肝门胆管癌患者的五年生存率:一项单中心回顾性研究。

IF 1.6 4区 医学 Q3 SURGERY
HyeJeong Jeong, Hee Joon Kim, Soo Yeun Lim, Hyun Jeong Jeon, So Jeong Yoon, Hongbeom Kim, In Woong Han, Jin Seok Heo, Sang Hyun Shin
{"title":"肝门胆管癌患者的五年生存率:一项单中心回顾性研究。","authors":"HyeJeong Jeong, Hee Joon Kim, Soo Yeun Lim, Hyun Jeong Jeon, So Jeong Yoon, Hongbeom Kim, In Woong Han, Jin Seok Heo, Sang Hyun Shin","doi":"10.4174/astr.2025.109.2.71","DOIUrl":null,"url":null,"abstract":"<p><strong>Purpose: </strong>Hilar cholangiocarcinoma is known for its poor prognosis due to late diagnosis. To achieve long-term survival, curative resection often is necessary. However, after surgical resection, the 5-year survival rates vary from 14% to 48%. The aim of this study is to evaluate the prognostic factors for long-term survival in hilar cholangiocarcinoma.</p><p><strong>Methods: </strong>Patients who underwent curative resection for hilar cholangiocarcinoma at Samsung Medical Center from January 2000 to December 2020 were included. Demographics, surgical and oncological outcomes, short-term complications, recurrence, pathologic results, and survival were analyzed. Prognostic factors were analyzed with Cox proportional hazards models.</p><p><strong>Results: </strong>A total of 449 patients diagnosed with hilar cholangiocarcinoma who underwent intent-to-treat resection at Samsung Medical Center from 2000 to 2020 were included in this study. The median disease-free survival was 19 months, and the median survival was 40 months. One-, 3-, and 5-year survival rates were 82.8%, 53.7%, and 35.8%, respectively.</p><p><strong>Conclusion: </strong>The 5-year survival rate of patients with hilar cholangiocarcinoma was 35.8% at Samsung Medical Center. Median survival was 40 months. N2 stage and tumor biology were factors affecting 5-year survival.</p>","PeriodicalId":8071,"journal":{"name":"Annals of Surgical Treatment and Research","volume":"109 2","pages":"71-80"},"PeriodicalIF":1.6000,"publicationDate":"2025-08-01","publicationTypes":"Journal Article","fieldsOfStudy":null,"isOpenAccess":false,"openAccessPdf":"https://www.ncbi.nlm.nih.gov/pmc/articles/PMC12329132/pdf/","citationCount":"0","resultStr":"{\"title\":\"Five-year survival of patients with hilar cholangiocarcinoma: a single-center retrospective study.\",\"authors\":\"HyeJeong Jeong, Hee Joon Kim, Soo Yeun Lim, Hyun Jeong Jeon, So Jeong Yoon, Hongbeom Kim, In Woong Han, Jin Seok Heo, Sang Hyun Shin\",\"doi\":\"10.4174/astr.2025.109.2.71\",\"DOIUrl\":null,\"url\":null,\"abstract\":\"<p><strong>Purpose: </strong>Hilar cholangiocarcinoma is known for its poor prognosis due to late diagnosis. To achieve long-term survival, curative resection often is necessary. However, after surgical resection, the 5-year survival rates vary from 14% to 48%. The aim of this study is to evaluate the prognostic factors for long-term survival in hilar cholangiocarcinoma.</p><p><strong>Methods: </strong>Patients who underwent curative resection for hilar cholangiocarcinoma at Samsung Medical Center from January 2000 to December 2020 were included. Demographics, surgical and oncological outcomes, short-term complications, recurrence, pathologic results, and survival were analyzed. Prognostic factors were analyzed with Cox proportional hazards models.</p><p><strong>Results: </strong>A total of 449 patients diagnosed with hilar cholangiocarcinoma who underwent intent-to-treat resection at Samsung Medical Center from 2000 to 2020 were included in this study. The median disease-free survival was 19 months, and the median survival was 40 months. One-, 3-, and 5-year survival rates were 82.8%, 53.7%, and 35.8%, respectively.</p><p><strong>Conclusion: </strong>The 5-year survival rate of patients with hilar cholangiocarcinoma was 35.8% at Samsung Medical Center. Median survival was 40 months. N2 stage and tumor biology were factors affecting 5-year survival.</p>\",\"PeriodicalId\":8071,\"journal\":{\"name\":\"Annals of Surgical Treatment and Research\",\"volume\":\"109 2\",\"pages\":\"71-80\"},\"PeriodicalIF\":1.6000,\"publicationDate\":\"2025-08-01\",\"publicationTypes\":\"Journal Article\",\"fieldsOfStudy\":null,\"isOpenAccess\":false,\"openAccessPdf\":\"https://www.ncbi.nlm.nih.gov/pmc/articles/PMC12329132/pdf/\",\"citationCount\":\"0\",\"resultStr\":null,\"platform\":\"Semanticscholar\",\"paperid\":null,\"PeriodicalName\":\"Annals of Surgical Treatment and Research\",\"FirstCategoryId\":\"3\",\"ListUrlMain\":\"https://doi.org/10.4174/astr.2025.109.2.71\",\"RegionNum\":4,\"RegionCategory\":\"医学\",\"ArticlePicture\":[],\"TitleCN\":null,\"AbstractTextCN\":null,\"PMCID\":null,\"EPubDate\":\"2025/7/30 0:00:00\",\"PubModel\":\"Epub\",\"JCR\":\"Q3\",\"JCRName\":\"SURGERY\",\"Score\":null,\"Total\":0}","platform":"Semanticscholar","paperid":null,"PeriodicalName":"Annals of Surgical Treatment and Research","FirstCategoryId":"3","ListUrlMain":"https://doi.org/10.4174/astr.2025.109.2.71","RegionNum":4,"RegionCategory":"医学","ArticlePicture":[],"TitleCN":null,"AbstractTextCN":null,"PMCID":null,"EPubDate":"2025/7/30 0:00:00","PubModel":"Epub","JCR":"Q3","JCRName":"SURGERY","Score":null,"Total":0}
引用次数: 0

摘要

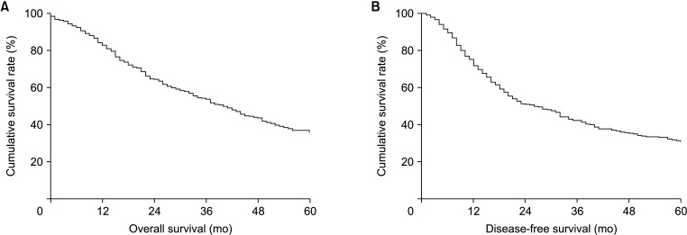
目的:肝门胆管癌诊断较晚,预后较差。为了达到长期生存,治疗性切除往往是必要的。然而,手术切除后,5年生存率从14%到48%不等。本研究的目的是评估肝门胆管癌患者长期生存的预后因素。方法:选取2000年1月至2020年12月在三星医院行肝门胆管癌根治性手术的患者。分析了人口统计学、手术和肿瘤预后、短期并发症、复发、病理结果和生存率。采用Cox比例风险模型分析预后因素。结果:从2000年到2020年,共有449名确诊为肝门胆管癌的患者在三星首尔医院接受了有意治疗性切除术。中位无病生存期为19个月,中位生存期为40个月。1年、3年和5年生存率分别为82.8%、53.7%和35.8%。结论:三星医院肝门胆管癌患者5年生存率为35.8%。中位生存期为40个月。N2分期和肿瘤生物学是影响5年生存率的因素。
本文章由计算机程序翻译,如有差异,请以英文原文为准。

Five-year survival of patients with hilar cholangiocarcinoma: a single-center retrospective study.

Five-year survival of patients with hilar cholangiocarcinoma: a single-center retrospective study.

Five-year survival of patients with hilar cholangiocarcinoma: a single-center retrospective study.

Five-year survival of patients with hilar cholangiocarcinoma: a single-center retrospective study.

Purpose: Hilar cholangiocarcinoma is known for its poor prognosis due to late diagnosis. To achieve long-term survival, curative resection often is necessary. However, after surgical resection, the 5-year survival rates vary from 14% to 48%. The aim of this study is to evaluate the prognostic factors for long-term survival in hilar cholangiocarcinoma.

Methods: Patients who underwent curative resection for hilar cholangiocarcinoma at Samsung Medical Center from January 2000 to December 2020 were included. Demographics, surgical and oncological outcomes, short-term complications, recurrence, pathologic results, and survival were analyzed. Prognostic factors were analyzed with Cox proportional hazards models.

Results: A total of 449 patients diagnosed with hilar cholangiocarcinoma who underwent intent-to-treat resection at Samsung Medical Center from 2000 to 2020 were included in this study. The median disease-free survival was 19 months, and the median survival was 40 months. One-, 3-, and 5-year survival rates were 82.8%, 53.7%, and 35.8%, respectively.

Conclusion: The 5-year survival rate of patients with hilar cholangiocarcinoma was 35.8% at Samsung Medical Center. Median survival was 40 months. N2 stage and tumor biology were factors affecting 5-year survival.

求助全文
通过发布文献求助,成功后即可免费获取论文全文。 去求助
来源期刊
CiteScore
2.30
自引率
7.10%
发文量
75
期刊介绍: Manuscripts to the Annals of Surgical Treatment and Research (Ann Surg Treat Res) should be written in English according to the instructions for authors. If the details are not described below, the style should follow the Uniform Requirements for Manuscripts Submitted to Biomedical Journals: Writing and Editing for Biomedical Publications available at International Committee of Medical Journal Editors (ICMJE) website (http://www.icmje.org).
×
引用
GB/T 7714-2015
复制
MLA
复制
APA
复制
导出至
BibTeX EndNote RefMan NoteFirst NoteExpress
×
提示
您的信息不完整,为了账户安全,请先补充。
现在去补充
×
提示
您因"违规操作"
具体请查看互助需知
我知道了
×
提示
确定
请完成安全验证×
copy
已复制链接
快去分享给好友吧!
我知道了
右上角分享
点击右上角分享
0
联系我们:info@booksci.cn Book学术提供免费学术资源搜索服务,方便国内外学者检索中英文文献。致力于提供最便捷和优质的服务体验。 Copyright © 2023 布克学术 All rights reserved.
京ICP备2023020795号-1
ghs 京公网安备 11010802042870号
Book学术文献互助
Book学术文献互助群
群 号:604180095
Book学术官方微信