":0}","platform":"Semanticscholar","paperid":null,"PeriodicalName":"Plant Direct","FirstCategoryId":"99","ListUrlMain":"https://doi.org/10.1002/pld3.70095","RegionNum":3,"RegionCategory":"生物学","ArticlePicture":[],"TitleCN":null,"AbstractTextCN":null,"PMCID":null,"EPubDate":"2025/8/1 0:00:00","PubModel":"eCollection","JCR":"Q2","JCRName":"PLANT SCIENCES","Score":null,"Total":0}
引用次数: 0

摘要

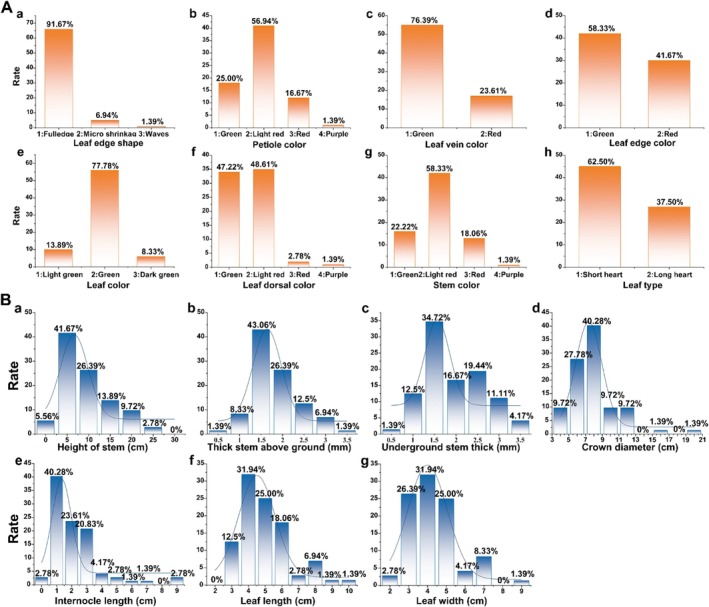
鱼腥草是中国西南地区重要的药用和蔬菜作物。由于铅离子(Pb2+)等重金属离子在灯芯草中积累,食用这种植物存在风险,例如摄入受铅污染的灯芯草,可能导致Pb2+的生物积累,这与发育迟缓、内分泌紊乱以及免疫和神经功能受损有关。为了筛选低Pb2+吸收量的红心藤种质资源,鉴定与Pb2+吸收量相关的农艺性状和分子标记,基于农艺性状和地下茎中Pb2+含量对72份红心藤种质资源的遗传多样性进行了综合评价。此外,利用ISSR标记和广义线性模型(GLM)相关分析鉴定了与Pb2+吸收相关的ISSR位点。Ward聚类分析通过形态特征分析,将72份麻属植物分为5大类。将地下茎中Pb2+含量与表型性状相结合分析,发现5类成员中Pb2+含量变化显著,表明Pb2+含量对农艺性状评价结果有显著影响。灰度分析和后续验证表明,地下茎杆厚度与Pb2+吸收率密切相关。通过ISSR标记和后续验证,发现21号位点和29号位点对低Pb2+吸附的种质具有较好的筛选效果。在基因组中不携带这两个基因座的植株通常表现出较低的铅离子吸附。本研究提出了一种更快的基于标记的筛选方法,用于更安全的消费。
本文章由计算机程序翻译,如有差异,请以英文原文为准。

Analysis of the Genetic Diversity of <i>Houttuynia cordata</i> Thunb Germplasm and Associated Variations in Lead Content.

Analysis of the Genetic Diversity of <i>Houttuynia cordata</i> Thunb Germplasm and Associated Variations in Lead Content.

Analysis of the Genetic Diversity of <i>Houttuynia cordata</i> Thunb Germplasm and Associated Variations in Lead Content.

Analysis of the Genetic Diversity of Houttuynia cordata Thunb Germplasm and Associated Variations in Lead Content.

Houttuynia cordata is an important medicinal and vegetable crop in Southwest China. Due to the accumulation of heavy metal ions such as lead ions (Pb2+) in H. cordata, consumption of this plant carries risks, such as ingestion of lead-contaminated H. cordata, may lead to Pb2+ bioaccumulation, which is associated with developmental retardation, endocrine disruption, and impairments to immune and neurological functions. In order to screen H. cordata germplasm for low Pb2+ absorption and identify the Pb2+ adsorption-related agronomic traits and molecular markers, the genetic diversity of a germplasm resource of H. cordata comprising collected 72 accessions was comprehensively evaluated based on agronomic traits and Pb2+ contents in the underground stems of the plant. Further, intersimple sequence repeats (ISSR) markers and generalized linear model (GLM) correlation analyses were performed to identify the ISSR loci related to the Pb2+ absorption. Ward clustering analysis grouped the 72 accessions of H. cordata into five major classes through analysis of morphological traits. Combined analysis of the Pb2+ contents of underground stems with the phenotypic traits revealed significant changes in members within the five classes, indicating that the Pb2+ content significantly affected the results of the evaluation of agronomic traits. Greyscale analysis and subsequent verification revealed that the underground stem thickness was closely related to the Pb2+ absorption. Based on ISSR markers and subsequent verification, two loci, namely, Locus 21 and Locus 29, were found to have better screening effects on germplasms with low Pb2+ adsorption. The accessions that did not carry these two loci in the genome generally exhibited low lead ion adsorption. This study presents a faster marker-based screening for H. cordata plants that are safer for consumption.

求助全文
通过发布文献求助,成功后即可免费获取论文全文。 去求助
来源期刊
Plant Direct
Plant Direct Environmental Science-Ecology
CiteScore
5.00
自引率
3.30%
发文量
101
审稿时长
14 weeks
期刊介绍: Plant Direct is a monthly, sound science journal for the plant sciences that gives prompt and equal consideration to papers reporting work dealing with a variety of subjects. Topics include but are not limited to genetics, biochemistry, development, cell biology, biotic stress, abiotic stress, genomics, phenomics, bioinformatics, physiology, molecular biology, and evolution. A collaborative journal launched by the American Society of Plant Biologists, the Society for Experimental Biology and Wiley, Plant Direct publishes papers submitted directly to the journal as well as those referred from a select group of the societies’ journals.
×
引用
GB/T 7714-2015
复制
MLA
复制
APA
复制
导出至
BibTeX EndNote RefMan NoteFirst NoteExpress
×
提示
您的信息不完整,为了账户安全,请先补充。
现在去补充
×
提示
您因"违规操作"
具体请查看互助需知
我知道了
×
提示
确定
请完成安全验证×
copy
已复制链接
快去分享给好友吧!
我知道了
右上角分享
点击右上角分享
0
联系我们:info@booksci.cn Book学术提供免费学术资源搜索服务,方便国内外学者检索中英文文献。致力于提供最便捷和优质的服务体验。 Copyright © 2023 布克学术 All rights reserved.
京ICP备2023020795号-1
ghs 京公网安备 11010802042870号
Book学术文献互助
Book学术文献互助群
群 号:604180095
Book学术官方微信