他汀类药物治疗对坦桑尼亚东北部2型糖尿病患者血糖控制及相关因素的影响:一项回顾性队列研究

IF 3.4 3区 医学 Q2 ENDOCRINOLOGY & METABOLISM
Journal of Diabetes Research Pub Date : 2025-08-01 eCollection Date: 2025-01-01 DOI:10.1155/jdr/6626154
Daniel P Mujuni, Kajiru G Kilonzo, Abid M Sadiq, Norman J Kyala, Philip C Makupa, Sweetness N Laizer, Elifuraha W Mkwizu, Furaha S Lyamuya, Elichilia R Shao, Erick A Mboya, Nyasatu G Chamba
{"title":"他汀类药物治疗对坦桑尼亚东北部2型糖尿病患者血糖控制及相关因素的影响:一项回顾性队列研究","authors":"Daniel P Mujuni, Kajiru G Kilonzo, Abid M Sadiq, Norman J Kyala, Philip C Makupa, Sweetness N Laizer, Elifuraha W Mkwizu, Furaha S Lyamuya, Elichilia R Shao, Erick A Mboya, Nyasatu G Chamba","doi":"10.1155/jdr/6626154","DOIUrl":null,"url":null,"abstract":"<p><p><b>Introduction:</b> Statins have been implicated in poor glycemic control among patients with diabetes mellitus (DM), prompting the US Food and Drug Administration (FDA) to update warning labels on all statins to reflect the risk of increased blood glucose levels. However, few studies from sub-Saharan Africa have assessed this concern. This study investigated the effects of statins on glycemic control among patients with Type 2 diabetes mellitus (T2DM) in Kilimanjaro, northeastern Tanzania. <b>Materials and Methods:</b> This was a hospital-based retrospective cohort study evaluating changes in glycated hemoglobin (HbA<sub>1c</sub>) at 1-3, 7-12, and 19-24 months, as the primary outcome, comparing statin users and nonusers among T2DM patients attending DM clinic at Kilimanjaro Christian Medical Centre in Tanzania. Binomial regression models were fitted to calculate adjusted risk ratios for independent predictors of a ≥ 0.2% rise in HbA<sub>1c</sub>, with statistical significance set at <i>p</i> < 0.05. <b>Results:</b> Out of 122 patients, 51 (41.8%) were on statin therapy. Among these, 46 (90.2%) were prescribed atorvastatin. Statin users had an increase of mean HbA<sub>1c</sub> from 10.6% ± 2.7% at baseline compared to 11.6% ± 2.8% at 1-3 months (<i>p</i> = 0.114), followed by a decrease to 10.1% ± 2.2% at 7-12 months (<i>p</i> = 1.0), and 10.0% ± 2.5% at 19-24 months (<i>p</i> = 1.0). However, atorvastatin users (<i>n</i> = 46) had a significant increase of mean HbA<sub>1c</sub> from 10.7% ± 2.8% at baseline compared to 11.9% ± 2.7% at 1-3 months (<i>p</i> = 0.04). In contrast, nonstatin users had a consistent and significant decrease in HbA<sub>1c</sub> from 11.3% ± 2.8% at baseline compared to 9.7% ± 2.2% at 1-3 months (<i>p</i> = 0.001), to 9.7% ± 2.6% at 7-12 months (<i>p</i> = 0.011), and to 9.3% ± 2.2% at 19-24 months (<i>p</i> = 0.001). <b>Conclusion:</b> Statin therapy among patients with T2DM was associated with short-lived worsening of glycemic control at 1-3 months posttherapy.</p>","PeriodicalId":15576,"journal":{"name":"Journal of Diabetes Research","volume":"2025 ","pages":"6626154"},"PeriodicalIF":3.4000,"publicationDate":"2025-08-01","publicationTypes":"Journal Article","fieldsOfStudy":null,"isOpenAccess":false,"openAccessPdf":"https://www.ncbi.nlm.nih.gov/pmc/articles/PMC12334290/pdf/","citationCount":"0","resultStr":"{\"title\":\"Effects of Statin Therapy on Glycemic Control and Associated Factors Among Type 2 Diabetes Mellitus Patients in Northeastern Tanzania: A Retrospective Cohort Study.\",\"authors\":\"Daniel P Mujuni, Kajiru G Kilonzo, Abid M Sadiq, Norman J Kyala, Philip C Makupa, Sweetness N Laizer, Elifuraha W Mkwizu, Furaha S Lyamuya, Elichilia R Shao, Erick A Mboya, Nyasatu G Chamba\",\"doi\":\"10.1155/jdr/6626154\",\"DOIUrl\":null,\"url\":null,\"abstract\":\"<p><p><b>Introduction:</b> Statins have been implicated in poor glycemic control among patients with diabetes mellitus (DM), prompting the US Food and Drug Administration (FDA) to update warning labels on all statins to reflect the risk of increased blood glucose levels. However, few studies from sub-Saharan Africa have assessed this concern. This study investigated the effects of statins on glycemic control among patients with Type 2 diabetes mellitus (T2DM) in Kilimanjaro, northeastern Tanzania. <b>Materials and Methods:</b> This was a hospital-based retrospective cohort study evaluating changes in glycated hemoglobin (HbA<sub>1c</sub>) at 1-3, 7-12, and 19-24 months, as the primary outcome, comparing statin users and nonusers among T2DM patients attending DM clinic at Kilimanjaro Christian Medical Centre in Tanzania. Binomial regression models were fitted to calculate adjusted risk ratios for independent predictors of a ≥ 0.2% rise in HbA<sub>1c</sub>, with statistical significance set at <i>p</i> < 0.05. <b>Results:</b> Out of 122 patients, 51 (41.8%) were on statin therapy. Among these, 46 (90.2%) were prescribed atorvastatin. Statin users had an increase of mean HbA<sub>1c</sub> from 10.6% ± 2.7% at baseline compared to 11.6% ± 2.8% at 1-3 months (<i>p</i> = 0.114), followed by a decrease to 10.1% ± 2.2% at 7-12 months (<i>p</i> = 1.0), and 10.0% ± 2.5% at 19-24 months (<i>p</i> = 1.0). However, atorvastatin users (<i>n</i> = 46) had a significant increase of mean HbA<sub>1c</sub> from 10.7% ± 2.8% at baseline compared to 11.9% ± 2.7% at 1-3 months (<i>p</i> = 0.04). In contrast, nonstatin users had a consistent and significant decrease in HbA<sub>1c</sub> from 11.3% ± 2.8% at baseline compared to 9.7% ± 2.2% at 1-3 months (<i>p</i> = 0.001), to 9.7% ± 2.6% at 7-12 months (<i>p</i> = 0.011), and to 9.3% ± 2.2% at 19-24 months (<i>p</i> = 0.001). <b>Conclusion:</b> Statin therapy among patients with T2DM was associated with short-lived worsening of glycemic control at 1-3 months posttherapy.</p>\",\"PeriodicalId\":15576,\"journal\":{\"name\":\"Journal of Diabetes Research\",\"volume\":\"2025 \",\"pages\":\"6626154\"},\"PeriodicalIF\":3.4000,\"publicationDate\":\"2025-08-01\",\"publicationTypes\":\"Journal Article\",\"fieldsOfStudy\":null,\"isOpenAccess\":false,\"openAccessPdf\":\"https://www.ncbi.nlm.nih.gov/pmc/articles/PMC12334290/pdf/\",\"citationCount\":\"0\",\"resultStr\":null,\"platform\":\"Semanticscholar\",\"paperid\":null,\"PeriodicalName\":\"Journal of Diabetes Research\",\"FirstCategoryId\":\"3\",\"ListUrlMain\":\"https://doi.org/10.1155/jdr/6626154\",\"RegionNum\":3,\"RegionCategory\":\"医学\",\"ArticlePicture\":[],\"TitleCN\":null,\"AbstractTextCN\":null,\"PMCID\":null,\"EPubDate\":\"2025/1/1 0:00:00\",\"PubModel\":\"eCollection\",\"JCR\":\"Q2\",\"JCRName\":\"ENDOCRINOLOGY & METABOLISM\",\"Score\":null,\"Total\":0}","platform":"Semanticscholar","paperid":null,"PeriodicalName":"Journal of Diabetes Research","FirstCategoryId":"3","ListUrlMain":"https://doi.org/10.1155/jdr/6626154","RegionNum":3,"RegionCategory":"医学","ArticlePicture":[],"TitleCN":null,"AbstractTextCN":null,"PMCID":null,"EPubDate":"2025/1/1 0:00:00","PubModel":"eCollection","JCR":"Q2","JCRName":"ENDOCRINOLOGY & METABOLISM","Score":null,"Total":0}
引用次数: 0

摘要

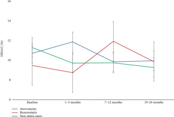
他汀类药物与糖尿病(DM)患者血糖控制不良有关,促使美国食品和药物管理局(FDA)更新了所有他汀类药物的警告标签,以反映血糖水平升高的风险。然而,很少有撒哈拉以南非洲的研究评估了这一担忧。本研究调查了他汀类药物对坦桑尼亚东北部乞力马扎罗市2型糖尿病(T2DM)患者血糖控制的影响。材料和方法:这是一项以医院为基础的回顾性队列研究,评估糖化血红蛋白(HbA1c)在1- 3,7 -12和19-24个月的变化,作为主要结局,比较在坦桑尼亚乞力马扎罗山基督教医疗中心糖尿病诊所就诊的2型糖尿病患者中他汀类药物使用者和非他汀类药物使用者。拟合二项回归模型,计算HbA1c升高≥0.2%独立预测因子的校正风险比,p < 0.05为统计学意义。结果:122例患者中,51例(41.8%)接受他汀类药物治疗。其中46例(90.2%)使用了阿托伐他汀。他汀类药物使用者的平均HbA1c从基线时的10.6%±2.7%增加到1-3个月时的11.6%±2.8% (p = 0.114),随后在7-12个月时降至10.1%±2.2% (p = 1.0),在19-24个月时降至10.0%±2.5% (p = 1.0)。然而,阿托伐他汀使用者(n = 46)的平均HbA1c从基线时的10.7%±2.8%显著增加,而在1-3个月时为11.9%±2.7% (p = 0.04)。相比之下,非他汀类药物使用者的HbA1c从基线时的11.3%±2.8%下降到1-3个月时的9.7%±2.2% (p = 0.001), 7-12个月时的9.7%±2.6% (p = 0.011), 19-24个月时的9.3%±2.2% (p = 0.001)。结论:T2DM患者接受他汀类药物治疗与治疗后1-3个月血糖控制的短期恶化有关。
本文章由计算机程序翻译,如有差异,请以英文原文为准。

Effects of Statin Therapy on Glycemic Control and Associated Factors Among Type 2 Diabetes Mellitus Patients in Northeastern Tanzania: A Retrospective Cohort Study.

Effects of Statin Therapy on Glycemic Control and Associated Factors Among Type 2 Diabetes Mellitus Patients in Northeastern Tanzania: A Retrospective Cohort Study.

Effects of Statin Therapy on Glycemic Control and Associated Factors Among Type 2 Diabetes Mellitus Patients in Northeastern Tanzania: A Retrospective Cohort Study.

Effects of Statin Therapy on Glycemic Control and Associated Factors Among Type 2 Diabetes Mellitus Patients in Northeastern Tanzania: A Retrospective Cohort Study.

Introduction: Statins have been implicated in poor glycemic control among patients with diabetes mellitus (DM), prompting the US Food and Drug Administration (FDA) to update warning labels on all statins to reflect the risk of increased blood glucose levels. However, few studies from sub-Saharan Africa have assessed this concern. This study investigated the effects of statins on glycemic control among patients with Type 2 diabetes mellitus (T2DM) in Kilimanjaro, northeastern Tanzania. Materials and Methods: This was a hospital-based retrospective cohort study evaluating changes in glycated hemoglobin (HbA1c) at 1-3, 7-12, and 19-24 months, as the primary outcome, comparing statin users and nonusers among T2DM patients attending DM clinic at Kilimanjaro Christian Medical Centre in Tanzania. Binomial regression models were fitted to calculate adjusted risk ratios for independent predictors of a ≥ 0.2% rise in HbA1c, with statistical significance set at p < 0.05. Results: Out of 122 patients, 51 (41.8%) were on statin therapy. Among these, 46 (90.2%) were prescribed atorvastatin. Statin users had an increase of mean HbA1c from 10.6% ± 2.7% at baseline compared to 11.6% ± 2.8% at 1-3 months (p = 0.114), followed by a decrease to 10.1% ± 2.2% at 7-12 months (p = 1.0), and 10.0% ± 2.5% at 19-24 months (p = 1.0). However, atorvastatin users (n = 46) had a significant increase of mean HbA1c from 10.7% ± 2.8% at baseline compared to 11.9% ± 2.7% at 1-3 months (p = 0.04). In contrast, nonstatin users had a consistent and significant decrease in HbA1c from 11.3% ± 2.8% at baseline compared to 9.7% ± 2.2% at 1-3 months (p = 0.001), to 9.7% ± 2.6% at 7-12 months (p = 0.011), and to 9.3% ± 2.2% at 19-24 months (p = 0.001). Conclusion: Statin therapy among patients with T2DM was associated with short-lived worsening of glycemic control at 1-3 months posttherapy.

求助全文
通过发布文献求助,成功后即可免费获取论文全文。 去求助
来源期刊
Journal of Diabetes Research
Journal of Diabetes Research ENDOCRINOLOGY & METABOLISM-MEDICINE, RESEARCH & EXPERIMENTAL
CiteScore
8.40
自引率
2.30%
发文量
152
审稿时长
14 weeks
期刊介绍: Journal of Diabetes Research is a peer-reviewed, Open Access journal that publishes research articles, review articles, and clinical studies related to type 1 and type 2 diabetes. The journal welcomes submissions focusing on the epidemiology, etiology, pathogenesis, management, and prevention of diabetes, as well as associated complications, such as diabetic retinopathy, neuropathy and nephropathy.
×
引用
GB/T 7714-2015
复制
MLA
复制
APA
复制
导出至
BibTeX EndNote RefMan NoteFirst NoteExpress
×
提示
您的信息不完整,为了账户安全,请先补充。
现在去补充
×
提示
您因"违规操作"
具体请查看互助需知
我知道了
×
提示
确定
请完成安全验证×
copy
已复制链接
快去分享给好友吧!
我知道了
右上角分享
点击右上角分享
0
联系我们:info@booksci.cn Book学术提供免费学术资源搜索服务,方便国内外学者检索中英文文献。致力于提供最便捷和优质的服务体验。 Copyright © 2023 布克学术 All rights reserved.
京ICP备2023020795号-1
ghs 京公网安备 11010802042870号
Book学术文献互助
Book学术文献互助群
群 号:604180095
Book学术官方微信