腺瘤/息肉切除术作为结肠镜检查的培训指标:与专家表现相比,学员进展的回顾性分析。

IF 1.6 4区 医学 Q3 SURGERY
Young Min Song, Kyung Su Han, Byung Chang Kim, Chang Won Hong, Bun Kim, Dae Kyung Sohn
{"title":"腺瘤/息肉切除术作为结肠镜检查的培训指标:与专家表现相比,学员进展的回顾性分析。","authors":"Young Min Song, Kyung Su Han, Byung Chang Kim, Chang Won Hong, Bun Kim, Dae Kyung Sohn","doi":"10.4174/astr.2025.109.2.113","DOIUrl":null,"url":null,"abstract":"<p><strong>Purpose: </strong>This study introduced adenomas per polypectomy (APP) as a novel metric for evaluating the progression of lesion discrimination skills among colonoscopy trainees.</p><p><strong>Methods: </strong>This retrospective study was conducted at the National Cancer Center, Korea between March 2020 and February 2023. Nine colorectal surgeons who completed a structured 1-year colonoscopy training program were included, and their performance was compared with that of 5 expert endoscopists. APP was defined as the number of histologically confirmed adenomas among the total number of polypectomies performed. The APPs were calculated serially to assess changes from the beginning to the end of the training.</p><p><strong>Results: </strong>A total of 8,072 colonoscopies were performed by 9 trainees and 11,687 by 5 experts. The average APP of the 9 trainees was 67.0%, which was significantly different from the 73.9% APP of the experts (P < 0.001). The APP progression of trainees exhibited 3 phases: phase 1 (<200 cases) showed increasing polyp detection and APP; phase 2 (200-500 cases) displayed a sharp rise in the number of polypectomies but a decline in APP; and phase 3 (>500 cases) demonstrated a decrease in the number of polypectomies with a moderate rise in APP. However, even in phase 3, the trainees' APP remained significantly lower than that of the experts (69.9% <i>vs.</i> 73.9%, P = 0.027).</p><p><strong>Conclusion: </strong>APP, a measure of visual adenoma discrimination ability, undergoes 3 stages of progression during colonoscopy training. This progression suggests that the APP may serve as an additional metric for assessing the effectiveness of colonoscopy training.</p>","PeriodicalId":8071,"journal":{"name":"Annals of Surgical Treatment and Research","volume":"109 2","pages":"113-119"},"PeriodicalIF":1.6000,"publicationDate":"2025-08-01","publicationTypes":"Journal Article","fieldsOfStudy":null,"isOpenAccess":false,"openAccessPdf":"https://www.ncbi.nlm.nih.gov/pmc/articles/PMC12329131/pdf/","citationCount":"0","resultStr":"{\"title\":\"Adenoma per polypectomy as a training metric in colonoscopy: a retrospective analysis of trainee progression compared to expert performance.\",\"authors\":\"Young Min Song, Kyung Su Han, Byung Chang Kim, Chang Won Hong, Bun Kim, Dae Kyung Sohn\",\"doi\":\"10.4174/astr.2025.109.2.113\",\"DOIUrl\":null,\"url\":null,\"abstract\":\"<p><strong>Purpose: </strong>This study introduced adenomas per polypectomy (APP) as a novel metric for evaluating the progression of lesion discrimination skills among colonoscopy trainees.</p><p><strong>Methods: </strong>This retrospective study was conducted at the National Cancer Center, Korea between March 2020 and February 2023. Nine colorectal surgeons who completed a structured 1-year colonoscopy training program were included, and their performance was compared with that of 5 expert endoscopists. APP was defined as the number of histologically confirmed adenomas among the total number of polypectomies performed. The APPs were calculated serially to assess changes from the beginning to the end of the training.</p><p><strong>Results: </strong>A total of 8,072 colonoscopies were performed by 9 trainees and 11,687 by 5 experts. The average APP of the 9 trainees was 67.0%, which was significantly different from the 73.9% APP of the experts (P < 0.001). The APP progression of trainees exhibited 3 phases: phase 1 (<200 cases) showed increasing polyp detection and APP; phase 2 (200-500 cases) displayed a sharp rise in the number of polypectomies but a decline in APP; and phase 3 (>500 cases) demonstrated a decrease in the number of polypectomies with a moderate rise in APP. However, even in phase 3, the trainees' APP remained significantly lower than that of the experts (69.9% <i>vs.</i> 73.9%, P = 0.027).</p><p><strong>Conclusion: </strong>APP, a measure of visual adenoma discrimination ability, undergoes 3 stages of progression during colonoscopy training. This progression suggests that the APP may serve as an additional metric for assessing the effectiveness of colonoscopy training.</p>\",\"PeriodicalId\":8071,\"journal\":{\"name\":\"Annals of Surgical Treatment and Research\",\"volume\":\"109 2\",\"pages\":\"113-119\"},\"PeriodicalIF\":1.6000,\"publicationDate\":\"2025-08-01\",\"publicationTypes\":\"Journal Article\",\"fieldsOfStudy\":null,\"isOpenAccess\":false,\"openAccessPdf\":\"https://www.ncbi.nlm.nih.gov/pmc/articles/PMC12329131/pdf/\",\"citationCount\":\"0\",\"resultStr\":null,\"platform\":\"Semanticscholar\",\"paperid\":null,\"PeriodicalName\":\"Annals of Surgical Treatment and Research\",\"FirstCategoryId\":\"3\",\"ListUrlMain\":\"https://doi.org/10.4174/astr.2025.109.2.113\",\"RegionNum\":4,\"RegionCategory\":\"医学\",\"ArticlePicture\":[],\"TitleCN\":null,\"AbstractTextCN\":null,\"PMCID\":null,\"EPubDate\":\"2025/7/30 0:00:00\",\"PubModel\":\"Epub\",\"JCR\":\"Q3\",\"JCRName\":\"SURGERY\",\"Score\":null,\"Total\":0}","platform":"Semanticscholar","paperid":null,"PeriodicalName":"Annals of Surgical Treatment and Research","FirstCategoryId":"3","ListUrlMain":"https://doi.org/10.4174/astr.2025.109.2.113","RegionNum":4,"RegionCategory":"医学","ArticlePicture":[],"TitleCN":null,"AbstractTextCN":null,"PMCID":null,"EPubDate":"2025/7/30 0:00:00","PubModel":"Epub","JCR":"Q3","JCRName":"SURGERY","Score":null,"Total":0}
引用次数: 0

摘要

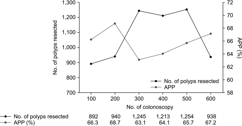
目的:本研究引入腺瘤息肉切除术(APP)作为评估结肠镜检查学员病变识别技能进展的新指标。方法:这项回顾性研究于2020年3月至2023年2月在韩国国家癌症中心进行。9名结直肠外科医生完成了为期1年的结肠镜检查培训计划,并将他们的表现与5名内窥镜专家的表现进行比较。APP定义为病理证实的腺瘤在息肉切除术总数中的数量。连续计算app,以评估从训练开始到结束的变化。结果:9名学员完成结肠镜检查8072例,5名专家完成结肠镜检查11687例。9名学员的平均APP为67.0%,与专家的73.9%有显著差异(P < 0.001)。受训人员的APP进展分为3个阶段:第1阶段(500例)显示息肉数量减少,APP适度上升。然而,即使在第3阶段,受训人员的APP仍然明显低于专家(69.9% vs. 73.9%, P = 0.027)。结论:APP在结肠镜检查训练过程中可分为3个阶段,是衡量视觉腺瘤识别能力的指标。这一进展表明APP可以作为评估结肠镜检查训练有效性的额外指标。
本文章由计算机程序翻译,如有差异,请以英文原文为准。

Adenoma per polypectomy as a training metric in colonoscopy: a retrospective analysis of trainee progression compared to expert performance.

Adenoma per polypectomy as a training metric in colonoscopy: a retrospective analysis of trainee progression compared to expert performance.

Adenoma per polypectomy as a training metric in colonoscopy: a retrospective analysis of trainee progression compared to expert performance.

Adenoma per polypectomy as a training metric in colonoscopy: a retrospective analysis of trainee progression compared to expert performance.

Purpose: This study introduced adenomas per polypectomy (APP) as a novel metric for evaluating the progression of lesion discrimination skills among colonoscopy trainees.

Methods: This retrospective study was conducted at the National Cancer Center, Korea between March 2020 and February 2023. Nine colorectal surgeons who completed a structured 1-year colonoscopy training program were included, and their performance was compared with that of 5 expert endoscopists. APP was defined as the number of histologically confirmed adenomas among the total number of polypectomies performed. The APPs were calculated serially to assess changes from the beginning to the end of the training.

Results: A total of 8,072 colonoscopies were performed by 9 trainees and 11,687 by 5 experts. The average APP of the 9 trainees was 67.0%, which was significantly different from the 73.9% APP of the experts (P < 0.001). The APP progression of trainees exhibited 3 phases: phase 1 (<200 cases) showed increasing polyp detection and APP; phase 2 (200-500 cases) displayed a sharp rise in the number of polypectomies but a decline in APP; and phase 3 (>500 cases) demonstrated a decrease in the number of polypectomies with a moderate rise in APP. However, even in phase 3, the trainees' APP remained significantly lower than that of the experts (69.9% vs. 73.9%, P = 0.027).

Conclusion: APP, a measure of visual adenoma discrimination ability, undergoes 3 stages of progression during colonoscopy training. This progression suggests that the APP may serve as an additional metric for assessing the effectiveness of colonoscopy training.

求助全文
通过发布文献求助,成功后即可免费获取论文全文。 去求助
来源期刊
CiteScore
2.30
自引率
7.10%
发文量
75
期刊介绍: Manuscripts to the Annals of Surgical Treatment and Research (Ann Surg Treat Res) should be written in English according to the instructions for authors. If the details are not described below, the style should follow the Uniform Requirements for Manuscripts Submitted to Biomedical Journals: Writing and Editing for Biomedical Publications available at International Committee of Medical Journal Editors (ICMJE) website (http://www.icmje.org).
×
引用
GB/T 7714-2015
复制
MLA
复制
APA
复制
导出至
BibTeX EndNote RefMan NoteFirst NoteExpress
×
提示
您的信息不完整,为了账户安全,请先补充。
现在去补充
×
提示
您因"违规操作"
具体请查看互助需知
我知道了
×
提示
确定
请完成安全验证×
copy
已复制链接
快去分享给好友吧!
我知道了
右上角分享
点击右上角分享
0
联系我们:info@booksci.cn Book学术提供免费学术资源搜索服务,方便国内外学者检索中英文文献。致力于提供最便捷和优质的服务体验。 Copyright © 2023 布克学术 All rights reserved.
京ICP备2023020795号-1
ghs 京公网安备 11010802042870号
Book学术文献互助
Book学术文献互助群
群 号:604180095
Book学术官方微信