他汀类药物在心血管疾病一级预防中患者导向干预的有效性:开放标签随机研究

IF 1 Q3 MEDICINE, GENERAL & INTERNAL
Caspian Journal of Internal Medicine Pub Date : 2025-06-23 eCollection Date: 2025-01-01 DOI:10.22088/cjim.16.3.458
Elena V Bochkareva, Sergey A Boytsov, Oxana M Drapkina, Oleg G Melikhov, Ekaterina K Butina, Irina V Kim
{"title":"他汀类药物在心血管疾病一级预防中患者导向干预的有效性:开放标签随机研究","authors":"Elena V Bochkareva, Sergey A Boytsov, Oxana M Drapkina, Oleg G Melikhov, Ekaterina K Butina, Irina V Kim","doi":"10.22088/cjim.16.3.458","DOIUrl":null,"url":null,"abstract":"<p><strong>Background: </strong>Poor adherence to treatment is an obstacle to reach the target level of lipids. The purpose of the study was to investigate the impact of patient-oriented intervention with primary focus on patients' adherence to lipid-lowering therapy on low-density lipoprotein cholesterol (LDL-C) in patients with dyslipidemia and receiving statins for primary prevention of cardiovascular diseases (CVD).</p><p><strong>Methods: </strong>A prospective, open-label, randomized, multicenter study in parallel groups. Data was collected from 11 study sites. 2,912 patients were recruited between June 2018 and August 2019. Test Intervention: extended consultation on drug compliance, patient-oriented printed materials about CVD prevention, SMS- and phone reminders. The primary endpoint was LDL-C. Chi-square test or Fisher's exact test was used for qualitative variables. Paired Wilcoxon test was used to compare the variables between patient visits. The odds ratio (OR) at 95% confidence interval (CI) was defined as the ratio of the chance of fulfilling the criterion in the group or subgroup (subpopulation).</p><p><strong>Results: </strong>At 12 month, the number of patients achieving target levels of LDL-C, total cholesterol (TC) and blood pressure (BP) was significantly higher in the intervention group vs control (LDL-C: 80% vs. 70%, OR: 1.68, 95% CI: 1.40 to 2.01, p<0.001; TC: 80% vs. 67%, OR: 1.92, 95% CI: 1.60 to 2.29, p<0.001; BP: 85% vs 79%, OR: 1.49, 95% CI:1.22 to 1.83, p=0.0001).</p><p><strong>Conclusion: </strong>Proposed patient-oriented intervention helps to achieve the target level of LDL-C, TC and supports better control of BP in patients receiving statins for primary prevention of CVD.</p>","PeriodicalId":9646,"journal":{"name":"Caspian Journal of Internal Medicine","volume":"16 3","pages":"458-467"},"PeriodicalIF":1.0000,"publicationDate":"2025-06-23","publicationTypes":"Journal Article","fieldsOfStudy":null,"isOpenAccess":false,"openAccessPdf":"https://www.ncbi.nlm.nih.gov/pmc/articles/PMC12329371/pdf/","citationCount":"0","resultStr":"{\"title\":\"Effectiveness of patient-oriented intervention in primary prevention of cardiovascular diseases with statins: Open-label randomized study.\",\"authors\":\"Elena V Bochkareva, Sergey A Boytsov, Oxana M Drapkina, Oleg G Melikhov, Ekaterina K Butina, Irina V Kim\",\"doi\":\"10.22088/cjim.16.3.458\",\"DOIUrl\":null,\"url\":null,\"abstract\":\"<p><strong>Background: </strong>Poor adherence to treatment is an obstacle to reach the target level of lipids. The purpose of the study was to investigate the impact of patient-oriented intervention with primary focus on patients' adherence to lipid-lowering therapy on low-density lipoprotein cholesterol (LDL-C) in patients with dyslipidemia and receiving statins for primary prevention of cardiovascular diseases (CVD).</p><p><strong>Methods: </strong>A prospective, open-label, randomized, multicenter study in parallel groups. Data was collected from 11 study sites. 2,912 patients were recruited between June 2018 and August 2019. Test Intervention: extended consultation on drug compliance, patient-oriented printed materials about CVD prevention, SMS- and phone reminders. The primary endpoint was LDL-C. Chi-square test or Fisher's exact test was used for qualitative variables. Paired Wilcoxon test was used to compare the variables between patient visits. The odds ratio (OR) at 95% confidence interval (CI) was defined as the ratio of the chance of fulfilling the criterion in the group or subgroup (subpopulation).</p><p><strong>Results: </strong>At 12 month, the number of patients achieving target levels of LDL-C, total cholesterol (TC) and blood pressure (BP) was significantly higher in the intervention group vs control (LDL-C: 80% vs. 70%, OR: 1.68, 95% CI: 1.40 to 2.01, p<0.001; TC: 80% vs. 67%, OR: 1.92, 95% CI: 1.60 to 2.29, p<0.001; BP: 85% vs 79%, OR: 1.49, 95% CI:1.22 to 1.83, p=0.0001).</p><p><strong>Conclusion: </strong>Proposed patient-oriented intervention helps to achieve the target level of LDL-C, TC and supports better control of BP in patients receiving statins for primary prevention of CVD.</p>\",\"PeriodicalId\":9646,\"journal\":{\"name\":\"Caspian Journal of Internal Medicine\",\"volume\":\"16 3\",\"pages\":\"458-467\"},\"PeriodicalIF\":1.0000,\"publicationDate\":\"2025-06-23\",\"publicationTypes\":\"Journal Article\",\"fieldsOfStudy\":null,\"isOpenAccess\":false,\"openAccessPdf\":\"https://www.ncbi.nlm.nih.gov/pmc/articles/PMC12329371/pdf/\",\"citationCount\":\"0\",\"resultStr\":null,\"platform\":\"Semanticscholar\",\"paperid\":null,\"PeriodicalName\":\"Caspian Journal of Internal Medicine\",\"FirstCategoryId\":\"1085\",\"ListUrlMain\":\"https://doi.org/10.22088/cjim.16.3.458\",\"RegionNum\":0,\"RegionCategory\":null,\"ArticlePicture\":[],\"TitleCN\":null,\"AbstractTextCN\":null,\"PMCID\":null,\"EPubDate\":\"2025/1/1 0:00:00\",\"PubModel\":\"eCollection\",\"JCR\":\"Q3\",\"JCRName\":\"MEDICINE, GENERAL & INTERNAL\",\"Score\":null,\"Total\":0}","platform":"Semanticscholar","paperid":null,"PeriodicalName":"Caspian Journal of Internal Medicine","FirstCategoryId":"1085","ListUrlMain":"https://doi.org/10.22088/cjim.16.3.458","RegionNum":0,"RegionCategory":null,"ArticlePicture":[],"TitleCN":null,"AbstractTextCN":null,"PMCID":null,"EPubDate":"2025/1/1 0:00:00","PubModel":"eCollection","JCR":"Q3","JCRName":"MEDICINE, GENERAL & INTERNAL","Score":null,"Total":0}
引用次数: 0

摘要

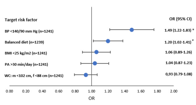
背景:治疗依从性差是达到目标血脂水平的障碍。本研究的目的是研究以患者为导向的干预,主要关注患者坚持降脂治疗对血脂异常患者接受他汀类药物治疗的低密度脂蛋白胆固醇(LDL-C)的影响,以预防心血管疾病(CVD)。方法:一项前瞻性、开放标签、随机、多中心的平行组研究。数据从11个研究地点收集。在2018年6月至2019年8月期间招募了2912名患者。测试干预:延长药物依从性咨询,以患者为导向的CVD预防印刷材料,短信和电话提醒。主要终点为LDL-C。对定性变量采用卡方检验或费雪精确检验。使用配对Wilcoxon检验比较患者就诊之间的变量。95%置信区间(CI)的比值比(OR)定义为该组或亚组(亚群)达到标准的机会之比。结果:在12个月时,干预组达到LDL-C、总胆固醇(TC)和血压(BP)目标水平的患者数量明显高于对照组(LDL-C: 80% vs 70%, OR: 1.68, 95% CI: 1.40 ~ 2.01)。结论:提出以患者为导向的干预有助于达到LDL-C、TC的目标水平,并支持接受他汀类药物一级预防心血管疾病的患者更好地控制血压。
本文章由计算机程序翻译,如有差异,请以英文原文为准。

Effectiveness of patient-oriented intervention in primary prevention of cardiovascular diseases with statins: Open-label randomized study.

Effectiveness of patient-oriented intervention in primary prevention of cardiovascular diseases with statins: Open-label randomized study.

Effectiveness of patient-oriented intervention in primary prevention of cardiovascular diseases with statins: Open-label randomized study.

Effectiveness of patient-oriented intervention in primary prevention of cardiovascular diseases with statins: Open-label randomized study.

Background: Poor adherence to treatment is an obstacle to reach the target level of lipids. The purpose of the study was to investigate the impact of patient-oriented intervention with primary focus on patients' adherence to lipid-lowering therapy on low-density lipoprotein cholesterol (LDL-C) in patients with dyslipidemia and receiving statins for primary prevention of cardiovascular diseases (CVD).

Methods: A prospective, open-label, randomized, multicenter study in parallel groups. Data was collected from 11 study sites. 2,912 patients were recruited between June 2018 and August 2019. Test Intervention: extended consultation on drug compliance, patient-oriented printed materials about CVD prevention, SMS- and phone reminders. The primary endpoint was LDL-C. Chi-square test or Fisher's exact test was used for qualitative variables. Paired Wilcoxon test was used to compare the variables between patient visits. The odds ratio (OR) at 95% confidence interval (CI) was defined as the ratio of the chance of fulfilling the criterion in the group or subgroup (subpopulation).

Results: At 12 month, the number of patients achieving target levels of LDL-C, total cholesterol (TC) and blood pressure (BP) was significantly higher in the intervention group vs control (LDL-C: 80% vs. 70%, OR: 1.68, 95% CI: 1.40 to 2.01, p<0.001; TC: 80% vs. 67%, OR: 1.92, 95% CI: 1.60 to 2.29, p<0.001; BP: 85% vs 79%, OR: 1.49, 95% CI:1.22 to 1.83, p=0.0001).

Conclusion: Proposed patient-oriented intervention helps to achieve the target level of LDL-C, TC and supports better control of BP in patients receiving statins for primary prevention of CVD.

求助全文
通过发布文献求助,成功后即可免费获取论文全文。 去求助
来源期刊
Caspian Journal of Internal Medicine
Caspian Journal of Internal Medicine MEDICINE, GENERAL & INTERNAL-
CiteScore
1.90
自引率
7.10%
发文量
90
审稿时长
20 weeks
×
引用
GB/T 7714-2015
复制
MLA
复制
APA
复制
导出至
BibTeX EndNote RefMan NoteFirst NoteExpress
×
提示
您的信息不完整,为了账户安全,请先补充。
现在去补充
×
提示
您因"违规操作"
具体请查看互助需知
我知道了
×
提示
确定
请完成安全验证×
copy
已复制链接
快去分享给好友吧!
我知道了
右上角分享
点击右上角分享
0
联系我们:info@booksci.cn Book学术提供免费学术资源搜索服务,方便国内外学者检索中英文文献。致力于提供最便捷和优质的服务体验。 Copyright © 2023 布克学术 All rights reserved.
京ICP备2023020795号-1
ghs 京公网安备 11010802042870号
Book学术文献互助
Book学术文献互助群
群 号:604180095
Book学术官方微信